5.1 知识要点
1.光栅及其分光原理
光栅:广义地说,具有周期性的空间结构或光学性能(如透射率、折射率)的衍射屏统称光栅。
光栅方程:d (sini±sinθ)=kλ,k=0,±1,±2,…,i为入射角,θ为反射角。
分光原理:若入射光包含几种不同波长的光,则除0级外各级主极强位置都不同,因此用缝光源照明时,衍射图样中会出现几条不同颜色的亮线,它们各自对应不同的波长。这些主极强亮线就是谱线,各种波长的同级谱线集合构成光源的一套光谱,如图5-1所示。

图5-1 光栅分光原理示意图
光栅光谱仪与棱镜光谱仪有一个重要的区别,光栅光谱一般有许多级,每级都是一套光谱,而棱镜光谱只有一套。
2.光栅的色散本领
色散本领表征光谱仪将不同波长的主极大在空间分开的程度,是光栅重要的特性参数。通常用角色散和线色散来衡量。
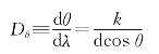
角色散本领表示以波长差为单位长度的两个同级主极大分开的角距离。
光栅的角色散本领为

线色散本领表示光谱线在焦平面上分开的距离。
光栅的线色散本领为

设光栅后面聚焦物镜的焦距为f,则dl=fdθ,所以仪器的线色散本领与角色散本领之间的关系为

3.谱线的角宽度
经过光栅衍射的每一级光谱线,在空间都有一定的角宽度,通常用谱线的极大值与相邻极小值的角度差表示,这就是“半角宽度”。
一般情形下只针对正入射的情况进行讨论。

其中光栅的周期数与光栅常数的乘积(L=Nd)就是光栅的有效宽度。
光栅系统基本上都满足近轴条件,即通常都是小角衍射,所以衍射角度对谱线的角宽度影响并不大。
4.光栅的色分辨本领
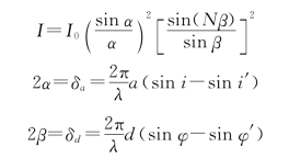
光栅的色分辨本领是分辨两个靠得很近的谱线的能力。根据瑞利判据,λ1的主极大恰与λ2的第一极小重合时,这两条谱线恰能分辨。λ1与λ2的角间隔
谱线半角宽
恰能分辨时,λ1与λ2的角间隔δθ恰等于谱线半角宽Δθ,则
经计算得到
即为最小分辨波长差。
定义色分辨本领
3种重要光谱仪的分光特性比较,如表5-1所示。
表5-1 3种光谱仪的分光特性比较

5.量程与自由光谱范围
由光栅方程可以看出,由于衍射角不能超过90°,即
所以

即最大待测波长不能超过光栅常数,因而光栅的量程,即可以测量的最长波长为光栅的周期d。
因为k(衍射级别)越大,角色散越大,如角色散较大则可能发生乱序,光栅光谱仪中可能发生邻级光谱重迭的现象,因此光栅光谱仪的工作上限与工作下限需要受到自由光谱范围的限制。
光栅的第m级光谱线的色散范围或自由光谱范围

6.闪耀光栅
对于普通光栅,k越大,其分辨本领越强,但是大角度谱线位于衍射因子的高阶次极大内。
闪耀光栅——相位型反射光栅,即反射面与光栅平面不平行而是保持一定夹角的光栅,通过控制刻槽的形状来使衍射的中央主极大转移到其他干涉主极大上,这样便改变了原有的强度分布,使能量集中到有用的某一级上。
闪耀方向:光栅的强度分布受单槽衍射因子的调制,单槽衍射主极大方向的衍射光最强。
图5-2为反射式闪耀光栅的截面图。

图5-2 反射式闪耀光栅
图5-3为单元槽面衍射图,其单元槽面衍射光程差可表示为

衍射零级主极大在i′=i的方向上。

图5-3 单元槽面衍射
图5-4为槽间干涉,其光程差可表示为

相位型反射光栅的光强分布与单槽衍射因子和槽间干涉因子的乘积成比例

闪耀方向衍射零级出现在i′=i方向上,闪耀方向干涉零级出现在φ′=φ方向上,则干涉光差为

在闪耀方向上

图5-4 槽间干涉
希望在闪耀方向上加强m级谱线的强度,则在i′=i方向上,2dcos isinθ=mλ,此时m称为闪耀级次。
衍射主极大转移到m级谱线上
只闪耀m级,其他级次几乎都缺级。
有以下两种特殊情况:
①平行光沿槽面法线n方向入射,则
i=0, φ=i+θ=θ, 2dsinθ=mλ
闪耀的m级在φ′=i′-θ=-θ方向。
②平行光沿光栅平面的法线N方向入射,则
i=-θ, φ=i+θ=0, 2dcos(-θ)sinθ=mλ
闪耀在m级在φ′=i′-θ=-2θ方向。