6.1 知识要点
傅里叶变换光学以波动光学的原理为基础,利用傅里叶变换的方法来研究光的传播、干涉、衍射和成像等现象。
1.单色光波的复振幅分布与空间频率
(1)球面波和平面波的复振幅
在傍轴近似的条件下,球面波在xy平面上的复振幅如下。
①发散球面波为
其中
为发散球面波的二次相位因子。
②会聚球面波为
,其中
为会聚球面波的二次相位因子。
③特殊情况:当光源位于0点时,则发散球面波为
会聚球面波为
平面波的复振幅如下。
①任意一个方向传播的平面波复振幅表示为
②在xy平面上,其复振幅为
,其中,ei k(xcosα+ycosβ)为平面波的相位因子。
(2)平面波的空间频率
空间频率:空间呈正弦或余弦变化的物理量在其某一方向上单位距离所包含的空间周期数。
在某一方向上传播的平面波
情况一
若平面波为
=A·ei kxcosα,则:
①等相线:kxcosα=C。
②空间周期
③空间频率
情况二
若平面波为
则:
①等相线:k (xcosα+ycosβ)=C。
②空间频率
空间频率的意义:
①空间频率表示复振幅分布的周期性。
②空间频率(u,v)用于描述光波场xy平面上复振幅的一种基本周期分布,也对应着一个沿(cosα=λu,cosβ=λv)方向传播的平面波。
③光波场某一平面上的复振幅分布可以分解成许多不同的基本周期分布,则表明包含着许多不同的(u,v)成分,对应着许多不同方向(cosα,cosβ)传播的平面波。
④(u,v)也可以表示不同强度分布的空间周期性。
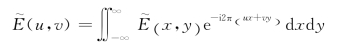
(3)复杂复频率按(u,v)的分解
类似于非周期波的分解,应用傅里叶分析方法,则
(x,y)可表示为

或表示为

(u,v)可表示为

或表示为

上式中的
(x,y)=F-1 {
(u,v)}和
(u,v)=F {
(x,y)}为傅里叶变换对。
对于傅里叶分析:
①单色光波场中(x,y)平面上的复振幅
(x,y)可看作不同方向传播的单色平面波的线性叠加,其平面波分量的传播方向与(u,v)相对应,其振幅及相对相位决定于频谱
(u,v)。
②可以在频率域中分析光波的各种现象,研究这些平面波分量的分布(频谱分布),其传播规律体现傅里叶光学的基本方法。
2.衍射理论中的傅里叶分析方法
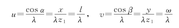
(1)夫琅禾费近似下焦面场与孔径场的傅里叶关系
焦面场上复振幅分布的分析方法:
①按照惠更斯原理,把衍射孔面上各点看作是发出球面次波的波源,然后求出各球面次波在透镜后焦面上的迭加结果,从而得到焦面场上的复振幅分布。
②采用傅里叶分析方法,也就是通过频率域中的分析来讨论衍射问题。
在空间域中,孔径的夫琅禾费衍射分布表示为

空间频率

注意

则可以得到

或表示为

通过以上分析可知:
①焦面场上的复振幅分布是孔径面上复振幅分布的傅里叶变换或空间频谱。
②焦面场是不同方向传播的平面波的一个频谱分布,焦面即为频谱面。
(2)从傅里叶分析方法的角度看夫琅禾费衍射现象
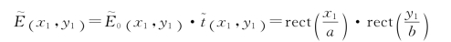
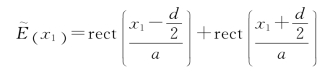
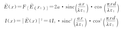
①矩孔和单缝衍射
对于单位振幅的入射平面光波,矩孔面上的复振幅分布为

空间频域分布为

强度分布为

单缝时有

其中频谱宽度
②双缝衍射
若孔径平面的复振幅分布为

则

(3)菲涅耳衍射的傅里叶变换表达式
在衍射场分布式中引入(u,v),则

可见,
(x,y)与z1有关,且在不同观察距离z1处,菲涅耳衍射图样不同。
3.透镜的傅里叶变换性质和成像性质
(1)透镜的透射系数
以会聚透镜对点光源成像为例,傍轴近似下,紧靠透镜前、后的光波的复振幅

略去常量相位因子,得透镜的振幅透射系数

式中
上式表明,透镜具有相位调制作用,类似相位型衍射屏。
(2)透镜的傅里叶变换性质
①衍射屏紧靠透镜前表面
透过透镜后的光场分布为

然后至后焦面上是一个菲涅耳衍射,于是

以上分析表明:后焦面上的光场分布是衍射屏面复振幅分布的一个傅里叶变换,后焦面上某点的振幅和相位取决于透过屏某一(u,v)分量的振幅和相位。
②衍射屏置于透镜前一定距离

显然,透镜后焦面上得到的也是衍射屏平面复振幅分布的傅里叶变换。
经以上讨论得出:
a.单色平面波正入射时,无论衍射屏置于透镜何处,在透镜后焦面上将得到其频谱,当d=f时,得到衍射屏和正确的傅里叶频谱。
b.当球面波照明时,物置于任何位置,透镜均起到傅里叶变换的作用,但其频谱面在点源像面位置上。
c.存在孔径大小的影响:孔径衍射效应使像质模糊;透镜是低通滤波器,存在渐晕现象。渐晕现象:透镜的口径总是有限的,它将限制物面某些空间频率的传播,这个现象称为渐晕现象。
(3)透镜的成像性质
①点物置于无穷远
透镜前的复振幅分布为
会聚于后焦点的球面波,后焦点即无穷远点物的像。
②物置透镜前有限距离远的轴外
透镜前的复振幅分布为
会聚在点物像面上的球面波。
4.相干成像系统分析和相干传递函数
(1)点物成像
①点扩散函数:单位复振幅或光强的点物经系统所产生的像斑的复振幅或光强分布,表示为h (x,y,x′,y′),表示系统孔径的衍射影响,或同时有像差和一切造成像点扩散的因素影响。线扩展函数是无数点的线状物体其点扩散函数的集合。
②成像系统的空间不变性:点扩散函数的形式不随场面上物点位置而变的系统;点扩散函数只取决于观察点与几何物点的相对位置。
(2)扩展物体的成像
对于线性空间不变系统,扩展物体的光场分布可以看成许多点物经系统形成的点扩散函数的线性组合。
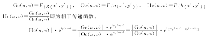
(3)相干传递函数(CTF)
二维物体的像

在频率域记

的模值,表示像与物中频率(u,v)分量的幅度变化。
的幅角,表示(u,v)分量的实际像与几何光学像之间的像移。
由此,频率域中的相干成像是所有频率分量经历幅值变化和相移后的线性叠加。
5.非相干成像系统分析及光学传递函数
①非相干成像线性空不变系统中:系统对光强分布呈线性;输入光强分布可分解为许多不同频率的强度的基本周期分布。
衍射受限系统在空间域,像的强度分布是物的强度分布与点扩散函数的卷积。
非相干成像系统的传递函数
②光学传递函数(OTF)为

一般情况下,
——对比传递函数(MTF),表示物像分布中同一(u,v)分量对比度的变化。φ(u,v)——相位传递函数(PTF),表示物像分布中同一(u,v)分量的相移。
6.阿贝成像原理和空间滤波
(1)阿贝成像原理
阿贝成像原理是相干光照明的光学透镜成像,是由二次衍射形成的,光学像则是干涉条纹的叠加,如图6-1所示。
①物是周期为d的矩形光栅,频谱面上形成各级谱。

图6-1 阿贝成像原理
②基频的空间频率与光栅同为
,各级谱对应在sinθ=n·
处。
③参与成像的频率成分决定像的可分辨程度。孔径能传递0、1级谱是“可分辨”像的条件,即
(相干照明时最小可分辨距离)。
(2)空间滤波
空间滤波:对输入信息包含的各种空间频率成分施以振幅和相位调制,以实现特定的变换来改变像的结构。