8.1 知识要点
1.线性吸收定律
当光强不是很大时,光透过一定厚度的介质时被吸收的光强与吸收体的厚度成正比,这就是线性吸收定律。
布拉尔定律(或朗伯定律):I=I0e-ax,α为吸收系数。
比尔定律:I=I0e-ACx,即溶液中光强的传播关系,A为与溶质有关的常数,C为溶液的浓度。
2.吸收介质中光波的表示
光在电介质中传播时:
①n为实数时,振动没有衰减,光波的表达式为

②考虑介质吸收时,n写成复数形式:
=n(1+iκ)。光波的表达式为

光强的表达式为

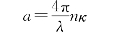
吸收系数为

复折射率
=n(1+iκ)的虚部nκ反映了光波被介质吸收而导致的振幅和强度的衰减。
3.吸收系数与吸收波长的关系
光吸收的两种类型:
①普遍吸收:物质的吸收系数几乎与波长无关。
②选择吸收:介质的吸收系数与光的波长有关,对某些波长的光的吸收特别强烈。
被吸收的光的波长与能级差ΔE之间的关系为
4.色散现象
白色光透过玻璃棱镜之后,不同颜色的光会以不同的角度射出,从而在空间散开了,这种现象称为光的色散,如图8-1所示。
光色散现象的原因:不同波长的光具有不同的折射率,即n=n(λ)。

图8-1 光的色散现象
5.色散规律
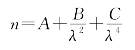
①根据实验总结出的色散规律可以用公式表示,这就是柯西公式

A、B、C是和介质有关的常数,由实验测定。在波长范围不是很大的时候,可以取
②色散率
表示折射率随波长变化的幅度,根据柯西公式可得

③反常色散:正常情况下,介质的折射率与波长的关系满足柯西公式,但是,实验结果表明,物质存在一个吸收带,在某一波长范围内,光由于被介质强烈吸收而不能通过介质,所以无法测量这一波长范围内介质的折射率,光的色散在这一区域不遵循柯西公式,这种现象称为反常色散。
6.散射现象
光的散射是指光通过不均匀介质时,一部分光偏离原方向传播的现象。
根据不均匀介质的性质,散射可以分为两大类。
①悬浮质点的散射:质点均匀分布或悬浮在介质中引起的散射,如溶液中的胶体、空气中悬浮的尘埃等引起的散性。
②分子散射:虽然介质是均匀的,但是由于分子的热运动,会在其中产生密度的起伏,从而产生散射。
瑞利散射:当散射体的尺寸小于波长时,入射光中不同的波长成分有不同的散射,散射光强与入射光波长的4次方成反比,即I∝λ-4,这样的散射称为瑞利散射。
米-德拜散射:当散射体颗粒度大于波长时,散射光强对波长的依赖程度不强,各个成分的散射光强差别程度不大,这样的散射称为米-德拜散射。
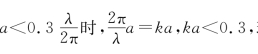
散射光强与波长以及散射物大小的关系可用图8-2表示,图中a为散射物体的线度。

图8-2 散射光强与波长及散射物大小的关系
当
瑞利散射。
当
米-德拜散射。
7.非线性电极化效应
当光强不是很大时,光与介质之间的相互作用是线性的,介质的极化强度与入射光的电场分量是线性关系

当光强较大时,光与介质之间的相互作用是非线性的,介质的极化强度与入射场之间为非线性关系
P=ε0[χ(1)E+χ(2)EE+χ(3)EEE+χ(4)EEEE+…]=P(1)+P(2)+P(3)+P(4)+…
其中,P(1)、P(2)、P(3)、P(4)、…分别代表电极化强度矢量与光波场的电场强度矢量成线性关系的分量、成二次幂关系的分量、成三次幂关系的分量…;χ(1)、χ(2)、χ(3)、χ(4)、…为介质的线性电极化率、非线性的二次电极化率、非线性的三次电极化率…。