第二节 开普勒与开普勒定律
开普勒定律,即“开普勒三定律”,也叫“行星运动定律”,是指行星在宇宙空间绕太阳公转所遵循的定律。德国天文学家开普勒根据丹麦天文学家第谷·布拉赫等人的观测资料和星表,以及他本人的观测和分析,归纳提出了这一定律。
开普勒于1609年在他出版的《新天文学》上发表了关于行星运动的两条定律,于1618年发表了第三条定律。开普勒三定律对天文学与物理学的亚里士多德派与托勒密派提出了极大的挑战。他主张地球是不断地移动的;行星轨道不是周转圆的,而是椭圆形的;行星公转的速度不等恒。这些论点,大大地动摇了当时的天文学与物理学,为此后牛顿发现万有引力定律打下了基础。
一、行星探索者开普勒
开普勒(1571~1630),德国天文学家。开普勒于1571年12月27日出生在一个德国小市民家庭。他一来到人世间就遭到了许多不幸,天花使他成了麻子,猩红热弄坏了他的双眼。17岁那年,开普勒进入了杜宾根大学学习,攻读神学,1591年他获得了文学硕士学位。
1600年,30岁的开普勒贸然给素不相识的丹麦天文学家第谷写信,他把自己研究天文学的成果和想法告诉了第谷。第谷看后,对开普勒的才华惊叹不已,立即写信邀请他来当自己的助手。但是开普勒来到第谷的身边仅10个月,老人便去世了。开普勒继承了他留下的宝贵资料,其中包括老人对火星运动的观测记录。开普勒利用第谷多年积累的观测资料,仔细分析研究,发现行星沿椭圆轨道运行,并且提出行星运动三定律(即开普勒定律),为牛顿发现万有引力定律打下了基础。在第谷的工作基础上,开普勒经过大量的计算,编制成《鲁道夫星表》,表中列出了1005颗恒星的位置。这个星表比其他星表要精确得多,因此直到18世纪中叶,《鲁道夫星表》仍然被天文学家和航海家们视为珍宝,它几乎没有改变地保留到今天。

开普勒
开普勒主要著作有《宇宙的神秘》、《光学》、《宇宙和谐论》、《哥白尼天文学概要》、《彗星论》和《稀奇的1631年天象》等。其中,在《宇宙和谐论》中,开普勒发表了最简单的世界体系理论,只需7个椭圆就可以描述天体运动的体系;在《彗星论》中,他指出彗星的尾巴总是背着太阳,是因为太阳排斥彗头的物质造成的,这是对辐射压力存在的正确预言;此外,开普勒还发现了大气折射的近似定律。为了纪念开普勒的功绩,国际天文学联合会决定将1134号小行星命名为开普勒小行星。
二、开普勒定律
(一)开普勒定律的内容
开普勒的三条行星运动定律改变了整个天文学,彻底摧毁了托勒密复杂的宇宙体系,完善并简化了哥白尼的日心说。
开普勒第一定律,也称椭圆定律,又称轨道定律:每一个行星都沿各自的椭圆轨道环绕太阳,而太阳则处在椭圆的一个焦点中。
开普勒第二定律,也称面积定律:在相等时间内,太阳和运动中的行星的连线(向量半径)所扫过的面积都是相等的。这一定律揭示了行星绕太阳公转的角动量守恒。
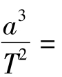
开普勒第三定律,也称调和定律,又称周期定律:各个行星绕太阳公转周期T的平方和它们的椭圆轨道的半长轴的长度a的立方成正比,即
K,K为常数。由这一定律不难导出:行星与太阳之间的引力与半径的平方成反比。这是牛顿的万有引力定律的一个重要基础。
(二)开普勒定律的发现过程
开普勒在编制新星表时,发现如按照正圆轨道来编制火星运行表行不通,火星这个“狡猾家伙”总不听指挥,老爱越轨。经过一次次分析计算,开普勒发现,如果火星轨道不是正圆,而是椭圆,那矛盾就烟消云散了!经过长期细致而复杂的计算以后,他终于发现:行星在通过太阳的平面内沿椭圆轨道运行,太阳位于椭圆的一个焦点上。这就是行星运动第一定律,又叫轨道定律。
当开普勒继续研究时,“诡谲多端”的火星又将他骗了。原来,开普勒和前人都把行星运动当作等速运动来研究,他按照这一方法苦苦计算了1年,却仍得不到结果。后来他发现,在椭圆轨道上运行的行星速度不是常数,而是在相等时间内,行星与太阳的连线所扫过的面积相等。这就是行星运动第二定律,又叫面积定律。
开普勒又经过9年努力,找到了行星运动第三定律:太阳系内所有行星公转周期的平方同行星轨道半长轴的立方之比为一常数,这一定律也叫调和定律。
(三)定律意义
1.开普勒定律在科学思想上表现出无比勇敢的创造精神。远在哥白尼创立日心宇宙体系之前,许多学者对于天动地静的观念就提出过不同见解,但对天体遵循完美的均匀圆周运动这一观念,从未有人敢怀疑。开普勒却毅然否定了它,这是个非常大胆的创见。哥白尼知道几个圆合并起来就可以产生椭圆,但他从来没有用椭圆来描述过天体的轨道。正如开普勒所说,“哥白尼没有觉察到他伸手可得的财富”。
2.开普勒定律彻底摧毁了托勒密的本轮系,把哥白尼体系从本轮的桎梏下解放出来,令它变得充分、完整和严谨。哥白尼抛弃了古希腊人的先入之见,即天与地的本质差别,获得一个简单得多的体系,但它仍须用30几个圆周来解释天体的表观运动。开普勒却找到了最简单的世界体系,只用7个椭圆说就全部解决了。从此,科学家不需再借助任何本轮和偏心圆,就能简单而精确地推算行星的运动。
3.开普勒定律使人们对行星运动的认识变得明晰完善。它证明行星世界是一个匀称的(即开普勒所说的“和谐”)系统。这个系统的中心天体是太阳,受来自太阳的某种统一力量所支配。太阳位于每个行星轨道的焦点之一。行星公转周期决定于各个行星与太阳的距离,与质量无关。而在哥白尼体系中,太阳虽然居于宇宙“中心”,却并不扮演这个角色,因为没有一个行星的轨道中心是同太阳相重合的。
4.开普勒定律的发现是开普勒总结前人成果及本人悉心研究的结果。利用前人进行的科学实验和记录下来的数据而作出科学发现,在科学史上是不少的。但像行星运动定律的发现那样,从第谷的20余年辛勤观测到开普勒长期的精心推算,道路如此艰难,成果如此辉煌的科学合作,则是罕见的。这一切都是在没有望远镜的条件下得到的!
开普勒利用第谷提供的观察数据,绘制出了第一张精确的太阳系图谱。开普勒的辛劳巩固了哥白尼的理论,他孤军奋战,终于用第谷的观察数据,准确阐述了行星的运动。在有生之年,他的成就没有得到承认,但他的洞见仍然是现代宇宙理论的基础。
5.开普勒定律的发现是人类不断认识自然不断接近真理的过程,永无终极。
开普勒定律是天文学的又一次革命,它彻底摧毁了托勒密繁杂的本轮宇宙体系,完善和简化了哥白尼的日心宇宙体系。开普勒对天文学最大的贡献在于他试图建立天体动力学,从物理基础上解释太阳系结构的动力学原因。虽然他提出有关太阳发出的磁力驱使行星做轨道运动的观点是错误的,但它对后人寻找出太阳系结构的奥秘具有重大的启发意义,为经典力学的建立、牛顿的万有引力定律的发现,都作出重要的提示。