1
建筑施工技术
1.4.1.2.4 四、场地平整土方量计算
四、场地平整土方量计算

建筑工程开工前,要进行场地平整,包括在施工区域内处理地上、地下障碍物,拆除原有建筑物地下管线,排除地表积水,清理耕植土、淤泥等,为施工队伍和机械设备进场做好准备。

在平整场地施工前,要求计算平整场地挖填方量,合理进行土方调配,组织机械化施工。

场地设计平面由设计单位进行竖向设计时确定,绘制场地设计平面方格网图,这是计算场地平整土方量的依据。

场地挖填土方量计算有方格网法和横截面法两种。横截面法是将要计算的场地划分成若干横截面后,用横截面计算公式逐段计算,最后将逐段计算结果汇总。横截面法计算精度较低,可用于地形起伏变化较大的地区。

对于地形较平坦的地区,一般采用方格网法。方格网法计算场地平整土方量的步骤为:

1.读识方格网图

方格网图由设计单位(一般在1∶500的地形图上)将场地划分为边长a=10~40m的若干方格,与测量的纵横坐标相对应,在各方格角点规定的位置上标注角点的自然地面标高(H)和设计标高(Hn)。

一般,方格角点的左上角标注角点编号,左下角标注自然地面标高,右下角标注角点的设计标高,右上角标注经计算的施工高度,如图1.3所示。

图1.3 方格网法计算土方工程量图[1]

2.计算场地各个角点的施工高度

角点的施工高度为角点设计标高与自然地面标高之差,是以角点设计标高为基准的挖方或填方的施工高度。各方格角点的施工高度按下式计算:

式中,hn——角点施工高度即填挖高度(以“+”为填,“-”为挖),m;

n——方格的角点编号(自然数列1,2,3,…,n)。

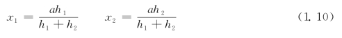
3.计算“零点”位置,确定零线

若方格边线一端施工高程为“+”,另一端为“-”,则沿其边线必然有一不挖不填的点,即为“零点”(图1.4)。零点位置按下式计算:

式中,x1、x2——角点至零点的距离,m;

h1、h2——相邻两角点的施工高度(均用绝对值),m;

a——方格网的边长,m。

图1.4 零点位置计算示意图

确定零点也可以用图解法,如图1.5所示。方法是用尺在各角点上标出挖填施工高度的相应比例,用尺相连,与方格相交,交点即为零点位置。将相邻的零点连接起来,即为零线,它是确定方格中挖方与填方的分界线。在平整场地施工时,将零线确定于地面上,作为施工时的挖填分界线。

图1.5 零点位置图解法

4.计算方格土方工程量

根据方格底面图形和表1.3所列计算公式,逐格计算每个方格内的挖方量或填方量。

表1.3 常用方格网点计算公式

注:①a——方格网的边长,m;b、c、d、e——零点到一角的边长,m;h1、h2、h3、h4——方格网四角点的施工高程(用绝对值代入),m;Σh——填方或挖方施工高程的总和(用绝对值代入),m;V——挖方或填方体积,m3
②本表公式是按各计算图形底面积乘以平均施工高程而得出的。

5.边坡土方量计算

场地的挖方区和填方区的边沿都需要做成边坡,以保证挖方土壁和填方区的稳定。边坡的土方量可以划分成两种近似的几何形体进行计算,一种为三角棱锥体(图1.6中①~③、⑤~),另一种为三角棱柱体(图1.6中④)。

(1)三角棱锥体边坡体积

式中,l1——边坡①的长度;

A1——边坡①的端面积,即

图1.6 场地边坡平面图

h2——角点的挖土高度;

m——边坡的坡度系数,m=宽/高。

(2)三角棱柱体边坡体积

两端横断面面积相差很大的情况下,边坡体积

式中,l4——边坡④的长度;

A1、A2、A0——边坡④两端及中部横断面面积。

(3)计算土方总量

将挖方区(或填方区)所有方格计算的土方量和边坡土方量汇总,即得该场地挖方和填方的总土方量。