例1.1.2 当λ为何值时,行列式
的值为0?
解 因为
要使λ(λ-3)=0,须使λ=0或λ=3.
即知当λ=0或λ=3时,行列式
的值为0.
思考:当D的值不为0时,λ又该如何取值呢?
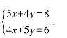
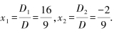
例1.1.3 求解二元线性方程组
解 由于系数行列式
,知该方程组有解.
再由于
即得方程组的解为
用这个式子表示线性方程组的解的形式比原来更为烦琐,但这创造了多元线性方程组的解的公式及其规律性的解法,为下一步学习矩阵知识做好了准备.
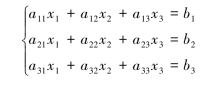
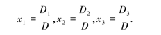
与二元一次方程组类似地,对于三元一次方程组

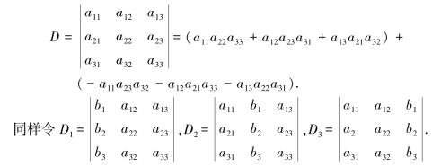
的解,引进记号

则当D≠0时,三元一次方程组的解可简洁地表示为

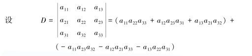
定义1.1.2 有9个数排成3行3列的数表

记

为三阶行列式.aij称为行列式的元素(简称元),其中i称为元素的行标,j称为列标.
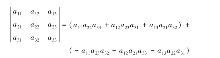
可见三阶行列式仍为一个数值,这个数值可按图1.1的对角线法则计算得到.

图1.1
从上图中可看出,三阶行列式是满足以下条件的6个项的代数和:从左上角到右下角的每条连线上,来自不同行不同列的三个元素的乘积,规定代数符号为正号;从右上角到左下角的每条连线上,来自不同行不同列的三个元素的乘积,规定代数符号为负号.

解 由于
须同时为0.
因此,当a=b=0时,
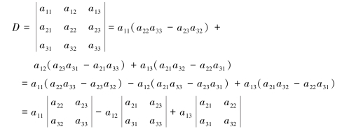
下面对三阶行列式进行整理,观察其与二阶行列式的关系.

上式右端6项两两合并,提取公因式后可得下式

由上述结果可见,一个三阶行列式可以表示为三个二阶行列式的代数和.推广二阶、三阶行列式的定义,可以得到一般的n阶行列式的定义.
为了给出n阶行列式的计算,我们先给出余子式和代数余子式的概念.
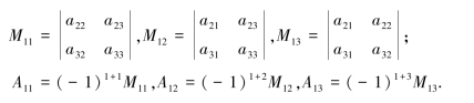
定义1.1.3 在n阶行列式D中划去元素aij(i,j=1,2,…,n)所在的第i行、第j列后,余下的元素按原来的次序构成的(n-1)阶行列式,称为元素aij的余子式,记为Mij;并称(-1)i+jMij为元素aij的代数余子式,记为Aij,即Aij=(-1)i+jMij.
如在三阶行列式
的余子式和代数余子式分别为

不难写出

由此可以用递推法定义n阶行列式的值:
定义1.1.4 当n=1时|a11|=a11(注意这里|a11|不是a11的绝对值),当n≥2时,n阶行列式

注:①通过定义1.1.4计算一个n(n>3)阶行列式,就要计算n个n-1阶行列式,而计算一个n-1阶行列式,就要计算n-1个n-2,……如此进行下去,最后计算一个n阶行列式,就要计算n(n-1)…4个三阶行列式,计算量相当大.
②四阶以上(包含四阶)的行列式的计算不再适用对角线法则.
③行列式D的左上角到右下角连线称为D的主对角线,主对角线上元素为a11,a22,…,ann.
为了简化计算,我们需要研究行列式具有的性质,为此先计算几个特殊的n阶行列式.
由行列式定义知道,如果行列式中第一行元素除a1j以外都为零,则有

此行列式称为下三角行列式,其特点是当i<j时aij=0(i,j=1,2…,n),即主对角线以上元素都为零,主对角线下方元素不全为零.
解 行列式的第一行除a11以外都为零,所以由定义得

A11是n-1阶下三角行列式,则继续由定义得

以此类推,可得
D=a11a22…ann
即下三角行列式等于主对角线上元素之积.
特别地,主对角行列式



特别地,副对角行列式


∗注:n阶行列式还可以有另外一种定义方式,可以证明这两种定义是等价的,而这种新的定义需要先定义全排列及其逆序数的概念.如下:
定义1.1.5 由n个数1,2,…,n组成的一个有序数组称为这n个元素的一个n阶全排列(简称n阶排列),记为i1i2…in或j1j2…jn.
n个不同元素的所有排列的种数,通常用Pn表示.如1,2,3的所有排列为P3=3·2·1=6.
同理Pn=n·(n-1)·…·3·2·1=n!.
按数字由小到大的自然顺序排列的n阶排列1,2,…,n称为标准排列.
定义1.1.6 在n个元素的任一排列中,当某两个元素的先后次序与标准次序不同时,则称这两个数构成一个逆序.在排列i1i2…in中所有逆序的总数称为这个排列的逆序数,记为τ(i1i2…in).
逆序数为奇数的排列称为奇排列,逆序数为偶数的排列称为偶排列.
例1.1.9 求排列3214的逆序数.
解 在排列3214中,3排在首位逆序数为0;2的前面比2大的数只有一个“3”,故逆序数为1;1的前面比1大的数有两个“3、2”,故逆序数为2;4是最大数,逆序数为0.
于是排列的逆序数为τ(3214)=0+1+2+0=3.
注:一般求逆序数都是从一侧(左侧或右侧)依次查找计算,也可按照自然顺序查找.
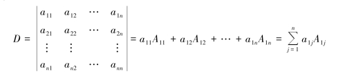
定义1.1.7 n阶行列式的定义:设有n2个数,排成n行n列的数表

作出表中位于不同行不同列的n个数的乘积,并冠以符号(-1)τ,得到形如
(-1)τa1j1a2j2…anjn (1.1.3)
的项,其中j1j2…jn为自然数1,2,…,n的一个排列,τ为这个排列的逆序数.这样的排列共有n!个,所有这n!项的代数和

称为n阶行列式,记作

简记作det(aij).数aij称为行列式的元素.
§1.2 行列式的性质
利用行列式的定义直接计算行列式一般很困难,行列式的阶数越高,困难越大.为了简化行列式的计算,下面来讨论行列式的性质.
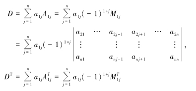
首先介绍一个重要定理.由上节n阶行列式的定义知,n阶行列式可表示为第一行的元素与起对应的代数余子式的乘积之和.事实上,行列式可由任意一行(列)的元素与其对应的代数余子式的乘积之和表示.
定理1.2.1 n阶行列式等于它的任意一行(列)各元素与其代数余子式的乘积之和,即
D=ai1Ai1+ai2Ai2+…+ainAin(i=1,2,…,n)
或
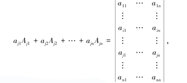
D=a1jA1j+a2jA2j+…+anjAnj(j=1,2,…,n).
证明略.
该定理又称为行列式按某行(列)展开定理,特别地:
推论1.2.1 如果行列式中第i行元素除aij外都为零,那么行列式等于aij与其对应的代数余子式的乘积,即
D=aijAij.
对于n阶行列式

若把D中每一行元素换成同序数的列的元素,得新行列式:

则行列式DT称为行列式D的转置行列式,有时也用D′表示D的转置行列式.
性质1.2.1 行列式与它的转置行列式相等.
证 用数学归纳法.

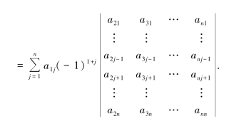
假设对n-1阶行列式结论成立.对于n阶行列式D和DT,分别按第一行和第一列展开,得


由于M1j和MT1j是n-1阶行列式,且MT1j是M1j的转置行列式,根据假设M1j=MT1j,于是D=DT.证毕.
例如,上三角行列式

由性质1.2.1得

性质1.2.1表明,行列式中的行与列具有同等的地位,行列式的性质凡是对行成立的对列也同样成立,反之亦然.
性质1.2.2 互换行列式的两行(列)的元素,行列式改变符号.
证 用数学归纳法.

假设对n-1阶行列式结论成立.对于n阶行列式

互换D中第l行和第s行的元素,得

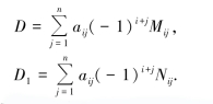
分别将D和D1按第i行展开(i≠s,l),得

其中,Mij和Nij分别是D和D1中元素aij的余子式,且Nij是由Mij互换两行得到的n-1阶行列式,由归纳假设,Mij=-Nij,因此D=-D1.
证毕.
通常以ri表示行列式的第i行,以ci表示行列式的第i列.交换i,j两行,记作ri↔rj,而交换i,j两列记作ci↔cj.
推论1.2.2 如果行列式有两行(列)完全相同,则此行列式为零.
证 把完全相同的两行(列)互换,有D=-D,故D=0.
性质1.2.3 行列式的某一行(列)中所有的元素都乘以同一数k,等于用数k乘此行列式,即

证 将左边行列式按第i行展开即得.
证毕.
第i行(或列)乘以k,记作kri(λci).
推论1.2.3 行列式中某一行(列)的所有元素的公因子可以提到行列式符号外面.
推论1.2.4 若行列式中有一行(列)的元素全为零,则行列式为零.推论1.2.5 若行列式中有两行(列)对应元素成比例,则行列式为零.
性质1.2.4 若行列式的某一行(列)的元素aij都可表示为两元素bij和cij之和,即aij=bij+cij(j=1,2,…,n,1≤i≤n),则该行列式可分解为相应的两个行列式之和,即

其中,D1为上式右边第一个行列式,D2为上式右边第二个行列式.
证毕.
性质1.2.5 把行列式的某一行(列)的各元素乘以同一常数加到另一行(列)对应的元素上,行列式的值不变,即上式右边第一个行列式为D,第二个行列式两行成比例,由推论1.2.3知行列式为零,因此右边等于D.

证毕.
性质1.2.6是简化行列式的基本方法,若用数k乘第j行(列)加到第i行(列)上,简记为ri+krj(ci+kcj).
由定理1.2.1和上述性质,可得以下定理:
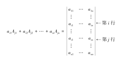
定理1.2.2 行列式任一行(列)的元素与另一行(列)的对应元素的代数余子式乘积之和等于零.即
ai1Aj1+ai2Aj2+…+ainAjn=0,i≠j,或a1iA1j+a2iA2j+…+aniAnj=0,i≠j.
证 把行列式D按第j行展开,有

在式中把ajk换成aik(k=1,…,n),可得

当i≠j时,上式右端行列式中有两行对应元素相同,故行列式为零,即得
ai1Aj1+ai2Aj2+…+ainAjn=0,(i≠j).
上述证法如按列进行,可得
a1iA1j+a2iA2j+…+aniAnj=0,(i≠j).
证毕.
综合定理1.2.1和定理1.2.2,关于代数余子式有如下重要结论:

或

其中

仿照定理1.2.2证明中所用的方法,将行列式D按第i行展开的展开式
D=ai1Ai1+ai2Ai2+…+ainAin
中,用b1,b2,…,bn依次代替ai1,ai2,…ain,可得

例1.2.1计算

解 保留a33,把第3行其余元素变为0,然后按第3行展开:

例1.2.2 设

求A11+A12+A13+A14及M11+M21+M31+M41的值.
解 A11+A12+A13+A14=1×A11+1×A12+1×A13+1×A14


§1.3 行列式的计算
利用行列式的性质,以及行列式按行按列展开定理,可以化简行列式的计算.
例1.3.1 计算行列式
解 这是一个阶数不高的数值行列式,通常将它化为上(下)三角行列式来计算.

解 这是一个阶数不高的数值行列式,某行(列)里面零元很多,此时可以考虑按行(列)展开,以达到降阶简化计算的目的.

例1.3.3 计算n阶行列式

解 按第一列展开,得:

这里Dn-1与Dn有相同的结构,但阶数是n-1的行列式.
现在利用递推关系式计算结果.对此,只需反复进行代换,得:Dn=x(xDn-2+an-1)+an=xDn-2+an-1x+an=x(xDn-3+an-2)+an-1x+an=…=xn-1D1+a2xn-2+…+an-2x2+an-1x+an.
因D1=|x+a1|=x+a1,故Dn=xn+a1xn-1+…+an-1x+an.
例1.3.4 计算
解 这个行列式主对角线元素比较复杂,而主对角线元素以外都是同一个元素,可以考虑使用加边法,加边之后的行列式与原行列式等值,容易计算.

解 观察行列式,有各行(列)4个数之和相等的特点.利用性质把第2、3、4列(行)同时加到第1列(行),提出公因子6,然后各行减去第1行,得


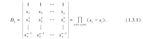
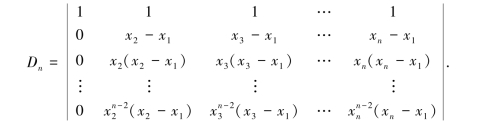
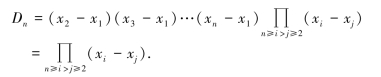
例1.3.6 证明范德蒙行列式:

其中,记号“∏”表示全体同类因子的乘积.
证 用数学归纳法.因为

所以当n=2时,式(1.3.1)成立.现在假设式(1.3.1)对于n-1阶范德蒙行列式成立,要证它对n阶范德蒙行列式也成立.
为此,设法把Dn降阶:从第n行开始,后行减去前行的x1倍,有

按第1列展开,并把每列的公因子(xi-x1)提出,就有

上式右端的行列式是n-1阶范德蒙行列式,按归纳法假设,它等于所有(xi-xj)因子的乘积,其中n≥i>j≥2.故

证毕.
例1.3.7 计算

解 按第1行展开,有

以此作为递推公式,即可得

§1.4 克莱姆法则
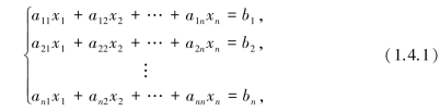
含有n个未知数x1,x2,…,xn的n个线性方程的方程组

与二、三元线性方程组相类似,它的解可以用n阶行列式表示,即有
克莱姆法则 如果线性方程组(1.4.1)的系数行列式不等于零,即

那么,方程组(1.4.1)有唯一解

其中,Dj(j=1,2,…,n)是把系数行列式D中第j列的元素用方程组右端的自由项代替后,所得到的n阶行列式,即

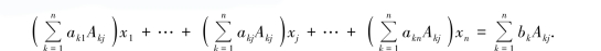
证 用D中第j列元素的代数余子式A1j,A2j,…,Anj依次乘方程组(1.4.1)的n个方程,再把它们相加,得

根据代数余子式的重要性质可知,式中xj的系数等于D,而其余xi(i≠j)的系数均为0,又等式右端即是Dj.于是
Dxj=Dj,(j=1,2,…,n). (1.4.3)
当D≠0时,方程组(1.4.3)有唯一的一个解(1.4.2).
由于方程组(1.4.3)是由方程组(1.4.1)经乘数与相加两种运算而得,故方程组(1.4.1)的解一定是方程组(1.4.3)的解.今方程组(1.4.3)仅有一个解(1.4.2),故方程组(1.4.1)如果有解,就只能是解(1.4.2).
为证明解(1.4.2)是方程组(1.4.1)的唯一解,还需验证解(1.4.2)是方程组(1.4.1)的解,也就是要证明

为此,考虑有两行相同的n+1阶行列式

的值为0.把它按第1行展开,由于第1行中aij的代数余子式为

证毕.
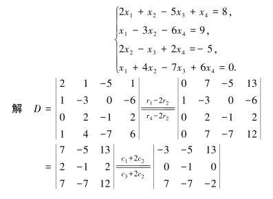
例1.4.1 解线性方程组:


于是得x1=3,x2=-4,x3=-1,x4=1.
克莱姆法则有重大的理论价值,撇开求解公式(1.4.2),克莱姆法则可叙述为以下两个重要定理.
定理1.4.1 如果线性方程组(1.4.1)的系数行列式D≠0,则该方程组一定有解,且解是唯一的.
其逆否定理为:
定理1.4.1′ 如果线性方程组(1.4.1)无解或有两个不同的解,则它的系数行列式必为零.
线性方程组(1.4.1)右端的自由项b1,b2,…,bn不全为零时,该线性方程组叫做非齐次方程组;当b1,b2,…,bn全为零时,该线性方程组叫做齐次方程组.
对于齐次线性方程组

x1=x2=…=xn=0一定是它的解,这个解叫做齐次方程组(1.4.4)的零解.如果一组不全为零的数是齐次方程组(1.4.4)的解,则它叫做该齐次方程组的非零解.齐次方程组(1.4.4)一定有零解,但不一定有非零解.把定理1.4.1和定理1.4.1′应用于齐次方程组(1.4.4),可得
定理1.4.2 如果齐次方程组(1.4.4)的系数行列式D≠0,则该齐次方程组没有非零解.
定理1.4.2′ 如果齐次方程组(1.4.4)有非零解,则它的系数行列式必为零.
定理1.4.2(或定理1.4.2′)说明系数行列式D=0是齐次方程组非零解的必要条件.在第3章中还将证明这个条件也是充分的.
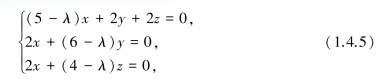
例1.4.2 问λ取何值时,齐次方程组

有非零解?
解 由定理1.4.2′可知,若齐次方程组(1.4.5)有非零解,则其系数行列式D=0.而

由D=0,得λ=2,λ=5或λ=8.
不难验证,当λ=2、5或8时,齐次方程组(1.4.5)确有非零解.