5.4 习题解答
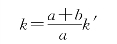
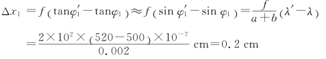
1.解:d=
mm,N=15cm×1 200mm-1=18×104。根据公式R=
=kN得一级光谱的色分辨本领为
R=18×104
所以,在λ≈550nm附近能分辨的最小波长间隔为

2.解:根据题意,应当要求光栅的线色散本领能将波长差δλ=0.003nm的两条谱线分开到
mm的线距离,即

仪器的焦距应为

3.解:①光栅常数d=
nm,已知光栅宽W=260mm,因此光栅槽数为
N=W/d=260×300=7.8×104
光栅对波长为500nm的光的闪耀级数为

因此光栅的分辨本领
=mN=13×7.8×104≈106。
②光栅的自由光谱范围

③题给F-P标准具的分辨本领和自由光谱范围分别为

和

可见,题给光栅与标准具的分辨本领相当,但光栅比标准具的自由光谱范围宽得多。
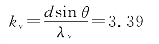
4.解:①光栅常数

光栅方程
dsinθ=kλ
可决定在θ=24°角方向上红光和紫光谱线的级次。设红光的波长为λr,则根据可见光波长与颜色的关系可知,λr~700nm,以λ=700nm代入得

取整数,kr=2。
设紫光的波长为λv,则λv~400nm,以λ=400nm代入得

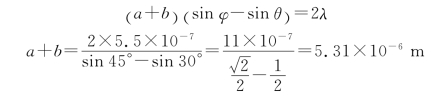
取整数,kv=3。
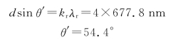
将kr=2和kv=3代入光栅方程,可解得该红光和紫光波长的具体数值为

②两种谱线重合的条件为krλr=kvλv,即
能出现的最大级次由sinθ≤1限定,所以

对λr,最大级次
取整数,为4级;对λ,最大级次v
取整数,为7级。所以还能出现红光第4级和紫光第6级的复合谱线,其对应的衍射角满足

③红光谱线最大不超过4级,其中,2级、4级为复合谱线,所以只有1级和3级为单一谱线,其对应的角度可由公式

求出

5.解:由光栅方程可得出出现主极大的角位置为θ=arcsin(±kλ/d)=arcsin(±0.176 8k),由于sinθ≤1,所以取k=0,1,2,3,4,5。相应的角位置值为0°、±10°11′、±20°42′、±32°2′、±45°、±62°7′。
6.解:
λ=dsinθ1=10-2sin 20°/6 000=5.70×10-7 m=570nm
θ2=arcsin (2λ/d)=arcsin (2×5.70×10-7×6 000/10-2)=43.2°
7.解:完整的光谱级次k需满足
kλr=(k+1)λv
由此得
k=λv/(λr-λv)=400/(750-400)=1.1
k取1,则只能产生±1级两列完整的光谱。光栅常量决定光谱的角位置,对本题来说,光谱的红色边缘的角位置为
θr=arcsin(λr/d)=arcsin (750×10-9×4 000/10-2)=17.5°
8.解:由于d (sinθ-sini)=kλ,对于屏的中心位置,θ=0,所以
k=(-dsini)/λ=-10-2sin 30°/(555×10-9×3 000)=-3
负号表示第3级和入射角i位于光栅平面法线的同侧。
9.解:①d=2λ/sinθ2=2×600×10-9/0.2=6.0×10-6 m。
②由缺级条件知d/a=4,所以a=d/4=1.5×10-6 m。由θmax=
得
kmax=(dsinθmax)/λ=6.0×10-6/(600×10-9)=10
实际呈现的全部级次为0,±1,±2,…,±9。(kmax不在屏上。)
10.解:由λ/Δλ=kN可得最小刻线总数为
N=λ/(kΔλ)=656.3/(1×0 .18)=3 646
11.解:Δλ=λ/(kN)=500×10-9/(3×6 .0×6 000)=4.6×10-12 m=0.004 6nm。
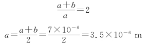
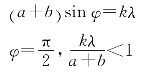
12.解:①根据可观察的最大级数,可知在垂直照射的情况下,如果不缺级,应有2k+1=23条明条纹,根据题意,只有17条明条纹,说明缺级23-17=6条。而在11级范围内发生缺级的可能情况有:a.当a+b=2a时,缺级±2、±4、±6、±8、±10,共10条;b.当a+b=3a时,缺级±3、±6、±9,共6条;c.当a+b=4a时,缺级±4、±8,共4条。所以,取a+b=3a满足条件。故光栅常数为a+b=3a=3×2.1×10-6=6.3×10-6 m。
②在-90°<φ<90°范围内的最大级数

即Km=12,但a+b=3a,±12级刚好缺级,实际观察的最大级数为11级,正符合题意,所以在-90°<φ<90°范围内,缺级±3、±6、±9、±12,共8条。
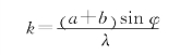
13.解:①根据(a+b )sinφ=kλ1,可得

根据题意,在7级范围内只有4条明条纹,说明有3条明条纹缺级,即2、4、6缺级。可得

②由(a+b )sin 30°=7λ,(a+b )sin 90°=kλ得k=14,因为φ<90°,即k<14,所以km=13。由于a+b=2a,所以±2、±4、±6、±8、±10、±12均缺级,共有12条缺级,所以总条纹数N=2km+1-12=15。
14.解:①光栅相邻两缝的间距就是光栅常数,有
(a+b )sinφ=kλ
令k=2,则有

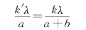
②缺级条件是一角度既满足单缝减弱条件,又满足光栅加强条件,即同时满足方程组
asinφ=k′λ
(a+b )sinφ=kλ
解得

则

令k′=1,k=4,所以
③屏幕上实际呈现的全部级数等于满足光栅的条纹数减去出现缺级的条纹数。

令
所以有
kmax=±9
考虑±4、±8缺级,所以呈现的全部级数为0、±1、±2、±3、±5、±6、±7、±9。
15.解:若同一级的光谱包括了可见光所有波长的谱线,则可以说是有完整的可见光谱。
本题的光栅常数

由光栅公式得

取sinφ=1进行计算。对于紫光λ=400nm,得
对于红光λ=700nm,得
考虑光谱以中央对称,故可产生6条完整的可见光谱。
如果考虑重叠现象,则应做如下分析。
设λ1=400nm,λ2=700nm,由光栅公式(a+b )sinφ=kλ可知,第k级光谱是从φk到φ′k,即

要产生完整的光谱,需

即λ1的k+1级条纹要在λ2的k级条纹之后,所以
700k<400(k+1),上式只有k=1时才满足,所以能产生一级完整的可见光谱,共有2条。
16.解:①光栅常数为

第四级主极大缺级,故有

其中k是正整数,1≤k<4。
a.当k=1时
b.当k=2时,第二级主极大也会缺级,不符题意,舍去。
c.当k=3时
符合题意的缝宽有两个,分别是2.5×10-3 mm和7.5×10-3 mm。
②光栅总的狭缝数为

设第二级主极大的衍射角为θ2 N,与该主极大相邻的暗纹(第2 N+1级或第2 N-1级)衍射角为θ2 N+1,由光栅方程及暗纹公式有

代入数据后,得
θ2 N=5.739°, θ2 N+1=5.742°
第二级主极大的半角宽度为
Δθ=θ2 N+1-θ2 N=0.003°=5×10-5 rad
17.解:光栅常数为

每厘米内的缝数为

当k=2时,有

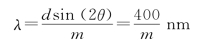
所以第二级亮纹出现在无穷远处。
18.解:①光栅常数为

设θmv和θmr分别表示第m级光谱中与紫光和红光对应的衍射角,则

而

假设紫光和红光的波长分别为4×10-5 cm和7×10-5 cm。因为θ2r>θ3v,所以第二级和第三级光谱将重叠。此外,又因sinθ3r>1,则在第三级光谱中不能观察到红光。
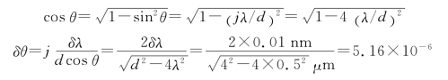
②由于dsinθ=mλ,故对于小的Δλ,有
dcosθΔθ=mΔλ
或者

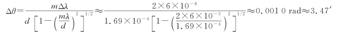
如果用一个角放大率为10倍的望远镜来观察,钠双线将有34.7′的角距离。
19.解:两谱线的距离
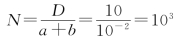
考虑

光栅的刻线数N=W/D=10cm/4μm=2.5×104,由瑞利判据

恰可分辨。
20.分析:闪耀光栅是反射式光栅,其优点是能将衍射光的能量较多地集中在某一非零级的光谱上,其与透射光栅有相同的光栅公式,所以与光栅光谱有关的诸如角色散本领、色分辨本领等公式也有相同的形式。
解:①观察图中的光路,由光栅公式可知,出射光的波长满足dsin(2θ)=mλ,由于θ很小,所以θ≈tanθ=0.025rad,代入上式,得到

式中,m为相应的主板大的级数。
②若令光栅的闪耀角θB=θ,则射出方向应平行于闪耀角方向,在此方向出射波长的单槽面衍射光最大,故出射光最明亮。
③光栅总缝数N=
=12 500条,色散本领为R=
=mN=12 500m。
④在可见光中只有相应于m=1的波长400nm满足出射条件,由色散本领公式Dθ=
可知

其中,δθ可视为缝对光栅中心的张角,由图中几何关系,考虑焦平面发出的球面波经反射后变为平行光,故有

代入式(1)可得δλ=4nm。故可见光中出射的波长范围为400~404nm。
21.解:①根据光栅方程有

②根据缺级公式
当第四级谱线缺级时,k=4,则1≤k′<4,所以有:当k′=1时,第四级缺级,符合题意,把k=4,k′=1代入缺级公式,得a=1.5μm;当k′=2时,所缺谱线级数为2、4,根据已知条件,第二级不缺级,不符合题意,故舍去;当k′=3时,第四级缺级,符合题意,把k=4,k′=3代入缺级公式,得a=4.5μm。综上,满足题目条件的狭缝宽度有两个:a=1.5μm或a=4.5μm。
③根据光栅方程有


所以在屏上出现谱线的最大级数为10,光谱缺级级数为4,8,12,…。
22.解:根据光栅方程,得

因为sinφ1≪1,sin
≪1,因此有

23.解:①总缝数为

所以可分辨的最小波长间隔Δλ=0.005 6nm。
②
所以可以看到的高阶光谱为±2、±3。
24.解:①根据

②根据重迭,即φ相等,可得

式中k1=8时是第二次重迭,这说明第一次重迭对λ1光来说就是k′1=4(即第四级),所以

当k2=1时,λ2=1.8×103 nm;当k2=2时,λ2=9×10-7 m;当k2=3时,λ2=6×10-7 m;当k2=4时,λ2=4.5×10-7 m。由此可见,只有k2=3时,对应的可见光的波长为λ2=6×10-7 m,满足条件。
25.解:①根据倾斜入射公式

②零级明条纹的衍射角φ0应满足

零级明条纹在O点上方28.9cm处。
③倾斜入射时,上下最大级数对O点不再对称。先求O点上方的最大级k1,有
(a+b)(sin 90°-sin 30°)=k1λ
而(a+b)(sin 45°-sin 30°)=2λ,所以

k1只能取整数,所以k1=4。同样可求O点下方最大级数k2,有

故取k2=14。
在-90°<φ<90°范围内共有k1+k2+1=4+14+1=19条条纹。
26.解:arcsin(±0.1768k),k=0,1,…,5。
27.解:570nm,43.2°。
28.解:3 646。