4.4 习题解答
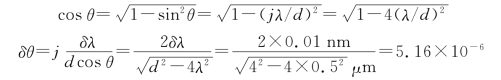
1.解:

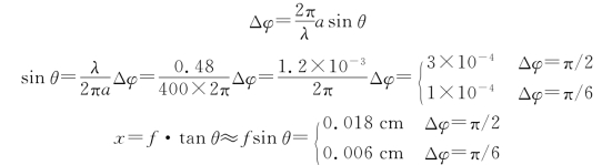
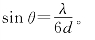
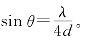
对于人眼

比较得

2.解:

3.解:两像光源对反射镜交线的张角为β=2(α+ε)-2α=2ε,则两者间距d=2rsinβ,D=rcosβ+L。
①
②由于两光源的重叠照射区域
如果仅考虑屏幕上部,则包括0级,可以看见4条,下半部分也应该有一些,但考虑反射镜的遮挡,会少一些。
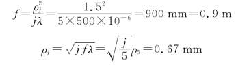
4.解:焦距离
考虑

光栅的刻线数N=W/d=10cm/4μm=2.5×104,由Rayleigh判据
恰可分辨。
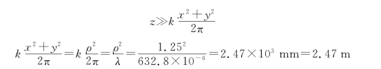
5.解:要满足远场条件

即

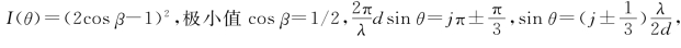
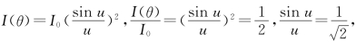
6.解:由Fresnel半波带公式
及强度公式
可以画出大致的强度分布曲线,此曲线是振荡衰减的。
7.解:由Fraunhofer单缝衍射公式
即
可知,该超越方程的解是:
asinθ=1.391 557。

③当
8.解:
强度

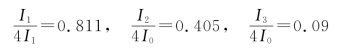
9.解
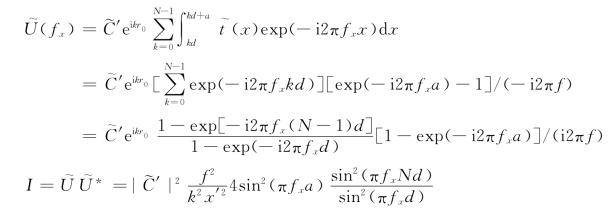
由衍射的反比关系
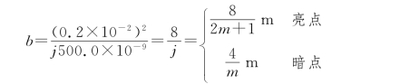
10.解:暗条纹分布为
第二条暗纹到中心处的距离

11.解:Fresnel圆孔衍射。
取奇数为极大值点,取偶数为极小值点。

12.解
所以孔的轴线与屏的焦点处是暗点。
该焦点为亮点。
13.解:在观察点
由于第二半波带只露出1/4,所以有
14.解:

充入介质后,等效波长改变,但是波带片却没有改变,故有f1λ1=f2λ2,f2=f1λ1/λ2=nf1。
15.解:Fresnel圆孔衍射。

第一极大值Ia=
,自由传播时
圆屏衍射强度
强度相当于自由传播时的强度。
16.解:
②由巴比涅(Babinet)原理,几何像点之外,即
几何像点处,
17.解:狭缝两端到P点处的位相差

18.解:分光缝移动。

而由衍射极小分布公式

可见9条紫色条纹(即紫光出现9次),红光出现5次,其他颜色的光出现的次数介于两者之间。
19.解:从月球上每个棱镜反射回来的光,在地面上有一个衍射艾里斑。设保护圆筒的直径为D,则

20.解:①衍射只与单缝有关,则
②干涉由缝间光的叠加决定

光强
一级极小值
③
一级极大值
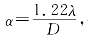
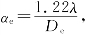
21.解:①分辨本领δθm=1.22
,短波比长波:5 500/2 750=2倍。

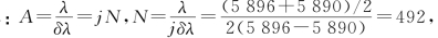
22.解:

对于人眼

比较

23.解:①等效于光栅的衍射d(cosθ-cosθ0)=jλ,掠入射d(cosθ-1)=jλ,近轴条件下
②
24.解:①
②光栅的色分辨本领
25.解:

②jMAX=d/λ=10,除去缺级,共有1+2×9-4=15条。
26.解
光栅宽度d=L/N=100/492=0.20mm。
27.解:

28.解:焦距离
考虑

光栅的刻线数N=W/d=10cm/4μm=2.5×104,由瑞利(Rayleigh)判据
可知,恰可分辨。
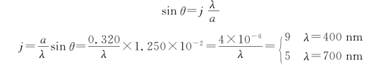
29.解:①j=4缺级,a=d/4=(1/400)/4=6.25×10-4 mm。
②
③
④光栅方程
所以
最小的波长间隔
30.解
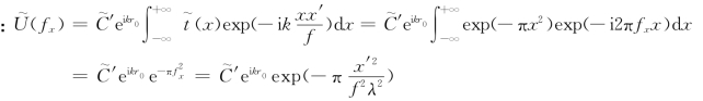
Y方向为δ函数,高斯分布的F变换仍为高斯分布。
31.解:

则

32.解:①角距离
②两衍射图样的中心距离是:l=α×f=1.68×10-5×300=5.03×10-3 mm。
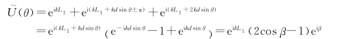
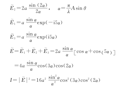
33.解:设单缝形成的振幅为a,取第二个缝中央为三缝相互位相差的零基准,则

34.解:①缝距与缝宽的比值
②缝宽:a=
=1mm。
③方法1:由dsinθ=mλ,经微分得(dcosθ)Δθ=Δmλ,Δθ是中央亮条纹的中央到相邻极小的角距离,对应有Δm=
,θ=0,所以Δθ=
=1.05×10-4 rad。
方法2:中央亮条纹相邻极小满足dsinθ=
λ,中央亮条纹半角宽度Δθ=θ≈
=11 1.05×10-4 rad。
35.解:根据题意R=1m,r0=1m,Rhk1=0.5mm,Rhk2=1mm,λ=500nm,有光阑时,由公式

得

按圆孔里面套一个小圆屏幕,当圆孔里面套一个小圆屏幕时

没有光阑时

所以

36.解:①P点的亮暗取决于圆孔中包含的波带数是奇数还是偶数,当平行光入射时,波带数为

故P点为亮点。
②当P点向前移向圆孔时,相应的波带数增加,波带数增大到4时,点变成暗点,此时点至圆孔的距离为

则P点移动的距离为Δr=r0-r′=100-75=25cm。
当P点向后移离圆孔时,波带数减少,减少到2时,P点也变成暗点。与此对应的到圆孔的距离为

则P点移动的距离为Δr=r0-r′=150-100=50cm。
37.解:由光栅方程dsinθ=jλ得

所以θ1=2.18°。有

所以
所以

38.解:①衍射图样的位置将垂直于单缝平移,移动方向和单缝的移动方向相反,衍射图样不发生变化。
②衍射图样将平行于单缝平移,移动方向和单缝的移动方向相反,衍射图样不发生变化。
③衍射图样会在Σ面内与单缝旋转的方向同向旋转。
④单缝靠近透镜时,图样变大;单缝远离透镜时,图样变小。
⑤单缝宽度变大时,图样缩小;单缝宽度变小时,图样扩散。
39.解:①
代入数据,解得D=2.24m。
②
,则角放大率
40.解:①对于双缝衍射,有dsinθ=mλ,则有
dcosθ·Δθ=λ·Δm
相邻条纹间Δm=1,θ→0,则有

又由e=f·Δθ得

由缺级条件知
=4,解得a=0.052 5mm。
②双缝衍射光强分布

其中

第1、2、3级亮纹对应的分别是
dsinθ=±λ,±2λ,±3λ
代入解得,第1、2、3级亮纹的相对强度分别为
