4.2 典型例题
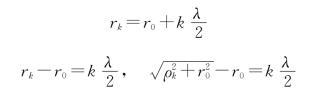
【例题1】 单色平面光照射到一小圆孔上,将其波面分成半波带,求第K个带的半径。若极点到观察点的距离r0为1m,单色光的波长为450nm,求此时第一半波带的半径。
解:

而

将上式两边进行平方,得

略去k2λ2项,则
将k=1,r0=100cm,λ=4 500×10-8 cm代入上式,得
ρ=0.067cm
【例题2】 平行单色光从左向右垂直射到一个有圆形小孔的屏上,设此孔可以像照相机光圈那样改变大小。问:①小孔半径满足什么条件时,才能使得此小孔右侧轴线上距小空孔中心4m的P点的光强分别得到极大值和极小值?②P点最亮时,小孔直径应为多大?设此时的波长为500nm。
解:①根据上题结论
将r0=400cm,λ=5×10-5 cm代入,得

当k为奇数时,P点为极大值;当k为偶数时,P点为极小值。
②P点最亮时,小孔的直径为

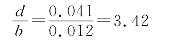
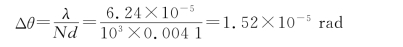
【例题3】 用波长为624nm的单色光照射一光栅,已知该光栅的缝宽b为0.012mm,不透明部分的宽度a为0.029mm,缝数N为103条。求:①单缝衍射图样的中央角宽度;②单缝衍射图样中央宽度内能看到多少级光谱?③谱线的半宽度为多少?
解:①单缝衍射图样的中央角宽度

②单缝衍射图样包络下的范围内共有光谱级数由下式确定

式中d为光栅常数,所以看到的级数为3。
③谱线的半角宽度公式为
令cosθ≈1(即θ≈0),故

【例题4】 波长为0.001 47nm的平行X射线射在晶体界面上,晶体原子层的间距为0.28nm,问光线与界面成什么角度时,能观察到二级光谱?
解:因为2dsinα0=jλ,所以

光线与界面成18′的角度时,能观察到二级光谱。
【例题5】 用坐标纸绘制N=2,d=3a的夫琅禾费衍射强度分布曲线,横坐标取sinθ,至少画到第7级主级强,并计算第一个主级强与单缝主级强之比。
解:作强度分布曲线如图4-11所示。作图时注意到N=2,故相邻主级强之间不出现次级强;又因d=3a,故缺级在k=±3,±6,…级。
多缝衍射某级主级强与单缝0级(主级强)强度之比为

式中

当k=1,a/d=1/3,N=2时,得

于是I(θ1)/I0=4×0.684≈2.74。

图4-11 夫琅禾费衍射强度分布曲线
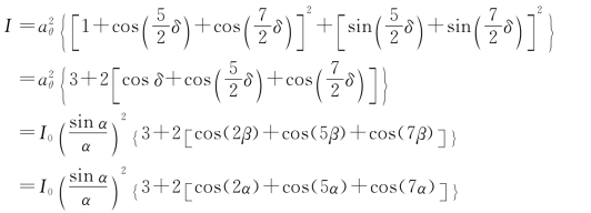
【例题6】 导出正入射时不等宽双缝的夫琅禾费衍射强度分布式,缝宽分别为a和2a,缝距为d=3a,见图4-12(a)。

图4-12 不等宽双缝示意图及矢量分布图
解:把缝宽为2a的单缝看成缝宽为a,且间距也为a的双缝。这样本题的不等宽双缝即化为等宽不等距的三缝,缝宽均为a,缝距分别为2.5a和a。用图4-12(a)所示的矢量图即可求得合振幅Aθ,图中δ=2πasinθ/λ,Aθ的x、y分量分别为

所以衍射强度的分布为

式中I0为单缝的零级主级强,α=πsinθ/λ。
【例题7】 波长为λ=5.633×10-7 m的单色光从远处的光源发出,经过一个直径D=2.6mm的圆孔,在距孔1m处放一屏幕,问:①幕上正对孔中心的点P是亮的还是暗的?②要使P点的明暗变成与①相反的情况,至少要将屏幕移动多少距离?
解:Fresnel圆孔衍射。
①由
可知,P为亮点。
②使j=2或j=4。根据上式可计算
前移0.25m或后移0.5m。
【例题8】 对于波长为500nm的光,波带片的第8个半波带的直径为5mm,求此波带片的焦距,以及距离焦点最近的两个次焦点到波带片的距离。
解:波带片公式为
故

相邻的次焦点
