1
卫星测控通信系统射频测试原理与方法
1.5.4 2.4 分贝误差
2.4 分贝误差

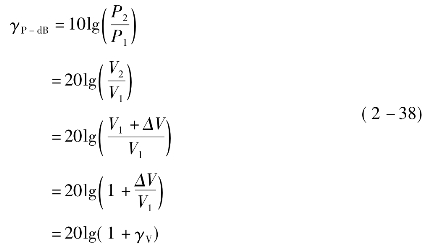
分贝误差是无线电中经常用来表示相对误差的一种表达形式。设某一电压的电压值为V1,由于某种原因变化了ΔV,变到V2,而功率则变化了ΔP,变到P2。则该电压的相对电压误差和相对功率误差为

此公式表明,如果ΔV等于0,则电压无变化,相对误差为0。如果ΔP等于0,则功率无变化,相对误差为0。

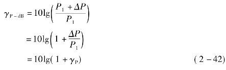
而用分贝表示的相对功率误差为

此公式表明,如果ΔP等于0,则功率无变化,相对分贝功率误差为0。

下面求γP-dB和γV之间的关系。

利用换底公式,将以10为底的对数换成自然对数,则有

一般情况下,误差γV远小于1,于是有

类似的,可以求出γP-dB和γP之间的关系。