称为列矩阵,又称列向量.
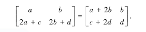
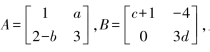
例2.1.1 设矩阵
且A=B,试求a,b,c,d.
解 因为A=B,故有:1=c+1,a=-4,2-b=0,3=3d,联立求解可得:a=-4,b=2,c=0,d=1.
2.1.2 几类特殊矩阵
1)三角矩阵
如果n阶方阵A=(aij)m×n满足aij=0(i>j;i,j=1,2,…,n),即

则称A为n阶上三角矩阵.
如果n阶方阵B=(bij)n×n满足bij=0(i<j;i,j=1,2,…,n),即

则称B为n阶下三角矩阵.
例如3阶上三角矩阵:

2)对角矩阵
形如

的n阶方阵称为对角矩阵,其特点就是主对角线以外的元素全部为0,主对角线上的元素aii(i=1,2,…,n)不全为0.对角矩阵也可记为
diag(a11,a22,…,ann)
3)单位矩阵
主对角线上的元素全为1的对角矩阵称为单位矩阵,记为E.
例如3阶单位矩阵:

4)数量矩阵
主对角线上的元素全相等的对角阵
称为数量矩阵,
单位矩阵是特殊的数量矩阵.
例如3阶数量矩阵:

§2.2 矩阵的运算
本节定义矩阵的运算,它们可以认为是矩阵之间的一些最基本的关系,包括矩阵的加法、矩阵与数的乘法、矩阵的乘法以及矩阵的转置运算.
2.2.1 矩阵的加法
定义2.2.1 设两个m×n的矩阵

则矩阵

称为A与B的和,记为
C=A+B.
矩阵的加法就是矩阵对应的元素相加.当然,相加的矩阵必须要有相同的行数和列数(即同型矩阵).由于矩阵的加法归结为它们元素的加法,也就是数的加法,所以不难验证有下列运算规律:
(1)A+(B+C)=(A+B)+C;
(2)A+B=B+A;
(3)A+O=A.
其中A,B,C均为m×n的矩阵,而O为m×n的零矩阵.
矩阵

称为矩阵A的负矩阵,记为-A.显然有

2.2.2 矩阵的数乘
定义2.2.2 矩阵

称为矩阵A=(aij)m×n与数k的数量乘积,简称矩阵的数乘,记为kA.
不难验证,矩阵的数乘适合以下的规律:
(1)(k+l)A=kA+lA;
(2)k(A+B)=kA+kB;
(3)k(lA)=(kl)A;
(4)k(AB)=(kA)B=A(kB).
2.2.3 矩阵的乘法
定义2.2.3 设矩阵A=(aij)m×s,B=(bij)s×n,规定A与B的乘积为一个m×n的矩阵C=(cij)m×n,其中
记为C=AB.同时称A为左乘矩阵,B为右乘矩阵.
由矩阵乘法的定义可得如下结论:
(1)左乘矩阵A的列数要等于右乘矩阵B的行数,乘法AB才有意义.
(2)矩阵C的行数等于左乘矩阵A的行数,C的列数等于右乘矩阵B的列数.
(3)乘积矩阵的元素cij等于左矩阵的第i行和右矩阵第j列的对应元素的乘积之和.

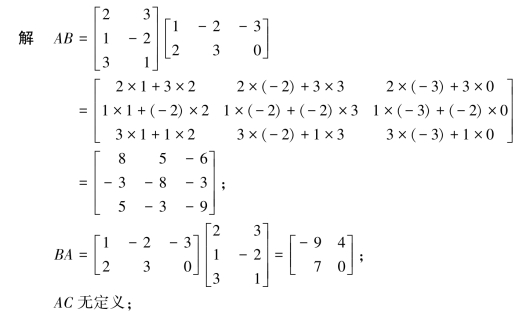
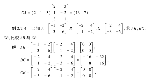
AC,CA.


显然AB=CB,但A≠C.
从例2.2.3与例2.2.4可以看出,矩阵乘法不满足交换律,也不满足消去律.即若AB=O不能必然推出A=O或B=O.

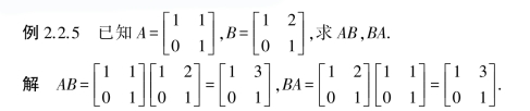
定义2.2.4 若矩阵A与B相乘,满足AB=BA,则称A与B可交换.从可交换定义可推出结论:可交换的矩阵必为同阶方阵.
设A=(aij)m×n,B=(bij)s×t,且可交换.则据可交换定义和矩阵乘法定义的推出结论有(AB)m×t=(BA)s×n,因此

故m=n=s=t,即A与B为同阶方阵.
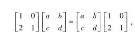
例2.2.6 设
试求所有与A可交换的矩阵.
解 假设矩阵B与A可交换,则B为二阶矩阵,可令
于是由AB=BA,即

可得

其中a,c为任意值.
矩阵乘法和数与矩阵乘法满足下列运算规律(设运算可以进行,λ为常数):
(1)(AB)C=A(BC);
(2)A(B+C)=AB+AC,(B+C)A=BA+CA;
(3)λ(AB)=(λA)B=A(λB).
2.2.4 矩阵的转置
定义2.2.5 将一个m×n矩阵

的行和列互换(行变成列,列变成行),得到一个n×m矩阵

此矩阵称为矩阵A的转置矩阵,记为AT.
容易验证,矩阵的转置满足如下规律:
(1)(AT)T=A;
(2)(A+B)T=AT+BT;
(3)(kA)T=kAT(k是一个常数);
(4)(AB)T=BTAT.
其中,规律(4)可以推广到多个矩阵的情况,即

下面介绍与矩阵的转置相关的两类重要的矩阵.
定义2.2.6 设

是一个n阶方阵.如果AT=A,即
aij=aji(i,j=1,2,…,n)
则称A为对称矩阵;如果AT=-A,即
aij=-aji(i,j=1,2,…,n)
则称A为反对称矩阵.

容易得到,反对称矩阵的主对角线元素全为零.
2.2.5 方阵的行列式
对于n阶方阵A=(aij)n×n,由它的元素按原有排列形式构成的行列式称为方阵A的行列式,记为A或detA.
方阵的行列式满足如下的运算规律:

其中,A,B均为n阶方阵,k是一个常数.
例2.2.7 n阶方阵A=(aij)n×n的行列式
的元素aij的代数余子式Aij(i,j=1,2,…,n)构成矩阵

称为方阵A的伴随矩阵.试证明:

所以

类似可以证得A∗A=AE,故AA∗=A∗A=A E.
(2)由(1)的结论和矩阵乘积的行列式定理有

§2.3 矩阵的初等变换
2.3.1 初等变换
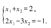
引例2.3.1 求解的方程组:
解 对应的系数矩阵的变化
消元法消去第二个方程的x1得:

消元法第二个方程x2的系数化为1得:

消元法消去第一个方程的x2得:

消元法求解方程组的过程,对应于由各个系数组成的矩阵变化,有以下两种变换:
(1)某一行减去另外一行的n倍;
(2)某一行乘以一个常数.
当然,交换两个方程的位置,对应系数矩阵交换两行,也不影响方程组的解.
定义2.3.1 设矩阵A=(aij)m×n,则以下三种行(列)的变换:
(1)A的某两行(列)元素对换:

(2)用一个非零数k乘以A的某一行(列)的元素;
(3)A的某行(列)元素的k倍对应加到另一行(列);
称为矩阵的初等行(列)变换.一般地,将矩阵的初等行、列的变换统称为矩阵的初等变换.
一般地,形如

的矩阵,称为行阶梯型矩阵,其特点为:每个阶梯只有一行;元素不为零的行(非零行)的第一个非零元素的列标随着行标的增大而严格增大(列标一定小于行标);元素全为零的行(如果有的话)必在矩阵非零行的下面几行.
例如

均为阶梯型矩阵.
在阶梯型矩阵中,若非零行的第一个非零元素全为1,且非零行的第一个元素1所在的列的其余元素全为零,如

则称该矩阵为行最简型.
2.3.2 矩阵秩的定义
定义2.3.2 在一个m×n矩阵中,任取k行k列(k≤m,k≤n)相交处的k2个元素,不改变它们在A中所处的位置,构成的k阶行列式称为矩阵k阶子式.
例如,对于矩阵

取1、2行和2、4列相交处的元素构成一个2阶子式,记为

若选第1、2、3行和第1、2、4列,则可得到一个3阶子式

定义2.3.3 一个矩阵A中不等于0的最高阶子式的阶数称为矩阵A的秩,记作r(A),或R(A).
对于m×n矩阵,显然R(A)≤min{m,n}.零矩阵的秩等于零.
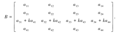
例2.3.1 求矩阵

的秩.
解 矩阵A只有一个4阶子式,且显然为零.而在3阶子式中有

不等于零的子式的最高阶数是3,所以按定义,R(A)=3.
进一步可看到,在一个矩阵中,当所有k阶子式为零时,根据展开定理,可推知任何高于子式也必然为零.因此,定义2.3.3可改述如下:
若矩阵A中至少有一个r阶子式不为零,且所有r+1阶子式都为零,则矩阵A秩就是r.
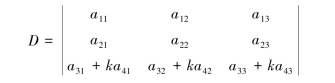
例如,在


中,2阶子式=-1≠0,而所有3阶子式全为零,因此矩阵A的秩等于2.
例2.3.2 设矩阵

的秩分别为s和t,则m×n矩阵

的秩r满足不等式:
max(s,t)≤r≤s+t.
证 首先C的秩r不可能比s、t中任何一个小,否则C中任何s阶、t阶子式都要为零.这与R(A)=s,R(A)=t矛盾.于是max(s,t)≤r.
下面证明r≤s+t.对C中任何s+t+1阶子式D,运用展开定理把D按其所含的矩阵A的列展开.这时,若D所含矩阵A的列数大于s,则在展开式中A的子式都是零,因此D=0.若D所含的矩阵B的列数就大于t,因此展开式中矩阵B的子式都是零,因此仍有D=0.
定义2.3.4 设A为n阶方阵,若A≠0,即矩阵的秩为n,则称A为非奇异矩阵,或称A为满秩的(非退化矩阵);若A=0,即矩阵的秩小于n,则称A为奇异矩阵,或称A为降秩的(退化矩阵).
2.3.3 利用初等变换求矩阵的秩
从上面可以看到,求矩阵的秩需要计算一些子式,当矩阵的阶数较高时,计算量较大.下面介绍一种简便方法,即通过矩阵的初等变换,将矩阵简化来判定矩阵的秩.如果能简化成一种形如阶梯的矩阵

其中,a1,a2,…,ar都不为零,∗代表可能不为零的数,其他都是零,则容易看出,矩阵A的秩即为r.例如矩阵

的秩就等于3,因为它任何4阶子式都有一行元素为零,即所有4阶子式全为零,而明显有一个3阶子式不等于零.
定义2.3.5 对矩阵A施行下列变换:
(1)互换矩阵A中的任意两行(列);
(2)用一个不等于零的数乘矩阵A中的某一行(列)中所有元素;
(3)用一个数乘矩阵A中的某一行(列)中的所有元素,再加到另一行(列)的对应元素上去.
这三种变换分别称为对换、倍乘、倍加,统称为矩阵A的初等变换.若变换只对矩阵的行进行,则称为行初等变换;若变换只对矩阵的列进行,则称为列初等变换.
初等变换对矩阵的秩有什么影响呢?这是下面要讨论的问题.
定理2.3.1 初等变换不改变矩阵的秩.
证明略.
为便于理解,仅以4阶矩阵来说明倍加的情形.
设

以k乘第4行加到第3行上,得

现分析矩阵B中3阶子式D,不外乎下面3种情形:
(1)D不包含第3行,则D就是矩阵A中的3阶子式,因此D=0.
(2)D包含第4行,同时又包含第3行,由行列式性质,D与矩阵A中对应的3阶子式相等,因此D=0.
(3)D包含第3行,但不包含第4行,如

得

因此,矩阵B中的一切3阶子式全为零,所以R(B)≤R(A).
另一方面,矩阵A也可看成有矩阵B经初等变换(把第4行乘以-k加到第三行上)而得出,因此,也有R(A)≤R(B),从而R(A)=R(B).
例2.3.3 求矩阵

的秩.
解 把A的第一行分别乘以-3和-5,再分别加到第2行和第4行上,可得

再将第2行乘以-2加到第4行上,把第2行加到第3行上,可得

这就是阶梯型矩阵,易知R(A)=3.
如果对矩阵(2.3.1)进一步化简,把第2行加到第1行,可得

再将第3行加到第一行,把第3行乘以2加到第2行,得

对矩阵(2.3.2)施行列初等变换:把第2列乘以-1;再将第1、2、3列分别倍加到第4、5列上,把第4、5列的元素全部化为零.这样可得

一般说来,有如下定理及推论:
定理2.3.2 任意一个秩为r的矩阵A,经过若干次初等变换,可化为一最简型:

其中,对角线上1的个数恰为r个.这种矩阵称为标准型矩阵.
推论2.3.1 对满秩矩阵,可以经过若干次初等变换将它简化成单位矩阵.
例2.3.4 用初等变换把

化成单位矩阵.
解 对矩阵A进行初等变换:


所以矩阵的秩为R(A)=3,为标准型单位矩阵.
2.3.4 初等矩阵
定义2.3.6 由n阶单位矩阵En经过一次初等行(或列)变换得到的矩阵称为初等矩阵.
对应于三种初等变换,可以得到三种初等矩阵:
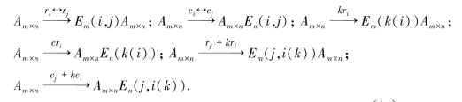
(1)对换单位阵的i,j两行(或两列)而得到的初等矩阵记为En(i,j),常常也简记为E(i,j).这种矩阵形如:

(2)用一个非零数k乘以A的第i行(或第i列)的元素得到的初等矩阵,记为E(i(k)).
(3)将矩阵A的第i行(或第j列)元素的k倍对应加到第j行(或第i列)得到的初等矩阵,记为E(j,i(k)).
因为初等矩阵都是由单位矩阵经过一次初等变换得到的,依据行列式的性质知道初等矩阵的行列式值不为零,故它们都可逆.初等矩阵的逆矩阵也是初等矩阵.
容易验证,它们的逆矩阵为:

2.3.5 初等变换与初等矩阵的关系
定理2.3.3 设A=(aij)m×n,则对A施行一次初等行变换,相当于用一个m阶的同类型初等矩阵(单位矩阵经相同初等变换而得到的初等矩阵)左乘矩阵A;对A施行一次初等列变换,相当于用一个n阶的同类型初等矩阵右乘矩阵A:


即乘积的结果等同于直接把A的i,j两行进行对换;

即乘积的结果等同于直接把A的i行元素乘以k倍;

即乘积的结果等同于直接把A的i行元素的k倍对应加到第j行.关于右乘关系的相关结论可以类似证得.
§2.4 可逆矩阵
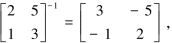
数的乘法存在着逆运算——除法,当数a≠0时,

=a
-1逆运算是a
-1a=1,这使得一元线性方程ax=b的求解变得简单:方程两边同时乘以a
-1,得到解
定义2.4.1 对于n阶矩阵A,若存在着一个同阶矩阵B使得
AB=BA=E
那么称矩阵A可逆,矩阵B为矩阵A的逆矩阵.将A的逆矩阵记为A-1.
可以验证:若矩阵A可逆,则A的逆矩阵是唯一的.假设B1,B2均为可逆矩阵A的逆矩阵,由定义2.4.1有:
AB1=B1A=E,AB2=B2A=E,
则B1=B1E=B1(AB2)=(B1A)B2=EB2=B2.
所以一个矩阵如果可逆,那么它的逆矩阵是唯一的.
注意,在定义中,A,B的地位是对等的,因此B也可逆,且B-1=A(就是(A-1)-1=A),即是说A与B互为逆矩阵.
定理2.4.1 若两个同阶方阵A与B的乘积有AB=E,则A与B就互逆.
证 若A与B是同阶方阵且AB=E,根据方阵乘积的行列式的运算规律有所以A与B均可逆.

将AB=E两边同时左乘A就得A=B,同时右乘B就得B=A,即A与B互为逆矩阵.
然而,什么样的矩阵才是可逆的呢?如果一个矩阵可逆,又如何由它求到它的逆矩阵呢?下面的定理解答了这一疑惑.
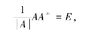
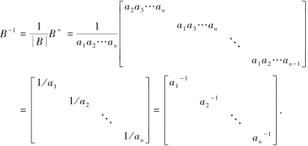
定理2.4.2 n阶方阵A可逆的充分必要条件为A≠0(非奇异矩阵),且

其中,A∗为A的伴随矩阵.
证 由伴随矩阵的定义有

故当且仅当A≠0,即A是非奇异矩阵时,等式两边可乘

得到

所以根据矩阵乘法的性质规律有

于是

定理2.4.2给出了矩阵可逆的判断依据和求逆的方法,此方法称为伴随矩阵求逆法.以此为基础,还可以推出一些有用的求逆矩阵的结论,如下面例子中的结论就具有普适性.


A12=-2,A13=0,A21=9,A22=-3,A23=2,A31=-1,A32=0,A33=-1,
所以


(对于二阶矩阵,当其可逆时,利用伴随矩阵法得出的结论中,注意到A∗与A的元素的关系,就可直接写出A∗.)

所以

可逆矩阵有以下性质:
(1)若方阵A可逆,则
(2)若方阵A可逆,数λ≠0,则λA可逆且(λA)
(3)若方阵A可逆,则AT也可逆且(AT)-1=(A-1)T;
(4)若方阵A可逆,且AB=AC,则B=C;
(5)若A,B为同阶方阵且均可逆,则AB也可逆且(AB)-1=B-1A-1.证 (1)若方阵A可逆,则AA-1=E,所以

,即

(2)若n阶方阵A可逆,则|A|≠0;又有数λ≠0,所以|λA|=λnA≠0,则λA可逆,又(λA)
据逆矩阵的定义有(λA)
(3)因为AT(A-1)T=(A-1A)T=E,(A-1)TAT=(AA-1)T=E,所以
(AT)-1=(A-1)T.
(4)若方阵A可逆,可将AB=AC两端同时左乘A-1得(A-1A)B=(A-1A)C,即B=C.
(5)若A与B为同阶可逆阵,则有(AB)(B-1A-1)=A(BB-1)A-1=AA-1=E.而AB,B-1A-1均为与A同阶的方阵,故(AB)-1=B-1A-1.
例2.4.3 设A为4阶矩阵

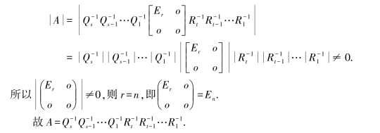
定理2.4.3 一个n阶方阵A可逆的充分必要条件是它的等价标准形为单位阵,且A可以表成一系列初等矩阵的乘积.
证 由初等变换与初等矩阵的关系可知,存在一系列初等矩阵Q1,Q2,…,Qs;R1,R2,…,Rt使得

所以

,且A可逆的充分必要条件是|A|≠0,于是

因为初等矩阵的乘积也是初等矩阵,故此定理得证.
若A为n阶可逆阵,则A-1也可逆.由定理2.4.3的结论知存在一系列初等矩阵G1,G2,…,Gk使得
A-1=G1G2…Gk
于是A-1A=G1G2…GkA=E.
又G1G2…GkE=G1G2…Gk=A-1,由初等矩阵与初等变换的关|系有

这揭示出求逆矩阵的又一种通用方法——初等变换求逆法.该方法之一是用n阶方阵A和一个同阶单位阵构造出一个n×2n的矩阵(AE),然后将矩阵(AE)始终进行初等行变换,直到子块A变换为单位阵时,则子块E就变换为A的逆矩阵A-1;若变换到某步骤时左边子块出现一行元素全为零,则可判断矩阵A不可逆.



故B不可逆,即B-1不存在.
利用初等变换求逆矩阵,也可将n阶方阵A和一个同阶单位阵构造成2n×n的矩阵
当然,根据初等变换与初等矩阵的关系可推知,这种形式只能进行列变换,即

当求逆方阵不是前边介绍的特殊形式的矩阵,且阶数又较大时,用伴随矩阵求逆法求解往往繁复且易出差错.这时利用初等变换求逆法就是行之有效的选择.
例2.4.6 用逆矩阵或初等变换解下列矩阵方程:

解 (1)由AX=A+2X,得

同时由二阶矩阵的逆可得

所以

§2.5 矩阵的分块
在矩阵的讨论或运算过程中,有时需要把一个矩阵分成若干个子块(子矩阵),这样能使原矩阵显得结构简单且明晰,便于分析和运算.
给出一个矩阵,可以根据需要把它写成不同的分块矩阵形式.对于分块后的矩阵,在运算时可以把子块当元素按矩阵的原有运算规则进行运算.为此,矩阵的分块在加法和乘法运算里应遵从不同的分块原则.
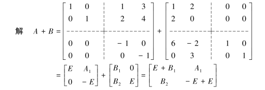
2.5.1 加法运算里的分块原则
相加矩阵的行、列的分块方式要一致,即行块、列块数对应相等,对应位置上的子块的行列数对应相等.

算A+B.


2.5.2 乘法运算里的分块原则
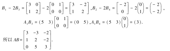
利用分块矩阵计算矩阵Am×n与Bn×s的乘积AB时,要使左乘矩阵A的列的分块与右乘矩阵B的行的分块一致,即A的列块数与B的行块数相等,A某列块的列数与B的对应行块的行数相等.并且要注意,子块相乘时A的各子块始终左乘B的对应子块.
例2.5.2 已知A

用分块矩阵计算AB.
解法一 AB=


同时有

解法二 AB=

故
从此例可以看出,不同的分块方法使得求解过程的繁杂程度不一样,一般应尽可能地将特殊的零子块和单位子块分出来,这样可以简化子块的求解.
形如A
的分块矩阵[其中Ai(i=1,2,…,s)均为方阵,可以不同型],称A为分块对角矩阵.
分块对角矩阵具有如下性质:
(1)
(2)若|Ai|≠0(i=1,2,…,s),则A可逆,且
