1.6.1 §4.1 线性方程组解的判别
§4.1 线性方程组解的判别

我们先看下面几个具体的线性方程组的解的情况,再讨论一般情况.

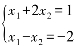
方程组

有唯一解,由克莱姆法则:方程组的系数行列式不等于零.

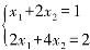
方程组

中的两个方程实际上是等价的,令x1=1,则x2=0;令x1=0,则