6.4 习题解答
1.解:依题意,经过滤波后,竖着的条纹消失,镜面上只剩下横纹。因此,根据阿贝成像原理,应该在频谱面上放置一个滤波器,只让中央一列垂直方向的频谱分量通过,即要求该滤波器能遮掉中央一纵列以外的衍射斑即可。
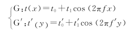
2.解:如图6-10(a)所示,正交网格相当于两块黑白光栅的正交密接,屏函数是两者相乘

其中

式中G1、G2是宽度分别为a1、a2的方垒函数。在傅里叶频谱面上,其中

强度为

衍射图样如图6-10(b)所示,是正交的二维点阵,衍射斑在x′和y′方向的间隔分别与d1和d2成反比。
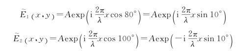
3.解:单色平面波在xy平面上的复振幅分布的空间频率为

因此,xy平面上的复振幅分布为

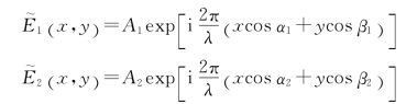
4.解:两列波波矢量的方向余弦分别为

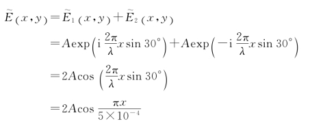
因此两列波在xy平面上的复振幅分布为

在xy平面上的合复振幅为

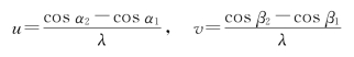
可见,合复振幅在x方向变换的空间周期为dx=2×5×10-4 mm=10-3 mm。于是,合复振幅分布的空间频率u=1/dx=103 mm-1。
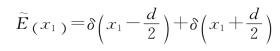
5.解:设两波的波长为λ,则两列波在xOy平面上的复振幅分布可以表示为

因此,两列波在xOy平面上发生干涉的强度为

这一强度分布具有空间周期性,在x方向和y方向的空间周期(也是在两个方向上的条纹间距,如图6-16所示)分别为

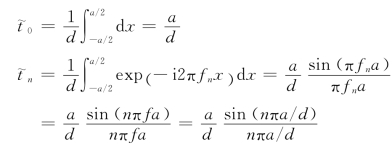
因此,在x、y两个方向上的空间频率为


图6-16 习题5示意图
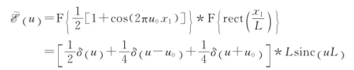
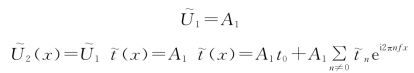
6.解:设单色平面波的振幅为1,则光栅面上的复振幅分布为

光栅的夫琅禾费衍射图样的光强分布可由
x()1的傅里叶变换求出

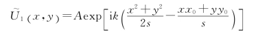
或写成

利用傅里叶变换的卷积定理,有

卷积服从分配律,所以

由δ函数的卷积性质

得到

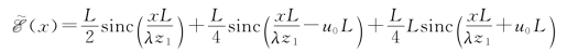
以衍射场的坐标x表示

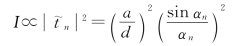
上式的平方就是衍射场的光强分布。如果光栅宽度L比光栅周期1/u0大得多,则上式中的3个辛格函数之间的重叠可以忽略,于是

当L→∞时,辛格函数化为δ函数,3个衍射条纹的宽度趋于零。
7.解:狭缝宽度极小,狭缝的透射系数可用δ函数表示。设两狭缝沿y1方向,位置分布为x1=±
,则平面波透过两狭缝后的复振幅分布(加上平面波的振幅为1)为

两狭缝的夫琅禾费衍射的光强分布可由
x()1的傅里叶变换求出

利用傅里叶变换的相移定理,上式可写为

以衍射场的坐标表示

其平方则为光强分布

显然,这就是杨氏干涉的光强分布。
8.解:透镜后焦面的复振幅分布就是小圆屏平面复振幅分布的傅里叶变换。小圆屏平面的复振幅分布为因此透镜后焦面上的复振幅分布为


强度分布(弃去方括号前常量)

可见,除r=0点外,后焦面上的强度分布与半径为a的小圆孔的夫琅禾费衍射的强度分布相同。
9.解:两列波波矢量的方向余弦分别为

因此,两列波在xy平面上的复振幅分别为

①xy平面上的合复振幅为

因此,沿x方向的空间频率为
沿y方向的空间频率为v=0。
②xy平面上的强度分布为

可见,此强度分布沿y方向的空间频率为零,而沿x方向的空间频率为u=870mm-1。
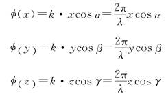
10.解:设平面波的振幅大小为A,则沿r方向的相位分布为

其复振幅为

沿x、y、z轴方向的相位分布分别为

空间频率分布为

11.解:对于正入射的平面波
(常数),故

从相因子看,这是会聚到透镜后距离为F处的球面波,以上正是几何光学所预期的。
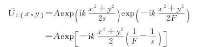
12.解:如图6-17所示,设想在透镜前距离为s处有一发光物点O,它发出的球面波在透镜上造成的波前为

故从透镜输出的波前为

从相因子看,这是会聚的球面波,会聚中心(像点)O′在透镜后,距离为

这正是几何光学给出的透镜物像距公式。

图6-17 习题12示意图
13.解:正入射时
=A1,合成透过率是和相乘,故

在上式的推导过程中用了三角函数的积化和差公式。上式5项中除第一项是常数以外,其余4项分别与不同频率的正弦光栅相当,它们共产生9列平面衍射波,其方向角分别为

14.解:此时透过率函数应写为

正入射时
故

除第一项外,其余的每项相当于一块特定频率的正弦光栅,产生一对平面波,后场共有9列平面衍射波,它们的方向角分别为

15.解:由于衍射系统是相干光学系统,复振幅满足线性迭加关系,所以这张图片可以看作是两张独立的正弦光栅之和,它们各自有3列平面衍射波,因0级是重合在一起的,故后场总共有5列平面衍射波,方向角分别为

16.解:设光栅常数为d,宽为a,则

得傅里叶系数为

17.解:当平行光正入射时

由相因子可以得知,n级平面衍射波的方向角为
sinθn=nfλ=nλ/d
这就是光栅公式。n级主极强的振幅正比于
,光强正比于
可以写成

这里αn=πasin(θn/λ),上式正是我们熟悉的单缝衍射因子,由于在上面的计算中未考虑光栅的有限尺寸D,故我们得到的是严格的离散谱。若计及有限尺寸,每个频斑的振幅正比于D,但有一半角宽度Δθ=λ/(Dcosθ),当D≫d时,Δθ远小于相邻频斑的间隔,这时衍射谱仍可近似地看作是分立的,或者说它是准离散谱。
18.解:相邻衍射斑的角间隔为Δθ≈λ/d,线距离为Δl≈ΔθF,所以焦距为

6级衍射斑的衍射角为

由于物平面在前焦面附近,要使6倍频信息进入透镜,其直径D应满足

19.解:平行光沿光轴入射,入射波在透镜主平面处的复振幅为
=Aeiφ1,利用屏函数,可得到透射波的复振幅为

这是会聚到透镜后F处的球面波,可见F为透镜焦距,相位的常数部分不起作用,所以可以略去不写。
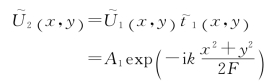
20.解:设入射波的光源在透镜前的s处,则透镜主平面的入射场为

则衍射波为

即为会聚到
处的球面波,会聚点到透镜主平面的距离为

物点和会聚点的关系也可以表示为

这就是透镜成像的高斯公式,当s=F时,球面波经过透镜后变为平面波。
21.解:设发光的物点位于(-x0,-y0,-s)处,则在透镜的主平面处,入射场为

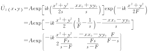
则衍射波为

可以判断出,经透镜后,光波是向轴外会聚的球面波,会聚点为

即像距为
横向放大率为
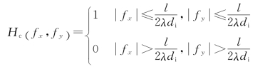
22.解:设相干成像系统的出射光瞳为边长为l的正方形,则光瞳函数为

于是得到相干传递函数

即

把Hc取值开始为零时对应的频率称为截止频率。方形光瞳在fx和fy方向上的截止频率均为fx0=fy0=l/(2λdi),其通频带如图6-18(a)所示。显然,如图6-18(b)所示θ=45°方向上,其截止频率最大,是fx或fy方向的
倍,即

图6-18 习题22示意图
23.解:当光学成像系统的出射光瞳为直径等于l的圆孔时,其光瞳函数为圆域函数

则相干传递函数为

即

此时,截止频率fx0=l/(2λdi),如图6-19所示。

图6-19 习题23示意图
为了对截止频率fx0的大小有一数量级的概念,设光学系统圆形光瞳的直径为20mm,像距为d,为100nm,照明波长为632.8nm,则可求得fx0为168l mm-1。