1
卫星测控通信系统射频测试原理与方法
1.6.2.1 3.2.1 理想低通滤波器
3.2.1 理想低通滤波器

对于一个理想低通滤波器,希望它具有矩形幅频响应和线性相频响应,见图3-3。

根据图3-3,可得出理想低通滤波器的频率响应为

其中

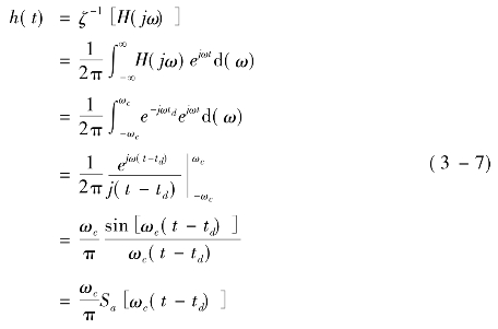
式中 ωc为截止频率。对频率响应进行傅里叶逆变换,得冲击响应为

图3-3 理想低通滤波器频率响应

(a)幅频响应;(b)相频响应

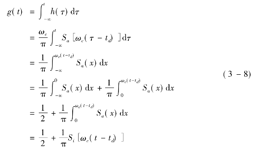
通过冲击响应可得出系统的阶跃响应。根据线性时不变系统的特性,系统的阶跃响应是冲击响应的积分。则

系统的冲击响应和阶跃响应见图3-4。

图3-4 理想低通滤波器冲击响应

(a)冲击输入;(b)冲击响应;(c)阶跃输入;(d)阶跃响应

从图中可以看出,冲击响应和阶跃响应包括负时间,因此该系统是一个非因果系统,在物理上是不可实现的。冲击响应和阶跃响应都比输入延迟了td,这正是理想低通滤波器相位响应的斜率。冲击响应是一个抽样函数,阶跃响应是一个阶跃振荡函数,与输入相比,上升沿不是垂直的,并且出现了过冲与振荡,这是因为冲击函数和阶跃函数的频谱都超出了理想低通滤波器的带宽。理想低通滤波器虽然不可实现,但得出的结果可对实际滤波器进行理论指导。