6.2 典型例题
【例题1】 如图6-2所示,试用傅里叶变换方法,求出单色平面波以入射角i入射到光栅上时,光栅的夫琅禾费衍射图样的强度分布。

图6-2 例题1示意图
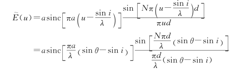
解:以角度i斜入射的单色平面波在光栅面(xy平面)上的复振幅为

通过光栅后变为

其中,a、d分别为缝宽和光栅常数。因此,傅里叶变换式为

根据卷积的性质,并考虑
上式变为

故夫琅禾费衍射图样的强度分布为

可见,与正入射的情况相比,差别只在于把正入射结果的“sinθ”换成“sinθ-sini”,这表示衍射图样整个发生了平移。
【例题2】 如图6-3所示,一个衍射屏具有圆对称的振幅透射函数t(r)=
①试说明这一衍射屏有类似透镜的性质。②给出此屏焦距的表达式。

图6-3 例题2示意图
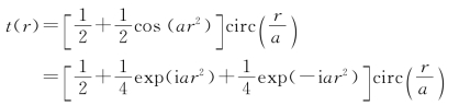
解:①设以单位振幅的单色平面波垂直照明该衍射屏,则透过衍射屏后的复振幅为

或用直角坐标系表示为

其中,第二个因子表示该屏是半径为a的圆孔;第一个因子的第一项的作用是使透射光的振幅衰减,而第二项和第三项均为指数项,与透镜位相变换因子e-i2kf(x2+y2)进行比较,形式相同,当用平面波垂直照射时,这两项的作用是分别产生会聚球面波和发散球面波。因此在成像性质和傅里叶变换性质上该衍射屏都有类似透镜的性质。
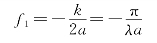
②将衍射屏振幅透射函数中的指数项与透镜位相变换因子进行比较,就得到等效的焦距。对
则有

因为a>0,故f1<0,其作用相当于一个发散的透镜。
同样,对
则

其作用相当于一个会聚的透镜。
最后讨论透射函数中的非指数项1/2,由于仅对透过的光波的振幅起衰减作用,因此把该项等效地看作f3=∞。
【例题3】 假定透过一个衍射物体的光场分布的最低空间频率是20nm-1,最高空间频率是200nm-1。采用单个透镜作为空间频率分析系统,要使最高频和最低频的一级分量在频谱平面上相距90nm,问透镜的焦距需要多大?设工作波长为500nm。
解:如图6-4所示,最高空间频率和最低空间频率的一级频谱分别为
因此


图6-4 例题3示意图
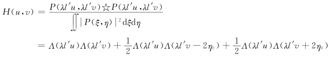
【例题4】 如图6-5所示,一个非相干成像系统的光瞳包含两个边长为1cm的正方形开孔,两个开孔中心的距离为3cm。试求这一光瞳的光学传递函数。若入射光的波长为500nm,光瞳面与像面的距离为10cm,在u方向和v方向的截止频率是多少?
解:题所给的光瞳的光瞳函数为
P(ξ,η)=rect(ξ)rect(η-η0)+rect(ξ)rect(η+η0)
由傅里叶变换的自相关定理得,光瞳函数的自相关函数的傅里叶变换为

图6-5 非相干成像系统的光瞳

因此

光学传递函数为

可见,系统包含3个通频区,如图6-6所示。因此,ξ方向的截止频率为

由
得η方向的截止频率为


图6-6 系统的3个通频区
【例题5】 如图6-7所示,利用阿贝成像原理证明,当物体受相干光倾斜照明时,显微镜的最小分辨距离可以达到
(提示:显微镜能够分辨周期为d的物体结构,至少其衍射的0级和1级谱进入显微镜物镜。)

图6-7 例题5示意图
证明:①先考虑垂直照射的情况。根据阿贝成像原理,周期为d的光栅在单色平面波的垂直照射下,在系统焦平面上得到0、±1(±u)、±2(±2u=±
)、…级谱。如果系统允许
00 0级和1级谱进入显微镜物镜,则可以形成周期为d的结构像,又因为系统的截止频率为
(其中,D和f分别为物镜的孔径和焦距),u=
,所以0

即显微镜能够分辨的最小周期为

从图得物镜孔径角满足关系

考虑物方空间的折射率为n,有

把式(2)和式(3)代入式(1)得

②下面考虑相干光倾斜照射的情况。相干光以θ角倾斜照射,使频谱沿u轴平移了
若显微镜能够分辨周期为d的物体结构,至少允许其衍射的0级和1级谱进入显微镜物镜,因此

所以

显然,最大倾斜角为

当以最大倾斜角入射时,由式(5)和式(6)得

因此

把式(2)和式(3)代入得

因此,以最大倾斜角入射时,显微镜能够分辨光栅的周期d的最小值可以达到

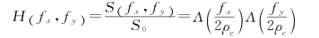
【例题6】 衍射受限非相干成像系统的光瞳为边长为l的正方形,求其光学传递函数。
解:此时的光瞳函数可表示为

显然光瞳的总面积S0=l2,当P (x,y)在x、y方向分别位移-λdifx、-λdify以后,得P (x+λdifx,y+λdify),从图6-8(a)中可以求出P (x,y)和P (x+λdifx,y+λdify)的重叠面积S (fx,fy)。由图可得

光学传递函数为

式中,ρc=1/(2λdi)是同一系统采用相干照明的截止频率。非相干系统沿fx和fy轴方向上的截止频率是2ρc=1/(λdi),如图6-8(b)所示。

图6-8 例题6示意图