6.1 股票发行市场
6.1.1 股票发行的目的
股票发行(Share Issuance)是指符合条件的发行人以筹资或实施股利分配为目的,按照法定的程序,向投资者或原股东发行股份或无偿提供股份的行为。
发行股票的目的有很多,除了筹集资金,满足企业发展需要这一主要目的以外,其他一些目的如调整公司的财务结构、进行资产重组、维护股东利益等都可引起股票发行。股票的发行主要分两种情况:
1)为新设立股份公司发行股票
新设立股份公司需要通过发行股票来筹集资本,达到预定的资本规模,为公司开展经营活动提供必要的资金条件。股份公司的设立一般又分为:
(1)发起设立
发起设立是指公司资本由发起人全部认购,不向他人招募资本的公司设立方式。发起设立程序简单,发起人出资后公司设立即告完成,但这类公司规模较小,无限公司、两合公司、有限公司只能采取此种方式设立,股份有限公司也可以采取此种方式设立。
(2)募集设立
募集设立又称“渐次设立”或“复杂设立”,是指由发起人认购公司应发行股份的一部分,其余股份向社会公开募集或者向特定对象募集而设立公司。即除发起人本身出资外,还需向社会公开发行股票募集资金。募集设立既可以是通过向社会公开发行股票的方式设立,也可以是通过向特定对象发行股票的方式而设立。这种方式只能是股份有限公司设立的方式,由于募集设立的股份有限公司资本规模较大,涉及众多投资者的利益,故各国公司法均对其设立程序严格限制。如为防止发起人完全凭借他人资本设立公司,损害一般投资者的利益,各国大都规定了发起人认购的股份在公司股本总数中应占的比例。我国的规定比例是不少于35%。
2)现有股份公司为改善经营而发行股票
现有股份有限公司为扩大经营规模或范围,提高公司的竞争能力而投资新的项目时,需增加发行股票筹集资金,人们通常称之为增资发行。现有股份公司为改善经营而发行股票的目的主要有:
(1)调整公司财务结构,保持适当的资产负债比例
当公司负债率过高时,通过发行股票增加公司资本,可以有效地降低负债比例,改善公司财务结构。
(2)满足证券交易所的上市标准
股票在证券交易所上市需要满足的条件很多,其中一个重要的条件就是股本总额。我国《公司法》规定,股份有限公司的股票要在证券交易所上市,其股本总额不得少于人民币5 000万元。因而有些公司为了争取股票在证券交易所挂牌上市,就要通过发行新的股票的方式来增加股本总额,以满足上市标准。
(3)公积金转增股本及股票派息
当股份有限公司的公积金累积到一定的水平时,在留足了法律规定的比例以后,可以将其余的公积金转为资本金,向公司现有股东按比例无偿增发新股。另外,当公司需要资金用于扩大投资时,会选择用股票而不是现金来分红派息。
(4)转换证券行使权力
当公司需要将发行在外的可转换债券或其他类型的证券转换成公司股票时,要向债权人发行股票。
(5)股份的分割与合并
股份的分割又称为拆股,股份的合并又称为缩股。拆股或缩股时须向原股票持有人换发新股票。
(6)公司兼并重组
公司可以向目标企业发行本公司的股票,目标企业以其资产作为出资缴纳股款,由此完成对目标企业的兼并。
6.1.2 股票发行方式
股票发行方式是指公司通过何种途径发行股票。按照不同的标准,可以将股票发行方式划分为以下类型:
1)按股票发行的参与者不同,划分为直接发行和间接发行
①直接发行是由股份有限公司自己承担发行股票的责任和风险,不通过股票的发行中介机构,而直接将股票出售给股票认购者,故也称为自营发行或自销。
②间接发行是指股份有限公司委托中介机构代为发行股票,再由中介机构将股票销售给股票认购者的发行方式,故也称为委托发行或代理发行。间接发行根据中介机构承担的责任和风险,又分为包销和代销。
2)按股票发行过程中的公开程度不同,划分为公开发行和非公开发行
①公开发行是指股份有限公司依据公司法及证券交易法的有关规定,办理有关发行审核手续,公开向社会公众发行股票。股份有限公司若采用募集设立则属于公开发行股票方式。
②不公开发行是指股份有限公司不办理公开发行的审核手续,股票不公开对外发行,而只向公司内部少数特定的对象出售。股份有限公司若采用发起设立则属于不公开发行股票方式。
3)按股票发行目的不同,划分为初次发行和增资发行
(1)初次发行
初次发行是指新组建股份公司时或原非股份制企业改制为股份公司时或原私人持股公司要转为公众持股公司时,公司首次发行股票。前两种情形又称设立发行,后一种发行又称首次公开发行(Initial Public Offerings,IPO)。初次发行一般都是发行人在满足发行人必须具备的条件,并经证券主管部门审核批准或注册后,通过证券承销机构面向社会公众公开发行股票。通过初次发行,发行人不仅募集到所需资金,而且完成了股份有限公司的设立或转制。
我国目前对股票的公开初次发行有许多明确的规定和要求:①注册资本额不得低于人民币1 000万元;②有公司章程等基本条件;③发起人认购的股份数不得少于公司股份总数的35%;④申请发行并得到有关部门的批准;⑤及时向社会公告招股说明书;⑥由依法设立的证券经营机构承销,并由银行代收股款;⑦在规定的时间内发行。
(2)增资发行
增资发行是指股份有限公司成立后在运营过程中,要增加资本而再次发行股票,因而也叫再次发行。再次发行股票的主要目的有:①增加公司资本,以解决资本短缺或扩大经营场所;②改善资本结构,如资本公积或盈余公积转增资本,公司债券转换为股票,用分配给股东的股息转换为发行股票等;③提高公司社会信用,扩大公司规模。
我国目前对股份有限公司的再次发行股票也有严格的规定和要求:①前一次发行的股票已发完,并间隔1年以上;②公司在最近3年内连续盈利,并可向股东支付股利;③公司最近3年内财务会计文件无虚假记载;④股东大会同意以及有关部门批准;⑤在规定的额度范围内增资配股。
增资发行的方式有:有偿增资发行、无偿增资发行和有偿无偿并行增资发行。
①有偿增资发行是指股票的购买者以一定的价格向股份有限公司购买股票,从而使公司实现增资。一般情况下,购买价要低于市场价。有偿增资发行又分为股东配股、特定人配股和公开发行。股东配股是以股东已持有的股票数为基准,按一定的比率给予认购新股的优先权,它是应用最广泛的增资方法。特定人配股是给予某一范围的特定人(如公司员工、股东等)以优先认购新股的权利。公开发行是社会公众以平等的方式认购新股,而不限定在某些指定人范围之内。
②无偿增资发行方式是指股东无须缴付股款而取得新股的增资方法。通常此次股票的发行一般是赠送给原来的老股东,其目的并非直接筹资,而是为调整资本结构或把积累资本化。
③有偿无偿混合增资发行是指公司对原股东发行新股票时,按一定比例同时进行有偿无偿增资。在这种增资方式下,公司对增发的新股票一部分由公司的公积金转增资本,这部分增资是无偿的;一部分由原股东以现金认购,这部分增资是有偿的,增资分配按原股东的持股比例进行。这种方式一方面可促使股东认购新股,迅速完成增资计划,另一方面也是对原有股东的优惠,使他们对公司的前途充满信心。
拓展阅读6.1
我国曾经用过的股票发行方式
在市场化条件下,股票的发行方式与发行价格确定方法密切相关,二者往往具有同一性,即在发行价格的形成过程中产生投资人并使其特定化;但二者是从不同角度界定股票发行的两个范畴,其内涵不尽相同。
在我国证券市场建立和发展的短暂历史中,股票发行方式经历了从行政化发行方式向市场化发行方式演进的曲折过程,期间曾在不同阶段尝试采用了若干不同的发行方式。
1.内部认购
内部认购是指向发行人内部职工及特定的关系人发售股票的方式。该方式曾一度适用于我国证券市场起步期,为最早进行股份制改造的企业首次发行股票所普遍采用。如1984年发行的中华人民共和国成立后的第一只股票上海飞乐音响以及最早采用平价试点发行的股票,基本上均采用内部认购方式。
2.发售认购表
股票认购表是投资者获得股票认购资格的凭证,但非股票。1990年和1991年沪深证券交易所成立前后,随着我国股票投资的陡然升温,股票发行开始采用发售认购表的方式。早期的股票认购表是采取限量发售的,凭身份证每人限购一张,购得的认购表按10%的中签率参与抽签,投资者凭中签认购表实际认购当次发行的股票,每张限购1 000股。但因股票供求的巨大落差导致1992年8月发生“深圳事件”后,该方式被停用,发售股票认购表遂改限量为无限量。
无限量发售认购表方式,即投资者为购买股票须先在规定的时间内无限量购买认购表,若有效申购量大于股票发行量,主承销商将认购申请表连续排号,通过抽签产生中签号码,投资者凭中签认购表实际认购当次发行的股票,每张限购1 000股。无限量发售认购的方式缓解了认购表的供求矛盾,但与之而来的问题是,过低的中签率往往使投资者付出较大的认购成本而显失公平。
3.存款挂钩
1993年8月18日,国务院证券委颁发了《关于1993年股票发售与认购办法的意见》,规定股票发行方式可以采用与银行储蓄存款挂钩的方式。与储蓄存款挂钩发行方式是指在规定期限内无限量发售专项定期定额存单,根据存单发售数量、批准发行股票数量及每张中签存单可认购股份数量的多少确定中签率,通过公开摇号抽签方式确定中签者,中签者按规定要求办理缴款手续的新股发行方式。
4.上网竞价
上网竞价方式是指以网上竞价申购的结果确定股票投资者的股票发行方式。即主承销商利用证券交易所的交易系统,以自己作为唯一的“卖方”,按照发行人确定的底价将公开发行股票的数量输入其在交易所的股票发行专户;投资者作为“买方”,在指定时间通过交易所会员交易柜台,以不低于发行底价的价格及限购数量,进行竞价认购的发行方式。如前所述,该方式曾于1994年6月至1995年1月在我国试行,其最大的优点是定价的市场化和价格的连续性,即通过市场竞争决定发行价格,且保证了发行市场与交易市场价格的平稳顺利对接。但其价格易被机构大资金操纵,从而增大了中小投资者的投资风险。
5.上网定价
上网定价的发行方式是指主承销商利用证券交易所交易系统,按已确定的发行价格向投资者发售股票的方式。即由主承销商作为股票的唯一“卖方”,投资者在指定的时间内,按现价委托买入股票的方式进行股票申购。主承销商在“上网定价”发行前应在证券交易所设立股票发行专户和申购资金专户。申购结束后,根据实际到位资金,由证券交易所主机确认有效申购而向申购人发售股票。
上网定价发行方式充分利用了现代化的通信手段和先进交易系统,即利用二级市场平台操作一级市场业务,是迄今为止最为流行、最为安全、效率最高的发行方式。
1995年10月,中国证监会出台了《关于股票发行与认购的意见》,推荐采用上网定价的发行方式。
6.预缴配售
所谓预缴配售,是指全额预缴款按比例配售股票的发行方式。依据1996年12月中国证监会发布的《关于股票发行与认购方式的暂行规定》,首次明确了全额预缴款按比例配售发行股票的方式。该方式又可细分为“全额预缴款、比例配售、余款即退”和“全额预缴款、比例配售、余款转存”两种。前者是指投资者在规定的申购时间内,将全额申购款存入主承销商在收款银行设立的专户中,申购结束后转存冻结银行专户进行冻结,在对到账资金进行验资和确定有效申购后,根据股票发行量和申购总量计算配售比例,进行股票配售,余款返还投资者的股票发行方式;后者的前两个阶段与第一个是相同的,所不同的是申购“余款不退”,应转为专项存款,不得提前支取。
7.机构配售
所谓机构配售,是指一般投资者上网发行与法人机构配售相结合的股票发行方式。为引入战略投资者参与配售和进一步推进市场化定价,1999年7月28日中国证监会发布《关于进一步完善股票发行方式的通知》,开始实行对一般投资者上网发行和对法人配售相结合方式发行新股。在同股同价的基础上,一部分利用证券交易所交易系统以上网定价的办法向一般投资者发行;另一部分则以订立配售协议的办法向法人发行。
该方式适用于公司一次发行量较大(8 000万股以上)的情形,其对法人的配售比例原则上不应超过发行量的50%;发行量在2亿股以上的,可根据市场情况适当提高对法人配售的比例。作为配售对象的法人是指在中华人民共和国境内登记注册的除证券经营机构以外的有权购买人民币普通股的法人,分为战略投资者和一般法人两大类(统称机构)。其中所谓战略投资者是指与发行公司业务联系紧密且欲长期持有发行公司股票的法人。发行人和主承销商在充分考虑上市后该股票流动性等因素的基础上,自主确定对法人配售和对一般投资者上网发行的比例。
8.市场配售
所谓市场配售又称市值配售,是指在新股发行时,将一定比例的新股由上网公开发行改为向二级市场配售,投资者可根据其持有上市流通证券的市值和折算的申购限量,自愿申购新股的股票发行方式。2000年2月,中国证监会颁布《关于向二级市场投资者配售新股有关问题的通知》,在新股发行中试行向二级市场投资者配售新股的办法,旨在将一级市场巨额申购资金引入二级市场,起到稳定股市的作用。
二级市场配售的对象是持有上市流通证券的投资者,包括已流通但被锁定的高级管理人员的持股。上市流通证券的市值,是按招股说明书概要刊登前一个交易日收盘价计算的上市流通股票、证券投资基金和可转换公司债券市值的总和,不含其他品种的流通证券(如国库券)及未挂牌的可流通证券的市值。其基本原则是优先满足市值申购部分,在此前提下,配售比例应在
至之间确定。投资者每持有上市流通证券市值万元限申购新股股,申购新股的数量应为1 000股的倍数,投资者持有上市流通证券市值不足1万元的部分,不赋予申购权;每一股票账户最高申购量不得超过发行公司公开发行总量的1‰,其配售数量的确定方法与上网定价发行下的配售数量确定方法基本相同。
9.IPO
理论上,现行IPO不能单独定义为一种新的股票发行方式,而是对已有发行方式的优化组合。换言之,所有首次公开发行股票均称之IPO。我国目前的IPO方式是将机构投资者“网下累计投标询价”与一般投资者“资金申购上网定价公开发行”两个层面结合操作的股票发行方式,即“网下询价配售+网上定价发行”方式,又称“网上/网下累计投标询价”方式。现行IPO方式是在对以往发行方式进行总结和反思、调整和完善的基础上所重构的结果,尽管还有不完善之处,但毕竟是截至目前较为理想的做法。
(资料来源:问财网,2014-11-12.)
6.1.3 股票发行的条件
股票的发行不是自由放任的,不是任何公司在任何时间、任何地点和条件下都可以发行股票。股份公司发行股票必须具备一定的发行条件,取得发行资格,并在办理必要手续以后才能实施股票发行。
1)股票发行的一般条件
股份公司不论出于何种目的,采取任何发行方式,在股票发行前都必须先向证券主管机关和有关银行或金融机构呈交申请文件。包括:
(1)股份公司章程
股份公司章程主要内容有公司名称、地址、法定代表、业务经营范围、资本总额、单位股金额、股权结构、公司管理体制和体系、公司经济效益、收益分配以及其他需要说明的问题等。
(2)发行股票申请书
除股份公司章程的基本内容以外,还应包括拟发行股票的名称、种类、数量、总额、单位股金额、发行对象及其范围、工商注册登记情况、发行股票的目的及其所筹资金的用途、经济效益、分配方式及预计分配比例、上级主管部门和有关金融机构的初审意见等。
(3)发行股票说明书
具体说明经营范围,资本构成,现有公司近3年来经营和负债情况,发行股票的目的、用途及经济效益预测,公司的发展前景,发行股票的种类、数量、面额及价格,公司的董事会构成及其成员情况,大股东(拥有10%以上股份)的基本情况,股东的权利和义务,股票发售的起止日期,其他需要说明的问题等。
(4)股票承销合同
公开向社会发行股票需由公司与承销证券业务的金融机构签订承销合同。其内容应包括股票承销当事人的名称、地址,法定代表人,承销金额,承销机构及组织系统,承销方式及当事人的权利和义务,承销费用,承销起止日期,承销剩余部分的处理,承销款项的划付日期及方式,违约的责任及赔偿,其他约定内容等。
(5)其他文件
会计师事务所或审计事务所及律师事务所、公证处审核的资产报表、财务报表、经营状况的有关文件。
发行股票的公司及有关当事人提供的上述文件的内容必须齐全完整,真实可靠,禁止有虚假欺诈等使他人误信的行为。这有利于公司合法经营,提高社会信誉,有利于保护投资者的利益,使投资者进行正确的分析和选择。
2)初次发行股票的特殊条件
新组建的股份公司在初次发行股票时还有特殊的要求。包括两种情况:
(1)新组建的公司初次发行股票
组建公司的发起人可以是法人,也可以是自然人。国家要求发起人一般需3人以上。发行股票时,还应提供下列文件:有关部门同意成立新公司的批准文件,工商行政管理部门同意注册登记的意向证明书,公司发起人法定认购股份的验资证明书。发起人法定认购股份资本的比例各国不一,一般规定不得少于总资本的25%或30%,除发起人认购部分以外,其余股票发行完毕后,经一段时间准备,发起人召开公司成立大会。
(2)原有企业改建为股份公司发行股票
这类公司在申请发行股票时,还应提供以下文件:有关部门同意改组股份公司的批准文件,原有企业资产经权威资产评估机构或会计师事务所出具的资产评估报告书。
3)增资发行股票的特殊条件
股份公司成立后,为了增加资本而再次发行股票时一般要经济效益较好,经有关部门许可,而且通常应在上次发行两年之后,方可增资发行股票。发行公司在提出申请增资发行时,还需向关部门和金融机构提供下列文件:公司股东大会关于增资的决议;工商注册登记营业执照。
6.1.4 股票发行价格
证券发行价格的形式、高低及其确定方法对于证券能否顺利发行和发行成本有着重要影响。股份公司发行股票时,发行价格是指股份公司在募集公司股份资本或增资发行新股时,公开将股票出售给特定或非特定投资者时所采用的价格。简言之,即是投资者购买新发行的股票时所支付的价格。股票发行价格通常由股份公司根据股票市场价格水平和其他有关因素决定。通常所讲的发行价格是指有偿增资或有偿发行条件的发行价格。
1)股票发行价格的种类
股票有许多不同的价值表现形式,票面面额和发行价格是其中最主要的两种。票面面额是印刷在股票票面上的金额,表示每一单位股份所代表的资本额;发行价格则是公司发行股票时向投资者收取的价格。股票的发行价格与票面面额通常是不相等的。发行价格的制定要考虑多种因素,如发行人业绩增长性、股票的股利分配、市场利率以及证券市场的供求关系等。根据发行价格和票面面额的关系,可以将证券发行分为平价发行、溢价发行和折价发行3种形式。
(1)平价发行
平价发行,也称面额发行。即股票发行时其价格与票面所标注的金额完全一致。新设立的股份公司首次发行股票时,往往以票面金额作为发行价格。
(2)溢价发行
溢价发行,又可分为时价发行和中间价发行两种方式。
①时价发行,亦称市价发行,是指股份公司发行新股时,以已发行的流通中的股票现行价格为基准来确定股票发行价格的一种方式。亦即新股票的发行价格按照等于或接近股票流通市场上该种已发行股票或同类股票的近期买卖价格确定。显然,该方式只适宜于老的股份公司采用。采取时价发行方式时,股票面额与发行价格之间的差额归股票发行公司所有。因此,发行公司可用较少的发行股数即能得到与采用面额发行等额的资金,同时还可降低股票发行成本。
这不仅对筹资者有益,而且从长远来看,对投资者也有获得溢价收益的好处。这里需要指出的是,时价发行的价格虽然以流通中同种已发行股票的现行价格为基准,但并非和这种时价完全一致。在具体决定价格时,还应考虑如下因素:应将新发行的股票全部推销出去,发行新股不应造成对既有股票市场价格的冲击,以及影响股票市场价格变动的各方面因素的目前状况和今后发展动态,既要有一定的现实性,也要有一定的预见性。
综合各种因素后,在具体确定时价发行的价格时,一般把发行价格定在较股票市场流通价格低5%~10%的水平上。
②中间价发行,是指以介于股票面额和股票市场价格之间的价格发行股票的一种发行方式。这种方式通常在以股东分摊形式发行股票时予以采用。采用中间价发行不改变原有股东的构成,而且因为是对原有股东分摊,不需要支付承销手续费。
(3)折价发行
折价发行,是指根据发行公司与承销商之间的协议,将股票按面额打折后发行。这种状况一般是在公司知名度不高,资金需要较为迫切,并预期其股票的市场流通能力不强的情况下进行的。
除上述3种发行价格外,无面值股票在发行时,要专门设定发行价格。设定价格的高低,要根据公司章程中有关的资本规定、发行股数、筹资要求、预测的筹资效益、拟发行股票的市场力、潜在投资者的证券购买能力等因素,由董事会研究确定。
2)影响确定发行价格的因素
(1)净资产
主要发起人经评估确认的净资产所投股数,以及上市前后各年度的每股税后利润可作为定价的重要参考。
(2)经营业绩
公司税后利润水平直接反映了一个公司的经营能力和上市时的价值,税后利润的高低直接关系股票发行价格。在总股本和市盈率已定的前提下,税后利润越高,发行价格也越高。
(3)发展潜力
公司经营的增长率(特别是盈利的增长率)和盈利预测是关系股票发行价格的又一重要因素。在总股本和税后利润量既定的前提下,公司的发展潜力越大,未来盈利趋势越确定,市场所接受的发行市盈率也就越高,发行价格也就越高。
(4)发行数量
不考虑资金需求量,单从发行数量上考虑,若本次股票发行数量较大,为了能保证销售期内顺利地将股票全部出售,取得预定金额的资金,价格应适当定得低一些;若发行量小,考虑到供求关系,价格可定得高一些。
(5)行业特点
发行公司所处行业的发展前景会影响到公众对本公司发展前景的预期。同行业已经上市企业的股票价格水平剔除不可比因素以后,也可以客观地反映本公司与其他公司相比的优劣程度。如果本公司各方面均优于已经上市的同行业公司,则发行价格可定高一些,反之,则应低一些。此外,不同行业的不同特点也是决定股票发行价格的因素。
(6)股市状态
二级市场的股票价格水平直接关系到一级市场的发行价格。在制定发行价格时,要考虑到二级市场股票价格水平在发行期内的变动情况,若股市处于“熊市”,定价太高则无人问津,使股票销售困难,因此要定得低一些;若股市处于“牛市”,价格太低会使发行公司受损,股票发行后易出现投机现象,因此可以定得高一些。同时,发行价格的确定要给二级市场的运作留有余地,以免股票上市后在二级市场的定位会发生困难,影响公司的声誉。
3)股票发行定价方式
(1)协商定价
新股的发行定价主要采用同类上市公司比较法,承销商在承销新股时,需准备详尽的可比上市公司对照表,将发行公司与可比上市公司的一些重要数据、资料进行比较,包括市盈率、主要财务指标(流动比率、速动比率、资产负债比率、每股收益、销售增长率等)、股利政策、股息收益率等重要数据、资料。通过比较,确定一个比较稳定的备案价格范围,以引起投资者关注,再根据投资者的需求,由承销商和发行人商定发行价。美国新股发行一般采取此法,发行价一般不低于在美国证监会的备案价。
(2)一般询价方式
在我国,新股的发行一般都是通过向询价对象询价来确定发行价格的。询价对象是指依法设立的证券投资基金、合格境外机构投资者(QFII)、符合中国证监会规定条件的证券公司,以及其他中国证监会认可的机构投资者。询价一般是指发行人及其保荐机构向不少于20家询价对象进行初步询价,并根据询价对象的报价结果确定发行价格区间及相应的市盈率区间。保荐机构应在初步询价时向询价对象提供投资价值研究报告。初步询价和报价均应以书面形式进行。此外,公开发行股数在亿股(含亿股)以上的,参与初步询价的询价对象应不少于50家。
(3)累计投标询价方式
累计投标询价一般是指在发行中,根据不同价格下投资者认购意愿确定发行价格的一种方法。发行人及其保荐机构在发行价格区间内向询价对象进行累计投标询价,并应根据累计投标询价结果确定发行价格。累计投标方式是国际上IPO主要采用的新股发行定价方式。
询价机制是指主承销商初步询价确定新股发行价格区间,询价时间为1~2周。初步询价时,发行人和主承销商根据询价对象的报价结果确定发行价格区间及相应的市盈率区间,召开路演推介会,根据需求量和需求价格信息对发行价格反复修正,然后发行人和主承销商在发行价格区间内通过向配售对象进行网下累计投标询价最终确定发行价格的过程。
如果投资者的有效申购总量大于本次股票发行量,但超额认购倍数小于5倍时,以询价下限为发行价;如果超额认购倍数大于5倍时,则从申购价格最高的有效申购开始逐笔向下累计计算,直至超额认购倍数首次超过5倍为止,以此时的价格为发行价。
例如,中国建设银行最初的询价区间为1.42~2.27港元,此后收窄至1.65~2.10港元,最终发行价为2.35港元。询价过程只是投资者的意向表示,一般不代表最终的购买承诺。询价制使投资机构参与新股定价,供求双方在市场化条件下达成相对均衡的发行价格。
(4)上网竞价方式
上网竞价方式是指以网上竞价申购的结果确定股票投资者的股票发行方式。即主承销商利用证券交易所的交易系统,以自己作为唯一的“卖方”,按照发行人确定的底价将公开发行股票的数量输入其在交易所的股票发行专户;投资者作为“买方”,在指定时间通过交易所会员交易柜台,以不低于发行底价的价格及限购数量,进行竞价认购的发行方式。其最大的优点是定价的市场化和价格的连续性,即通过市场竞争决定发行价格,且保证了发行市场与交易市场价格的平稳顺利对接。但其价格易被机构大资金操纵,从而增大了中小投资者的投资风险。
4)股票发行定价方法
(1)市盈率法
市盈率法是指以行业平均市盈率来估计企业价值,按照这种估价法,企业的价值得自于可比较资产或企业的定价。市盈率法是目前国内外证券市场上应用最为广泛的一种方法。
市盈率定价法的步骤:
第一步,根据发行人的资产损益状况和税后利润总量确定发行人公平的预期市值并确定符合商业条件的发行总量;
第二步,根据注册会计师审核后的赢利预测计算出发行人的每股收益;
第三步,根据二级市场的平均市盈率、发行人的行业情况、发行人的经营状况及其成长性等拟定发行市盈率;
第四步,根据发行市盈率与每股收益的乘积决定发行价,发行价=每股收益×发行市盈率。
采用市盈率法确定新股内在价值,首先需要根据可比公司的平均市盈率估算出发行人的发行市盈率,再将其乘以每股预期收益就可以得出初步的新股发行价格。公式为:
新股发行价=每股收益(每股税后利润)×预计市盈率
确定每股收益有两种方法:
①完全摊薄法,即用发行前一年税后利润除以总股本,直接得出每股税后利润。

②加权平均法。目前我国新股发行主要采用这种方法,因此新股的发行价主要取决于每股税后利润和发行市盈率这两个因素:
a.每股税后利润,每股税后利润是衡量公司业绩和股票投资价值的重要指标。
每股税后利润=发行当年预测利润÷发行当年加价平均股本数
=发行当年预测利润÷[发行前总股本数+本次公开发行股本数×(12-发行月份)÷12]
b.发行市盈率。市盈率是股票市场价格与每股税后利润的比率,它也是确定发行价格的重要因素。发行公司在确定市盈率时,应考虑所属行业的发展前景、同行业公司在股市上的表现以及近期二级市场的规模、供求关系和总体走势等因素,以利于一、二级市场之间的有效衔接和平衡发展。
市盈率水平一般有某种规定或行业习惯,比如中国规定制定发行价格时市盈率不能低于15倍,不能高于18倍,也可以根据交易市场的平均市盈率而定,但一般应略低于平均水平。总的来说,经营业绩好、行业前景佳、发展潜力大的公司,其每股税后利润多,发行市盈率高,发行价格也高,从而能募集到更多的资金;反之,则发行价格低,募集资金少。
例如:某股份有限公司发行A股,采用市盈率法确定发行价。
每股发行价=发行当年预测利润÷发行当年加权平均股本数×发行市盈率
其中,发行当年加权平均股本数=发行前股本数+本次公开发行股本数×(12-发行月份)÷12
结合该股份有限公司每股净利润、利润增长的速度以及当年预测税后利润4 001.5万元和发展前景、市场供求等因素,按发行市盈率34.94倍确定股票发行价格。
该股份有限公司当年6月发行的股票价格为:
每股发行价=4001.5÷[8 500+3 000×(12-6)÷12]×34.94
=4001.5÷10 000×34.94
=13.98(元/股)
(2)净资产倍率法
净资产倍率法又称资产净值法,是指通过资产评估和相关会计手段确定发行人拟募股资产的每股净资产值,然后根据证券市场的状况将每股净资产乘以一定的倍率,以此确定股票发行价格的方法。其计算公式为:
发行价格=每股净资产值×溢价倍率
该方法在国外常用于房地产公司或资产现值重于商业利益的公司的股票发行。
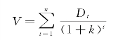
(3)现金流贴现法
现金流贴现估值模型的基石是现值规律,任何资产的价值等于其预期未来全部现金流的现值总和。贴现现金流模型也称拉巴波特模型(Rappaport Model),因其具有公认的严密的理论基础而获得广泛的应用。按照收入的资本化定价方法,任何资产的内在价值是由拥有这种资产的投资者在未来时期中所接受的现金流决定的。一种资产的内在价值等于预期现金流的贴现值。对于股票来说,贴现现金流模型的公式如下:

式中 D——在未来时期以现金形式表示的每股股票的股利;
k——在一定风险程度下现金流的合适的贴现率;
V——股票的内在价值。
国外股票市场对新上市公路、港口、桥梁、电厂等基础设施公司的估值和发行定价主要采用现金流贴现法。因为这些项目初期投入大,项目形成后,有稳定的现金流,并且随着时间的推移,现金流量还会不断增多,或者能够抵消通货膨胀的影响,如果用市盈率法会低估公司的价值。
6.1.5 股票发行制度和发行程序
1)股票发行制度
股票发行制度是指发行人在申请发行股票时必须遵循的一系列程序化的规范,股票发行制度主要有3种,即审批制、核准制和注册制,每一种发行监管制度都对应一定的市场发展状况。在市场逐渐发育成熟的过程中,股票发行制度也应该逐渐地改变,以适应市场发展需求,其中审批制是完全计划发行的模式,核准制是从审批制向注册制过渡的中间形式,注册制则是目前成熟股票市场普遍采用的发行制度。
(1)审批制
审批制是一国在股票市场的发展初期,为了维护上市公司的稳定和平衡复杂的社会经济关系,采用行政和计划的办法分配股票发行的指标和额度,由地方政府或行业主管部门根据指标推荐企业发行股票的一种发行制度。公司发行股票的首要条件是取得指标和额度,也就是说,如果取得了政府给予的指标和额度,就等于取得了政府的保荐,股票发行仅仅是形式。因此,审批制下公司发行股票的竞争焦点主要是争夺股票发行指标和额度。证券监管部门凭借行政权力行使实质性审批职能,证券中介机构的主要职能是进行技术指导,这样无法保证发行公司不通过虚假包装甚至伪装、做账达标等方式达到发行股票的目的。
(2)注册制
注册制是在市场化程度较高的成熟股票市场所普遍采用的一种发行制度,证券监管部门公布股票发行的必要条件,只要达到所公布条件要求的企业即可发行股票。发行人申请发行股票时,必须依法将公开的各种资料完全准确地向证券监管机构申报。证券监管机构的职责是对申报文件的真实性、准确性、完整性和及时性作合规性的形式审查,而将发行公司的质量留给证券中介机构来判断和决定。这种股票发行制度对发行人、证券中介机构和投资者的要求都比较高。
(3)核准制
核准制则是介于注册制和审批制之间的一种形式。它一方面取消了政府的指标和额度管理,并引进证券中介机构的责任,判断企业是否达到股票发行的条件;另一方面证券监管机构同时对股票发行的合规性和适销性条件进行实质性审查,并有权否决股票发行的申请。在核准制下,发行人在申请发行股票时,不仅要充分公开企业的真实情况,而且必须符合有关法律和证券监管机构规定的必要条件,证券监管机构有权否决不符合规定条件的股票发行申请。证券监管机构对申报文件的真实性、准确性、完整性和及时性进行审查,还对发行人的营业性质、财力、素质、发展前景、发行数量和发行价格等条件进行实质性审查,并据此作出发行人是否符合发行条件的价值判断和是否核准申请的决定。表6.1比较了审批制、核准制和注册制的异同。
表6.1 审批制、核准制和注册制的异同

拓展阅读6.2
我国股票发行审核制度的演进历程
1990年,沪深证券交易所相继成立。1993年,证券市场建立了全国统一的股票发行审核制度,并先后经历了行政主导的审批制和市场化方向的核准制两个阶段。具体而言,审批制包括“额度管理”和“指标管理”两个阶段,而核准制包括“通道制”和“保荐制”两个阶段。
1.“额度管理”阶段(1993—1995年)
1993年4月25日,国务院颁布了《股票发行与交易管理暂行条例》,标志着审批制的正式确立。在审批制下,股票发行由国务院证券监督管理机构根据经济发展和市场供求的具体情况,在宏观上制定一个当年股票发行总规模(额度或指标),经国务院批准后,下达给国家计划委员会(简称“计委”),计委再根据各个省级行政区域和行业在国民经济发展中的地位和需要进一步将总额度分配到各省、自治区、直辖市、计划单列市和国家有关部委。省级政府和国家有关部委在各自的发行规模内推荐预选企业,证券监管机构对符合条件的预选企业的申报材料进行审批。对企业而言,需要经历两级行政审批,即企业首先向其所在地政府或主管中央部委提交额度申请,经批准后报送证监会复审。证监会对企业的质量、前景进行实质审查,并对发行股票的规模、价格、发行方式、时间等作出安排。额度是以股票面值计算的,在溢价发行条件下,实际筹资额远大于计划额度,在这个阶段共确定了105亿发行额度,共有200多家企业发行,筹资400多亿元。
2.“指标管理”阶段(1996—2000年)
1996年,国务院证券委员会公布了《关于1996年全国证券期货工作安排意见》,推行“总量控制、限报家数”的指标管理办法。由国家计委、证券委共同制定股票发行总规模,证监会在确定的规模内,根据市场情况向各省级政府和行业管理部门下达股票发行家数指标,省级政府或行业管理部门在指标内推荐预选企业,证券监管部门对符合条件的预选企业同意其上报发行股票正式申报材料并审核。1997年,证监会下发了《关于做好1997年股票发行工作的通知》,同时增加了拟发行股票公司预选材料审核的程序,由证监会对地方政府或中央企业主管部门推荐的企业进行预选,改变了两级行政审批下单纯由地方推荐企业的做法,开始了对企业的事前审核。1996年、1997年分别确定了150亿股和300亿股的发行量,共有700多家企业发行,筹资4 000多亿元。
3.“通道制”阶段(2001—2004年)
1999年7月1日正式实施的《中华人民共和国证券法》明确确立了核准制的法律地位。1999年9月16日,证监会推出了股票发行核准制实施细则。随后,证监会又陆续制定了一系列与《证券法》相配套的法律法规和部门规章,例如《中国证监会股票发行审核委员会条例》《中国证监会股票发行核准程序》《股票发行上市辅导工作暂行办法》等,构建了股票发行核准制的基本框架。新的核准程序包括:第一,省级人民政府和主管部委批准改制设立股份有限公司;第二,拟发行公司与有资格的证券公司签订辅导(保荐)协议,报当地证管办备案,签订协议后,每两个月上报一次辅导材料,辅导时间为期一年;第三,辅导期满,拟发行公司提出发行申请,证券公司依法予以推荐(保荐);第四,证监会进行合规性初审后,提交发行审核委员会审核,经发审委专家投票表决,最终经证监会核准后,决定其是否具有发行资格。核准制以强制性信息披露为核心,旨在强化中介机构的责任,减少行政干预。
核准制的第一个阶段是“通道制”。2001年3月17日,证监会宣布取消股票发行审批制,正式实施股票发行核准制下的“通道制”。2001年3月29日,中国证券业协会对“通道制”作出了具体解释:每家证券公司一次只能推荐一定数量的企业申请发行股票,由证券公司将拟推荐企业逐一排队,按序推荐。所推荐企业每核准一家才能再报一家,即“过会一家,递增一家”(2001年6月24日又调整为“每公开发行一家才能再报一家”,即“发行一家,递增一家”),具有主承销资格的证券公司拥有的通道数量最多8条,最少2条。到2005年1月1日“通道制”被废除时,全国83家证券公司一共拥有318条通道。
“通道制”改变了由行政机制遴选和推荐发行人的做法,使主承销商在一定程度上承担起股票发行的风险,同时也获得了遴选和推荐股票发行人的权利。
4.“保荐制”阶段(2004年至今)
2003年12月,证监会制定了《证券发行上市保荐制度暂行办法》等法规,这是适应市场需求和深化股票发行制度改革的重大举措。“保荐制”起源于英国,全称是保荐代表人制度。中国的保荐制度是指有资格的保荐人推荐符合条件的公司公开发行证券和上市,并对所推荐的发行人的信息披露质量和所作承诺提供持续训示、督促、辅导、指导和信用担保的制度。其主要内容包括:建立保荐机构和保荐代表人的注册登记管理制度;明确保荐期限;分清保荐责任;引进持续信用监管和“冷淡对待”的监管措施等四个方面。保荐制度的重点是明确保荐机构和保荐代表人的责任并建立责任追究机制。与“通道制”相比,保荐制度增加了由保荐人承担发行上市过程中连带责任的内容。保荐人的保荐责任期包括发行上市全过程,以及上市后的一段时期(比如两个会计年度)。2004年5月10日,首批共有67家证券公司、609人被分别注册登记为保荐机构和保荐代表人。
(资料来源:中国证监会www.csrc.gov.cn,2013-07-03.)
2)股票发行程序
各国对股票发行都有严格的法律程序。由于股票发行目的、发行方式不同,其发行程序也有所差异。一般可分为:
(1)首次公募发行的程序
①申请程序。申请人聘请会计师事务所、资产评估事务所、律师事务所等专业性机构,对其资产资信、财务状况等进行审计、评估,并就相关事项出具财务状况意见书、资产评估意见书以及法律意见书。然后公司向地方政府或中央企业主管部门提出公开发行股票的申请。
②审批程序。股份有限公司的股票发行申请,由地方政府或中央企业管理部门进行审批;地方政府或中央企业管理部门应当在自接到申请之日起30个工作日内作出是否批准的审批决定,并抄报证监会。
③复审程序。经批准的股票发行申请,送证监会复审。证监会应当在自收到申请之日起的20个工作日内出具复审意见书。经证监会复审同意的,申请人应当向证券交易所上市委员会提出申请,经上市委员会同意接受上市的,才能发行股票。
④签订证券承销协议。股份有限公司与证券经营机构签订证券承销协议,由证券经营机构承销股票。《证券法》规定,公开发行的股票应当由证券经营机构承销。
⑤股票发售。向社会公布招股说明书及发行股票的通知,进行股票发售工作。招股说明书一般要在股票发售之前刊登在证监会指定的全国性证券报刊上。发行股票的通知也要在报刊上公开发布。通知中应当列明发行股票的数量、价格、发行时间以及发行方法。
(2)增发股票的程序
①先由董事会作出决议。董事会就上市公司申请发行证券作出的决议应当包括下列事项:a.本次增发股票的发行方案;b.本次募集资金使用的可行性报告;c.前次募集资金使用的报告;d.其他必须明确的事项。
②提请股东大会批准。股东大会就发行股票作出的决定至少应当包括下列事项:本次发行证券的种类和数量;发行方式、发行对象及向原股东配售的安排;定价方式或价格区间;募集资金用途;决议的有效期;对董事会办理本次发行具体事宜的授权;其他必须明确的事项。股东大会就发行事项作出决议,必须经出席会议的股东所持表决权的2/3以上通过。向本公司特定的股东及其关联人发行的,股东大会就发行方案进行表决时,关联股东应当回避。上市公司就增发股票事项召开股东大会,应当提供网络或者其他方式为股东参加股东大会提供便利。
③提出增资配股申请文件。由保荐人保荐,并向中国证监会申报,保荐人应当按照中国证监会的有关规定编制和报送发行申请文件。
④增资配股申请审核。中国证监会依照有关程序审核,并决定核准或不核准增发股票的申请。中国证监会审核发行证券的申请程序为:收到申请文件后,5个工作日内决定是否受理;受理后,对申请文件进行初审;由发行审核委员会审核申请文件;作出核准或者不予核准的决定。
⑤上市公司发行股票。自中国证监会核准发行之日起,上市公司应在6个月内发行股票;超过个月未发行的,核准文件失效,须重新经中国证监会核准后方可发行。证券发行申请未获核准的上市公司,自中国证监会作出不予核准的决定之日起6个月后,可再次提出证券发行申请。上市公司发行证券前发生重大事项的,应暂缓发行,并及时报告中国证监会。该事项对本次发行条件构成重大影响的,发行证券的申请应重新经过中国证监会核准。上市公司发行股票,应当由证券公司承销,非公开发行股票,发行对象均属于原前10名股东的,可以由上市公司自行销售。
6.1.6 股票的承销
根据《证券法》及《公司法》的规定,凡是公开向社会公众发行的股票应当由证券经营机构(证券公司或者信托投资公司)承销。股票在上市发行前,上市公司与股票的代理发行证券商签订代理发行合同,确定股票发行的方式,明确各方面的责任。股票代理发行的方式按发行承担的风险不同,一般分为包销发行方式和代理发行方式两种。
1)包销发行
股票包销是指证券公司将发行人的股票按照承销协议全部购入或者在承销期结束时将售后剩余股票全部自行购入的承销方式。包销有两种方式:
(1)全额包销
证券公司将发行人的证券按照协议全部购入,然后再向投资者销售,当卖出价高于购入价时,其差价归证券公司所有;当卖出价低于购入价时,其损失由证券公司承担。
(2)余额包销
证券公司在承销期结束后,将售后剩余证券全部自行购入。
《证券法》规定,向社会公开发行的证券票面总值超过人民币5 000万元的,应当由承销团承销。承销团应当由主承销和参与承销商的证券公司组成。一般是由主承销商与发行人签订股票承销协议,然后再由主承销商与各分承销商签订承销团协议。
包销的特点:股票发行风险转移;股票发行风险和责任由承销人承担包销的费用高于代销;由于金融机构一般都有较雄厚的资金,可以预先垫支,以满足上市公司急需的大量资金,因此上市公司一般都愿意将其新发行的股票一次性转让给证券商包销。如果上市公司股票发行的数量太大,一家证券公司包销有困难,还可以由几家证券公司联合起来包销。
2)代销发行
股票代销是由上市公司自己发行,中间只委托证券公司代为推销,证券公司代销证券只向上市公司收取一定的代理手续费。证券公司代发行人发售股票,在承销期结束时,将未售出的股票全部退还给发行人的承销方式。
股票的代销期限最长不得超过90日。代销期限届满,向投资者出售的股票数量未达到拟公开发行股票数量70%的,为发行失败,发行人应当按照发行价并加算银行同期存款利息返还股票认购人。
对比两种承销方式:股票上市的包销发行方式,虽然上市公司能够在短期内筹集到大量资金,以应付资金方面的急需,但一般包销出去的证券,证券承销商都只按股票的一级发行价或更低的价格收购,从而不免使上市公司丧失了部分应有的收益;代销发行方式对上市公司来说,虽然相对于包销发行方式能获得更多的资金,但整个筹款时间可能很长,从而不能使上市公司及时得到自己所需的资金。
3)超额配售选择权
(1)含义
股票正式发行时,如果有效认购数量超过了拟发行数量,即形成超额认购,超额认购倍数越高,说明投资者的需求越强烈。在超额认购的情况下,主承销商可能会拥有分配股份的权利,即配售权。通过行使配售权,发行人可以达到理想的股东结构。
当出现超额认购时,主承销商还可以使用“超额配售选择权”(又称“绿鞋”机制)增加发行数量。“超额配售选择权”是指发行人赋予主承销商的一项选择权,获此授权的主承销商可以在股票上市后的一定期限内按同一发行价格超额发售一定比例的股份,在此期间内,如果市价低于发行价,主承销商直接从市场购入这部分股票分配给提出申购的投资者,如果市价高于发行价,则直接由发行人增发。这样可以在股票上市后一定期间内保持股价的相对稳定,同时有利于承销商抵御发行风险。建行招股说明书就规定了可由中金公司及摩根士丹利代表国际发售承销商于股票在中国香港联交所开始交易起30日内行使超额配售选择权,以要求建行分配及发行最多合计3 972 890 000股的额外股份,占全球初步发售股份的15%。
在我国,获此授权的主承销商按同一发行价格超额发售不超过包销数额15%的股份,即主承销商按不超过包销数额115%的股份向投资者发售。
主承销商在获得发行人许可下可以超额配售股票的发行方式,其意图在于防止股票发行上市后股价下跌至发行价或发行价以下,达到支持和稳定二级市场交易的目的。
(2)超额配售选择权操作流程
在发行包销部分的股票上市之日起30日内,主承销商有权根据市场情况选择从集中竞价交易市场购买发行人股票,或者要求发行人增发股票,分配给对此超额发售部分提出认购申请的投资者。其中常规发行部分直接面向投资者发行并实际配售;超额配售的15%部分则是名义配售。
该部分的最终配售结果要视市场情况在配售期结束之后加以最终确定。
在超额配售选择权行使期内,如果发行人股票的市场交易价格低于发行价格,主承销商用超额发售股票获得的资金,按不高于发行价的价格从集中竞价交易市场购买发行人的股票,分配给提出认购申请的投资者;如果发行人股票的市场交易价格高于发行价格,主承销商可以根据授权要求发行人增发股票,分配给提出认购申请的投资者,发行人获得发行此部分新股所募集的资金。
拓展阅读6.3
工商银行A股超额配售选择权
主承销商于2006年11月16日全额行使超额配售选择权,发行人按照本次发行价格3.12元人民币,在初始发行亿股股的基础上超额发行亿股股,占本次发行初始发行规模的15%。发行人因此增加的募集资金总额为60.84亿元人民币,连同初始发行130亿股A股对应的募集资金总额405.6亿元人民币,本次发行最终募集资金总额为466.44亿元人民币,扣除发行费用后的募集资金净额约为455.79亿元人民币。
超额发行的股票已于2006年11月16日登记于延期交付的战略投资者的股票账户中。战略投资者获配股票(包括延期交付的股票)的50%自本次发行的股票上市交易日(2006年10月27日)起锁定12个月,50%锁定18个月。
A股超额配售选择权全额行使后,本次发行的最终发行规模为149.5亿股,发行结构为:向A股战略投资者定向配售57.692 2亿股,占本次发行的38.59%;向网下询价对象询价配售23.5亿股,占本次发行的15.72%;向网上发行68.3078亿股,占本次发行的45.69%。