8.2 典型例题
【例题1】 一固体有两个吸收带,宽度都是30nm。一带处在蓝光区(450nm附近),另一带处在黄色区(450nm附近)。设第一带的吸收系数为50cm-1,第二带的吸收系数为250cm-1。试描绘出白光分别透过0.1mm及5mm的该物质后在吸收带附近的光强分布情况。
解:根据朗伯定律

白光透过0.1mm的该物质后在吸收带附近的光强分布为

白光透过5mm的该物质后在吸收带附近的光强分布为

【例题2】 某种介质的吸收系数αa为0.32cm-1,求透射光强为入射光强的0.1、0.2、0.5及0.8时,该介质的厚度各为多少?
解:根据朗伯定律I=I0e-αad得

当
当
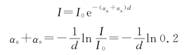
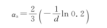
【例题3】 如果同时考虑吸收和散射,它们都将使透射光强度减弱,则透射光表达式中的α可看作是由两部分合成的:一部分是αa,表示真正的吸收(变为物质分子运动);另一部分是αs,称为散射系数,于是该式可写为I=I0e-(αa+αs)d。如果光通过一定厚度的某种物质后,只有20%的光强通过,已知该物质的散射系数等于吸收系数的
,假定不考虑散射,则透射光强可增加多少?
解:根据朗伯定律

又根据
得

所以,不考虑散射时

光强增加的百分比为

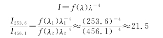
【例题4】 计算波长为253.6nm和456.1nm的两条谱线瑞利散射的强度之比。
解:瑞利散射的散射强度为

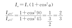
【例题5】 太阳光束由小孔射入暗室,室内的人沿着与光束垂直及与之成45°的方向观察这束光时,见到的瑞利散射的散射强度之比为多少?
解:散射光的强度为

【例题6】 一束光通过液体,用尼科耳棱镜正对这束光进行观察。当尼科耳棱镜的主截面竖直时,光强达最大值;当尼科耳棱镜的主截面水平时,光强为零。再从侧面观察其散射光,在尼科耳棱镜的主截面为竖直和水平两个位置时,光强之比为20∶1,计算散射光的退偏振度。
解:从侧面观察其散射光为部分偏振光,其偏振度为

散射光的退偏振度
Δ=(1-P)×100%=(1-19)×100%≈9.5%21
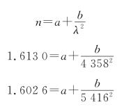
【例题7】 一种光学玻璃对于波长为435.8nm和546.1nm的光的折射率分别为1.613 0和1.602 6,试应用柯西公式和塞耳迈尔公式来计算这种玻璃对波长为600nm的光的色散
解:根据柯西公式

可以解得b=560 283,则

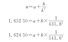
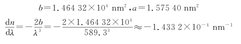
【例题8】 一种光学玻璃对汞蓝光(435.8nm)和汞绿光(546.1nm)的折射率分别为1.625 50和1.624 50。求柯西公式计算公式中的常量a和b,并求它对589nm钠黄光的折射率和色散
解:根据柯西公式

两式相减得

可以解出

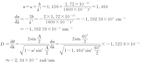
【例题9】 一个顶角为60°的棱镜由某种玻璃制成,它的色散特性可用柯西公式中的常量a=1.416cm2,b=1.72×10-10 cm2来表示。将棱镜的位置放置得使它对600nm的波长产生最小偏向角。计算这个棱镜的角色散率为多少?
解:根据柯西公式

【例题10】 波长为0.67nm的X射线,由真空入射到某种玻璃时,在掠射角不超过0.1°的条件下发生全反射,计算玻璃对这个波长的折射率,并解释所得的结果。
解:根据折射定律

其中n1=1,i2=90°,i1=90°-0.1°=89.9°,故
