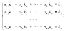
该方程组的每一个方程的系数及常数项可组成一个行向量,这样该方程组对应一个行向量组:
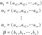
α1=(a11,a12,…,a1n,b1)
α2=(a21,a22,…a2n,b2)
︙
αn=(am1,am2,…,amn,bm)
另外,该方程组每一列对应一个列向量,故又对应一个列向量组:

则该方程组可写成向量形式:x1β1+x2β2+…+xnβn=b.
同时,已知列向量组按行排列可构成一个矩阵,当令A=(β1,β2,…,βn),
时,该线性方程组同样也可写成矩阵形式:
AX=b.
3.2.2 向量组的线性组合
平面上两个向量α,β之间最简单的关系是共线(成比例).我们称向量α与β成比例的充要条件是:存在一个数k,使得
α=kβ或者β=kα.
向量α=(4,6)与向量β=(2,3)是共线(成比例)的.因为
α=2β
将两个向量成比例的关系推广到多个向量之间,就引出了线性组合的概念.
定义3.2.2 设β,α1,α2,…,αs都是n维向量,如果存在一组数k1,k2,…ks,使得关系式
β=k1α1+k2α2+…+ksαs
成立,则称向量β是向量组α1,α2,…,αs的线性组合,并称向量β可由向量组α1,α2,…,αs的线性表示(或线性表出).
设有3个三维向量α1=(1,2,3),α2=(2,3,4),β=(3,5,7),因为它们有关系
β=α1+α2
所以称向量β是向量α1,α2的线性组合.
向量O=(0,0,0,0)与向量α1=(1,2,3,4),α2=(2,4,5,8)之间有关系
O=0α1+0α2
我们也称向量O是向量α1,α2的线性组合.
注:在定义3.2.2中,数k1,k2,…,ks是没有加什么限制,它们可以不全为零;可以一部分为零,一部分不为零(即不全为零);也可以全为零.
设有n个n维单位向量:
e1=(1,0,…,0)
e2=(0,1,…,0)
︙
en=(0,0,…,1)
由于任一个n维向量α=(a1,a2,…,an)都可以表示成
α=a1e1+a2e2+…+anen
所以任一个n维向量α都是n个n维单位向量e1,e2,…,en的线性组合,或者说任一个n维向量都可由e1,e2,…,en线性表示.通常e1,e2,…,en为n维单位坐标向量组.
例3.2.1 设有四个三维向量β=(0,4,2),α1=(1,2,3),α2=(2,3,1),α3=(3,1,2),试将向量β表示为α1,α2,α3的线性组合.
解 设存在一组数k1,k2,k3,使得关系式
β=k1α1+k2α2+k3α3
成立,即有
(0,4,2)=k1(1,2,3)+k2(2,3,1)+k3(3,1,2).
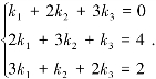
由向量运算和向量相等的定义,有关系式

此方程组的系数行列式为

由克莱姆法则可知,方程组有唯一解,可以求出
k1=1,k2=1,k3=-1.
所以向量β可以表示为α1,α2,α3的线性组合:
β=α1+α2-α3,
即向量β可由α1,α2,α3的线性表示.
以上介绍了如何将一个向量用一个向量组来线性表示的方法.但要注意,有时可能出现这样的情况,某个向量不能表示成某个向量组的线性组合,例如向量β=(1,2,3)就不能表示成向量α1=(0,1,0),α2=(0,0,1)的线性组合,即β不能由向量α1,α2线性表示.关于这方面的问题,将在下一节向量的线性无关概念时再陈述.
定理3.2.1 设有n维向量组为
,令A
注意矩阵A为方阵).
若|A|≠0,则向量β=(b1,b2,…,bn)可由向量组α1,α2,…,αn的线性表出.
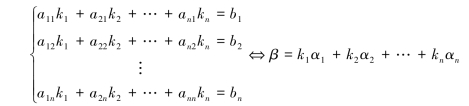
分析 要证β可否由向量组α1,α2,…,αn的线性表出,我们在这里只能用定义证明:存在一组数k1,k2,…,kn,使得关系式
β=k1α1+k2α2+…+knαn
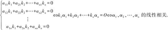
成立.将各向量的分量代入,用向量运算和向量相等的定义,得到方程组

由上面条件可知,只需证明方程组有唯一解即可.
证 若|A|≠0,即可知

可知线性方程组
有唯一解,即可知存在一组数
k1,k2,…,kn使得方程组

成立.
由上面分析可知

即存在一组数k1,k2,…,kn使得关系式
β=k1α1+k2α2+…+knαn
成立,由此得证.
定理3.2.2 若向量β可由m维向量组α1,α2,…,αn线性表出,则矩阵A=

的β行经行初等变换可将其化为零行.
证 设向量β可由向量组α1,α2,…,αn线性表出,即存在一组数k1,k2,…,kn,使得关系式
β=k1α1+k2α2+…+knαn
将m维行向量组α1,α2,…,αn,β按行排列成一个n+1行m列的矩阵A=

.对矩阵实施第三种初等行变换,也就是分别以数-k
1,-k
2,…,-k
n乘以
α1,α2,…,αn,再加到矩阵n+1行,就可以将第n+1行的向量β化为零行.由此得证.
分析 为何不是充要条件?(已知第n+1行化为零行,可知向量β可线性表出)下例即为说明.
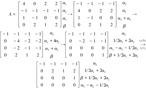
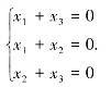
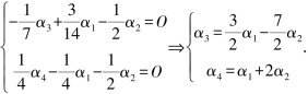
例3.2.2 设向量组α1=(4,0,2,2),α2=(-1,-1,-1,-1),α3=(1,-1,0,0),β=(0,2,1,2),问:向量β可否由α1,α2,α3线性表出?
错解

由此可得向量β可由α1,α2,α3线性表出,这个答案是错误的.确切地说,向量β不能由α1,α2,α3线性表出(这个证明在后面的一节给出).
原因在于:这个初等变换过程中,虽然最终第4行已换成零行.但矩阵的第三次变换过程中,第4行与第2行进行交换,矩阵原始的第4行已不再代表最开始的第4行的元素,这就是随意进行初等行变换求能否线性表出的可能出错的根源.
要避免这种错误并不难,可把原始向量的序号α1,α2,α3,β标注在矩阵右侧,每次都将初等变换的过程标注下来.
正解

由此可得,向量β不能由α1,α2,α3线性表出.
推论3.2.1 向量组α1,α2,…,αn构成的矩阵A=

经行初等变换出现零行的充要条件是至少有一个向量可由其他向量线性表出.
证 (1)必要性.设矩阵A=

某一行经行初等变换可将其化为零行,即这行的表达式出现k
iα
i+k
jα
j+…+k
mα
m,可知k
iα
i+k
jα
j+…+k
mα
m=O.
情形一:若ki,kj,…,km至少有一个不为零,不妨设ki≠0,由此可得αi=0

,即存在一个向量α
i可由其他向量α
1,α
2,…,α
i-1,α
i+1,…,α
n线性表出.
情形二:若ki,kj,…,km都为零,也就是说矩阵A=

的第i行不经行初等变换即为零行.根据零向量可由任意向量组线性表出,可知存在一个向量α
i(零向量)可由向量组α
1,α
2,…,α
i-1,α
i+1,…,α
n线性表出.
(2)充分性.若向量组α1,α2,…,αn中至少有一个向量可由其他向量线性表出.由定理3.2.2可得,矩阵

至少有一行经初等变换可转化为零行.由此得证.
§3.3 向量组的线性相关性
3.3.1 线性相关与线性无关的概念
给定两个向量组:
α1=(1,2,3),α2=(2,4,6):
β1=(1,2,3),β2=(1,2,4).
它们各由两个三维向量所组成.
在第一组中,α1与α2对应成比例.在几何中,α1与α2称为共线,因为α2=2α1,两端同时加上(-1)α2,可得
2α1-α2=0.
该式表明,对于向量α1和α2存在两个不同时为0的数2和-1,使上面关于α1,α2的等式成立.
在第二组中,由于β1与β2不共线,因此对于任何不全为零的两个数k1和k2,总有
k1β1+k2β2≠0.
将向量共线或不共线的关系推广到m个n维向量上,我们有下面的定义.
定义3.3.1 设有n维向量组α1,α2,…,αm,若存在不全为0的数k1,k2,…,km,使得
k1α1+k2α2+…+kmαm=0.
则称向量组α1,α2,…,αm线性相关,否则称它们线性无关.换言之,向量组α1,α2,…,αm线性无关是指只有当k1=k2=…=km=0都等于零时,才有k1α1+k2α2+…+kmαm=0成立.
由此可知,两组向量α1与α2线性相关,而β1与β2则线性无关.
对于平面上的两个向量α1=(3,6),α2=(1,2),由于α1与α2平行即共线,所以α1与α2线性相关.
对于向量组α1=(1,3,1),α2=(-1,1,3),α3=(-5,-7,3),不难得出线性关系式3α1-2α2+α3=0成立.因此,该向量组线性相关.
例3.3.1 讨论n维单位坐标向量组e1=(1,0,…,0),e2=(0,1,…,0),…,en=(0,0,…,1)的线性相关性.
解 设有一组数k1,k2,…,kn,使得
k1e1+k2e2+…+knen=O,
则有
(k1,k2,…,kn)=O.
从而k1=k2=…=kn=0,所以e1,e2,…,en线性无关.
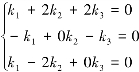
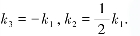
例3.3.2 讨论三维向量组α1=(1,-1,1),α2=(2,0,-2),α3=(2,-1,0)的线性相关性.
解 设有一组数k1,k2,k3,使得
k1α1+k2α2+k3α3=O.
将α1,α2,α3的坐标代入上式,可得
k1(1,-1,1)+k2(2,0,-2)+k3(2,-1,0)=(0,0,0).
从而得齐次线性方程组:

由克莱姆法则,方程组的系数矩阵

=0,则上述齐次线性方程组有非零解,解得:

取k
1=2,得非零解k
1=2,k
2=1, k
3=-2.因此,向量组α
1,α
2,α
3线性相关.
由例3.3.2可知,向量组的线性相关性与方程组之间的关系(此结论仅限于系数矩阵为方阵).
定理3.3.1 n个n维向量构成的向量组α1=(a11,a12,…,a1n),α2=(a21,a22,…,a2n),…,αn=(an1,an2,…,ann),设方阵A

(注意A为方阵),则α
1,α
2,…,α
n线性相关的充要条件是

分析:要证向量组α1,α2,…,αn的线性相关,只需要证明齐次线性方程组有非零解即可.
证 若|A|=0,即可知

0

齐次线性方程组有非零解.即存在一组不全为0的数k
1,k
2,…,k
n,使得

由此得证.
关于向量组的线性相关性的判定,有下面一些较简单的结论.
定理3.3.2 当m≥2时,向量组α1,α2,…,αm线性相关的充分必要条件是其中至少有某一向量是其余向量的线性组合.
证 (1)必要性.设α1,α2,…,αm线性相关,则存在一组不全为0的数k1,k2,…,km,使得
k1α1+k2α2+…+kmαm=0.
因k1,k2,…,km不全为0,不妨设km≠0,则

因此αm可由α1,α2,…,αm-1线性表示.
(2)充分性.设αm是其余向量的线性组合,则存在数k1,k2,…,km,使得
αm=k1α1+k2α2+…+km-1αm-1,
于是有
k1α1+k2α2+…+km-1αm-1+(-1)αm=O.
由于至少有αm的系数-1不为零,故向量组α1,α2,…,αm线性相关.
定理3.3.3 若m个向量α1,α2,…,αm中有一部分向量线性相关,则这m个向量也线性相关.
证 不妨设前r个向量α1,α2,…,αr线性相关,即存在不全为0的数k1,k2,…,kr,使得
k1α1+k2α2+…+krαr=O.
再取kr+1=kr+2=…=kn=0,则m个数k1,k2,…,km不全为0,且满足
k1α1+k2α2+…+krαr+kr+1αr+1+…+kmαm=O.
因而α1,α2,…,αm线性相关.
由定理3.3.3可以推出,若向量组中包含零向量,则该向量组必线性相关.
推论3.3.1 若m个向量α1,α2,…,αm线性无关,则其中部分向量也线性无关.(用反证法,这个推论是上述定理的逆否形式).
定理3.3.4 设α1,α2,…,αm线性无关,而α1,α2,…,αm,β线性相关,则β能由α1,α2,…,αm线性表示,且表达式是唯一的.
证 因α1,α2,…,αm,β线性相关,故存在不全为零的数k1,k2,…,kr,使
k1α1+k2α2+…+kmαm+kβ=O.
如果k=0,则k1,k2,…,kr不全为0,上式变成
k1α1+k2α2+…+kmαm=O,
故α1,α2,…,αm线性相关,这与已知α1,α2,…,αm线性无关矛盾.因此k≠0.
于是有

下证表示系数唯一.
设有两种表示:
β=λ1α1+…+λmαm
β=μ1α1+…+μmαm
两式相减得(λ1-μ1)α1+…+(λm-μm)αm=O.
因α1,α2,…,αm线性无关,故λi-μi=0,即有λi=μi(i=1,2,…,m)故表示系数唯一.证毕.
例3.3.3 已知向量组α1,α2,α3线性无关,证明向量组β1=α1+α2,β2=α2+α3,β3=α1+α3也线性无关.
证 令x1β1+x2β2+x3β3=O,即x1(α1+α2)+x2(α2+α3)+x3(α1+α3)=O,可得(x1+x3)α1+(x1+x2)α2+(x2+x3)α3=O.
因为α1,α2,α3线性无关,故

因上述齐次线性方程组系数行列式

故只有零解,即x1=0,x2=0,x3=0,故β1,β2,β3也线性无关.
判断向量组的线性相关性除用定理3.3.1判定外,还有一些特殊的判断方法,现介绍如下:
(1)由一个向量组成的向量组α,当α=O时,线性相关;当α≠O,线性无关.
(2)由两个向量组成的向量组α,β线性相关(无关)的充要条件是对应分量成比例(不成比例).
(3)含零向量的向量组必线性相关.
3.3.2 向量组线性相关性的矩阵判别法
在关于n维向量的定义中我们看到,一个m×n矩阵的每一行是一个n维行向量.反之,给定m个n维行向量组,将每个行向量作为矩阵的一行,则得到一个m×n矩阵.因而向量组的线性相关性可利用矩阵的某些特性来判定.
定理3.3.5(向量组线性相关性的矩阵判别法) 设有m个n维向量α1=(a11,a12,…,a1n),α2=(a21,a22,…,a2n),…,αm=(am1,am2,…,amn),将它们的坐标排成一个m×n矩阵

则α1,α2,…,αm线性相关的充分必要条件是R(A)<m.
证 (1)必要性.
设α1,α2,…,αm线性相关,由定理3.3.2可得.向量组中至少有一个向量是其余向量的线性组合.同时由推论3.2.1可得,矩阵A

经行初等变换出现零行,由此可得R(A)<m.
(2)充分性.
由定理3.3.2与推论3.2.1为充要条件即可得证.
推论3.3.2 m个n维向量α1,α2,…,αm线性无关的充分必要条件是R(A)=m.
推论3.3.3 若m>n,则m个n维向量α1,α2,…,αm必定线性相关(即向量组中所含向量个数大于向量的维数时,此向量组线性相关).
例3.3.4 判定向量组α1=(2,1,3),α2=(1,2,0),α3=(3,3,3)是否线性相关.
解

α3-4α1+2α2=0.由此可得,此向量组线性相关.
问:是否必须将初等变换的过程标注下来(向量α1,α2,α3,α4初等变换过程标注在矩阵右侧)?
答案是否定的.求向量组的相关性过程中,不需要将初等变换的过程标注出来,但若要求解向量之间的关系式(如上例中α2+8α1-6α3+2α4=O),就需要将初等变换的过程标注在矩阵的右侧.
例3.3.5 设向量组α1=(1,-2,0,2),α2=(-2,4,6,-6),α3=(2,-1,2,3),α4=(3,3,3,4),问:α1,α2,α3,α4是否线性相关?
解

因为R(A)=3<4,所以α1,α2,α3,α4线性相关.特别注意:这时无法直接得到四个向量α1,α2,α3,α4之间的关系式.
§3.4 向量组的最大无关组与向量组的秩
3.4.1 向量组的等价
定义3.4.1 设有两个n维向量组
A:α1,α2,…,αr
B:β1,β2,…,βs
如果向量组A中的每一个向量都可由向量组B线性表示,则称向量组A能由向量组B线性表示.如果向量组A能由向量组B线性表示,向量组B也能由向量组A线性表示,则称向量组A与向量组B等价.
设向量组A能由向量组B线性表示,则存在r组数ki1,ki2,…,kis(i=1,2,…,r),有关系式
αi=ki1β1+ki2β2+…+kisβs.
当向量组A,B是行向量组时,令矩阵

则存在r×s矩阵K=(kij)r×s,使
A=KB
其中,K的第i行元素就是向量αi被向量组B线性表示的系数.
例如,向量组β1=(1,2),β2=(2,3),β3=(2,3)可由向量组α1=(0,1),α2=(0,1)线性表示:

而向量组α1,α2也可由向量组β1,β2,β3线性表示:

说明向量组β1,β2,β3与向量组α1,α2等价.
很容易证明,向量组之间的等价关系有以下三个性质:
(1)反身性:每一个向量组都与它自身等价;
(2)对称性:如果向量组a1,a2,…,am与向量组b1,b2,…,bi等价,则向量组b1,b2,…,bi与向量组a1,a2,…,am等价;
(3)传递性:如果向量组a1,a2,…,am与向量组b1,b2,…,bi等价,又向量组b1,b2,…,bi与向量组c1,c2,…,ct等价,向量组a1,a2,…,am与向量组c1,c2,…,ct等价;在数学中,把具有上述3个性质的关系称为等价关系.
定理3.4.1 设向量组α1,α2,…,αr能由β1,β2,…,βs线性表示,且α1,α2,…,αr线性无关,则向量组α1,α2,…,αr中向量的个数不大于β1,β2,…,βs中向量的个数,即

证 设矩阵A

由定理3.2.2可得,矩阵经初等行变换可得B=

故有t=R(A)£R(B)£s,由此得证.
3.4.2 向量组的最大无关组
4个二维向量
α1=(1,0), α2=(0,1)
α3=(2,0), α4=(0,2)
中,向量α1,α2是线性无关的,而α1,α2,α3是线性相关的;α1,α2,α4也是线性相关的,也就是从原向量组的其余向量中任取一个向量加到α1,α2中所成的向量组都是线性相关的.那么α1,α2这个线性无关的部分组就是最大的无关了,所以称向量组α1,α2是向量组α1,α2,α3,α4的最大无关向量组,简称最大无关组.同样容易验证α3,α4也是向量组α1,α2,α3,α4的最大无关向量组.
定义3.4.2 一个向量组A中的部分向量α1,α2,…,αr,若满足如下两个条件:
(i)α1,α2,…,αr线性无关;
(ii)任取α∈A,总有α1,α2,…,αr,α线性相关,则称部分向量组α1,α2,…,αr是向量组A的最大无关组,简称最大无关组.
根据定理3.3.4,定义3.4.2的条件(ii)亦可叙述为:A中任一向量可由α1,α2,…,αr线性表示.由此可得下述定理:
定理3.4.2 由有限个行向量α1,α2,…,αs组成的向量组的最大无关组中所含向量的个数均相等.
证 设β1,β2,…,βs,γ1,γ2,…,γt是向量组α1,α2,…,αs的两个最大无关组,由定义3.4.2的条件(ii)得A中任一向量可由最大无关组线性表示,由此可知,最大无关组β1,β2,…,βs与γ1,γ2,…,γt可相互线性表出,同时由定义3.4.2的条件(i)可知,β1,β2,…,βs与γ1,γ2,…,γt都为线性无关组,由定理3.4.1可得s=t,由此得证.
例3.4.1 求向量组α1=(1,2,3,4),α2=(2,4,6,8),α3=(3,6,9,12)的最大无关组.
解 向量α1是线性无关的(一个非零向量线性无关),而α1,α2;α1,α3;α1,α2,α3都是线性相关的,所以α1是α1,α2,α3的一个最大无关组.
实际上,α1是α1,α2,α3的一个最大无关组(当然α3也是).
由例3.4.1与定理3.4.2可知,向量组的最大无关组不是唯一的,但不同的最大无关组所含向量的个数是相等的.
定义3.4.3 向量组α1,α2,…,αs的最大无关组所含向量的个数称为这个向量组的秩,记为R(α1,α2,…,αs).
规定零向量组成的向量组的秩为零.
如例3.4.1中向量组α1=(1,2,3,4),α2=(2,4,6,8),α3=(3,6,9,12)的秩为1,记为R(α1,α2,α3)=1
定理3.4.3 若R(α1,α2,…,αn)=r,则向量组α1,α2,…,αn中任意r个线性无关向量构成的部分组必为向量组α1,α2,…,αn的最大无关组.
证 设向量αi1,αi2,…αir为向量组α1,α2,…,αn中r个线性无关向量,在向量组α1,α2,…,αn中任取向量α.因R(α1,α2,…,αn)=r,所以向量αi1,αi2,…αir,α必线性相关,否则若αi1,αi2,…αir,α线性无关,可得R(α1,α2,…,αn)>r,推出矛盾,由最大无关组的定义可知,向量αi1,αi2,…αir必为向量组α1,α2,…,αn的最大无关组.
由此可知,要求出向量组的最大无关组,按照例3.4.1的做法,求解过程较为烦琐,下面介绍求向量组的最大无关组的另外一种方法.
定理3.4.4 初等行变换不改变行向量组的线性相关性
分析:由矩阵和向量组的关系可知,m个n维行向量α1,α2,…,αm可构成矩阵A=

设矩阵A经l次初等行变换化为矩阵B,即

则存在m阶初等矩阵P1,P2,…,Pl,使
P1P2…PlA=B.
设P=P1P2…Pl,则P可逆(这是关键点),并且
PA=B.
由分块矩阵的运算可得
Pαi=βi,i=1,2,…,m.
情形一:若行向量组α1,α2,…,αm线性相关,则行向量组β1,β2,…,βm线性相关.
证 若行向量组α1,α2,…,αm线性相关,则存在一组不全为零的数k1,k2,…,km使得关系式
k1α1+k2α2+…+kmαm=O
两边左乘矩阵P,可得
k1Pα1+k2Pα2+…+kmPαm=O,
即
k1β1+k2β2+…+kmβm=O,
可得行向量组β1,β2,…,βm线性相关.
情形二:若行向量组α1,α2,…,αm线性无关,则行向量组β1,β2,…,βm线性无关.
证(反证法) 若行向量组β1,β2,…,βm线性相关,则存在一组不全为零的数l1,l2,…lm使得关系式
l1β1+l2β2+…+lmβm=O
两边左乘矩阵P-1,可得
l1P-1β1+l2P-1β2+…+lmP-1βm=O,
即
l1α1+l2α2+…+lmαm=O.
由l1,l2,…lm不全为零可得行向量组α1,α2,…,αm线性相关,矛盾.由此可得,初等行变换不改变行向量组的线性相关性.
由上述定理理论基础,可得最大无关组的求法.
最大无关组的求法:
(1)将所给的行向量组α1,α2,…,αs按行排列成s行的矩阵A=

把原始向量的序号α
1,α
2,…,α
s标注在矩阵右侧.
例如,α1=(1,2,3,4),α2=(2,4,6,8),α3=(3,6,9,12)排列为三行四列的矩阵A=

(2)对矩阵A作初等行变换将其化为阶梯型,特别注意在对矩阵进行初等行变换的同时,对矩阵后的标注也进行相应的变换.
例如 A=

(3)由阶梯型矩阵中找出非零行,阶梯型矩阵的非零行所对应的原向量组即为该向量组的一个最大无关组.
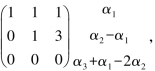
例3.4.2 求向量组α1=(1,1,3,1),α2=(-1,1,-1,3),α3=(5,-2,8,-9),α4=(-1,3,1,7)的一个最大无关组.
解

由此可得,α1,α2是该向量组的最大无关组.
同时,由上例可以看出,阶梯型矩阵的零行的标注为

由此可以得到

这种在矩阵右侧标注变换过程的方法好处在于:不仅可以得到向量组的最大无关组,同时可以把向量组当中不属于最大无关组的向量用最大无关组表示出来.
例3.4.3 已知向量α1=(1,1,1),α2=(1,2,4),α3=(1,3,t).
(1)t为何值时,α1,α2,α3线性相关?
(2)当α1,α2,α3线性相关时,求出此向量组的最大无关组,并把其余向量用最大无关组线性表示.
解 (1)因为

所以t=7,α1,α2,α3线性相关.
(2)因为t=7,阶梯型矩阵为

可知α
1,α
2为最大无关组.
同时可得α3-4α1+2α2=O⇒α3=-α1+2α2.
3.4.3 向量组的秩与矩阵的秩的关系
定理3.4.5 设A为m×m矩阵,则矩阵A的秩等于它的行向量组的秩,也等于它的列向量组的秩.
证 设矩阵

对矩阵A进行初等行变换将其转化为行阶梯型矩阵B=

,由于初等变换不改变矩阵的秩,则R(A)=R(B)=r,由此可得阶梯型矩阵B

的前r
行线性无关,故β1,β2…,βr是B的行向量组的最大无关组,则
R(β1,β2,…,βr,γr+1,…,γn)=r.
由定理3.4.4可知,A的行向量组的秩与B的行向量组的秩相等,即
R(α1,α2,…,αn)=R(A)=r,
故矩阵A的秩等于A的行向量组的秩.同理A的列向量组的秩也为r.证毕.
定理3.4.5告诉我们:求一个向量组的秩,只需求向量组构成的矩阵的秩即可.
推论3.4.1 矩阵A的行向量组的秩与列向量组的秩相等.
定理3.4.6 向量β能由向量组α1,α2,…,αn线性表出的充分必要条件是:
矩阵A=

的秩.
证 (1)必要性 由定理3.2.2可得,矩阵B=

的β行经行初等变换可将其化为零行,由矩阵秩的定义可知R(A)=R(B).
(2)充分性 若R(A)=R(B)=r,设向量αi1,αi2,…αir为向量组α1,α2,…,αn的最大无关组,可知αi1,αi2,…αir线性无关.由定理3.4.3可得,向量αi1,αi2,…αir也是向量组α1,α2,…,αn,β的最大无关组.由最大无关组的定义可知,向量组α1,α2,…,αn,β可由αi1,αi2,…αir线性表出.由此可得,α1,α2,…,αn,β可由向量组α1,α2,…,αn线性表出,所以向量β能由向量组α1,α2,…,αn线性表出.
定理3.4.7 如果向量组α1,α2,…,αm可以由向量组β1,β2,…,βn线性表示,则R(α1,α2,…,αm)≤R(β1,β2,…,βn).
证 记s=R(α1,α2,…,αm),t=R(β1,β2,…,βt).设向量组α1,α2,…,αm的一个最大线性无关组为α1,α2,…,αs;向量组β1,β2,…,βn的一个最大线性无关组为β1,β2,…,βt.由于向量组α1,α2,…,αm可以由向量组β1,β2,…,βn线性表示,则向量组α1,α2,…,αs也可以由向量组β1,β2,…,βn线性表示,又由于向量组β1,β2,…,βn可以由β1,β2,…,βt线性表示.所以α1,α2,…,αs也可以由β1,β2,…,βt线性表示,由定理3.4.1知,s≤t.即R(α1,α2,…,αm)≤R(β1,β2,…,βn).
推论3.4.2 向量组α1,α2,…,αm与向量组β1,β2,…,βn等价,则R(α1,α2,…,αm)=R(β1,β2,…,βn).
定理3.4.8 设向量组α1,α2,…,αr能由β1,β2,…,βs线性表示,且α1,α2,…,αr线性无关,则向量组α1,α2,…,αr中向量的个数不大于β1,β2,…,βs中向量的个数,即r≤s.
证 设矩阵A=

由定理3.2.2可得,矩阵B经初等行变换可得B

,故有t=R(A)≤R(B)≤s,由此得证.
§3.5 向量空间的基
3.5.1 向量空间的基
定义3.5.1 设V为向量空间,若r个向量α1,α2,…,αr∈V,且满足:(1)α1,α2,…,αr线性无关;
(2)V中任意一个向量都可由α1,α2,…,αr线性表示.那么,向量组α1,α2,…,αr就称为向量V的一个基,r称为向量空间的维数,并称V为r维向量空间.
若α∈V,有有序数组λ1,λ2,…,λr,使得α=(α1,α2,…,αr)

,则称λ
1,λ
2,…,λ
r为α在基α
1,α
2,…,α
r下的坐标。
若向量空间V没有基,那么V的维数为0,0维的向量空间只含有一个零向量.
若把向量空间V看作向量组,则由最大无关组等价定义可知,V的基就是向量组的最大无关组,V的维数就是向量组的秩.
如Rn为n维向量空间,取n维单位坐标向量组e1,e2,…,en为Rn的一个基,则Rn={X=x1e1+x2e2+…+xnenx 1,x2,…,xn∈R},此时x1,x2,…,xn即是向量X的分量,又称向量X在基e1,e2,…,en下的坐标.
记X=(e1,e2,…,en)

,因此e
1,e
2,…,e
n叫作R
n的自然基.
一般情况下,一个向量在不同基下坐标不同,例如,e1=

,X=


若取ε1=

,则

称L={X=λ1α1+λ2α2+…+λmαm|λ 1,λ2,…,λm∈R}为由向量组α1,α2,…,αm所生成的向量空间。
显然,向量空间L与α1,α2,…,αm等价,所以向量组α1,α2,…,αm的最大无关组就是L的一个基,向量组α1,α2,…,αm的秩就是L的维数.
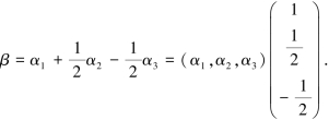
例3.5.1 已知β在R3中的一个基α1=

下的坐标,求β在自然基e
1,e
2,e
3下的坐标

.
解 已知

基α1,α2,α3由e1,e2,e3线性表示,即

若β在基e1,e2,e3下的坐标为(x1,x2,x3),则

故β在e1,e2,e3下的坐标为(1,2,1).
§3.6 向量的内积与正交向量组
3.6.1 向量的内积
内积的概念是三维几何空间中向量的数量积概念的直接推广.
定义3.6.1 设有n维向量α=

,α与β的内积定义为:
[α,β]=a1b1+a2b2+…+anbn.
内积是向量的一种运算,当α与β都是列向量时,可用矩阵表示为[α,β]=αTβ.
内积满足下列运算律(α,β,γ是n维向量,k为实数):
(1)[α,β]=[β,α];
(2)[kα,β]=k[α,β];
(3)[α+β,γ]=[α,γ]+[β,γ];
(4)[α,α]≥0,当且仅当α=0时有[α,α]=0.
定义3.6.2 非负实数

称为n维向量α的长度(或范数),记作|α|,即

向量范数有如下性质:
(1)齐次性

(2)三角不等式

当|α|=1时,称α为单位向量,若α是一非零向量,则

是单位向量,即用数

乘以α将其单位化.
定义3.6.3 当α≠0与β≠0时,θ=arccos

称为n维向量α与β的夹角.
3.6.2 正交向量组
定义3.6.4 对于n维向量α与β,若[α,β]=0,称α与β正交;一组两两正交的非零向量组称为正交向量组,若正交向量组中每个向量都是单位向量,则称该向量组为标准正交向量组.
显然,若α是零向量,则α与任何向量正交.
如e1=(1,0,…,0)T,e2=(0,1,…,0)T,…,en=(0,0,…,1)T.当i≠j时,有eiej=0,并且 ei=1,显然e1,e2,…,en是标准正交向量组.
定义3.6.5 设n维向量组ε1,ε2,…,εr是向量空间V的一个基,若两两正交,且都是单位向量,则称ε1,ε2,…,εr是V的一个规范正交基.
显然ε1=


是R
4的一个规范正交基.
定理3.6.1 若n维向量组α1,α2,…,αr是一组两两正交的非零向量,则α1,α2,…,αr线性无关.
证 设α1,α2,…,αr是正交向量组,若存在一组实数k1,k2,…,kr,使得
k1α1+k2α2+…+krαr=0.
用αi与等式两边作内积,得
ki[αi,αi]=0,(i=1,2,…,r).
由于αi≠0,则[αi,αi]>0,从而
ki=0,(i=1,2,…,r)
故α1,α2,…,αr线性无关.
该定理反之不成立,如α1=

显然α
1,α
2线性无关,而[α
1,α
2]=1≠0,所以线性无关的向量组不一定两两正交,但可以由线性无关向量组导出正交向量组.方法如下:
设α1,α2,…,αr线性无关,取

易证β1,β2,…,βr是正交向量组,并且与向量组α1,α2,…,αr
等价.上述方法称为施密特正交化方法.
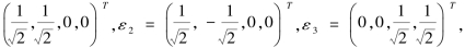
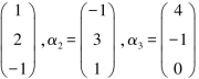
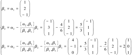
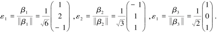
例3.6.1 把线性无关向量组α1=

化为标准正交向量组.
解 用施密特正交化法把α1,α2,α3正交化,取

把β1,β2,β3单位化,得

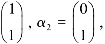
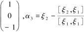
例3.6.2 已知β

,求非零向量β
2,β
3,使β
1,β
2,β
3两两正交.
解 要使α1,α2,α3两两正交,则α2,α3应满足方程αT1X=0,即
x1+x2+x3=0.
根据方程,取两个线性无关的解向量ξ1=

然后将其正交化.
设α2=ξ1=

ξ
1=

,则
α2,α3为所求.
3.6.3 正交矩阵
定义3.6.6 若n阶矩阵满足ATA=E(即A-1=AT),那么称为A正交矩阵,简称正交阵.
若A的列向量组α1,α2,…,αn,即A=(α1,α2,…,αn),由ATA=E

得(α
1,α
2,…,α
n)=E,由此得到个 n
2关系式 [α
i,α
j]=

因此,矩阵A为正交矩阵的充要条件是的列向量组是标准正交向量组,由于ATA=E与AAT=E等价,所以上述结论对A的行向量组也成立.
例3.6.3 验证矩阵P=

是正交矩阵.
证 容易验证P的每个列向量都是单位向量,且两两正交,所以P是正交矩阵.
正交矩阵具有如下性质:
(1)A-1=AT;
(2)A的列(行)向量组为标准正交向量组;
(3)|A|=1或-1;
(4)A的转置和逆矩阵也是正交矩阵;
(5)两个同阶正交矩阵乘积仍为正交矩阵.
上述性质都可以根据正交阵的定义直接证得,请读者自行证明.
例3.6.4 设α1,α2是Rn中两个列向量,证明对任一n阶正交阵A,总有[Aα1,Aα2]=[α1,α2].
证 因Aα1,Aα2均为n维列向量,所以
[Aα1,Aα2]=(Aα1)T(Aα2)=αT1ATAα2=αT1α2=[α1,α2].