1
卫星测控通信系统射频测试原理与方法
1.6.2.2 3.2.2 可实现滤波器
3.2.2 可实现滤波器

对于一个物理可实现滤波器,必须是一个因果系统,即系统的响应不应出现在激励之前。因此从时域的角度观察,系统的冲击响应必须在t<0时为零。即

这一要求称为“因果条件”。

在频域,一个物理可实现系统的幅频响应必须是平方可积的,即

同时还要满足

此式称为佩利-维纳准则。如果系统的幅频响应在某一限定的带宽内为零,即|H(jω)|=0,则|ln|H(jω)||→∞,系统不是因果系统。

佩利-维纳准则规定了物理可实现系统的幅频响应在某一带宽内不能为零,同时也规定了其衰减速度不能太快。也就是说在截止频率ωc处,通带和阻带不能是垂直的,要有一个过渡带。但佩利-维纳准则只对物理可实现系统的幅频响应做出了规定,没有对相频响应提出约束条件,因此还要规定相频响应,与幅频响应一同构成一个物理可实现系统。下面通过希尔伯特变换来研究幅频响应与相频响应的约束关系。

因果系统的冲击响应h(t)在t<0时必须为零,只有在t>0时才有值,因此因果系统可写成如下形式:

该公式表明因果系统的冲击响应乘上一个阶跃信号后,仍等于其自身。

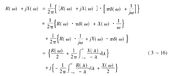
对式(3-12)取傅里叶变换,得

根据傅里叶频域卷积定理,得

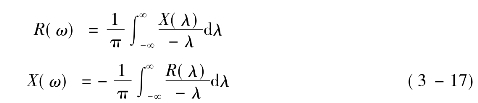
解得

这两个公式称为希尔伯特变换对。

同时有

这说明,一个因果系统的幅频响应和相频响应有内在的约束关系。