4.1 知识要点
1.光的衍射
定义:当光在传播过程中遇到障碍物阻挡(限制)时,能绕过障碍物偏离直线传播的现象。
其有两个特点:
①光束在衍射屏上的什么方位受到限制,则接收屏幕上的衍射图样就沿该方向扩展;
②光孔线度越小,对光束的限制越厉害,则衍射图样越加扩展,即衍射效应越强。
当a≫103λ时,衍射现象不明显。
当a<103λ时,衍射现象明显。
2.惠更斯-菲涅耳原理
惠更斯的子波概念和子波干涉思想一起组成惠更斯-菲涅耳原理。
波前S上每个面元dS都可以看成是新的振动中心,它们发出次波。在空间某一点P的振动是所有这些次波在该点的相干波长,如图4-1所示。

图4-1 惠更斯子波示意图
其积分表达式为

其中,F(θ)为倾斜因子。
干涉与衍射的区别如下。
①本质上无区别——都是相干叠加。
②习惯上的区别——干涉:分立光束叠加。衍射:子波源连续叠加。
3.基尔霍夫衍射积分公式
基尔霍夫从波动方程出发,利用格林定理,并假定电磁场的边界条件,给出了更加严格的衍射公式。基尔霍夫衍射积分公式为

与惠更斯-菲涅耳原理的比较

近场衍射和远场衍射如图4-2所示。

图4-2 近场衍射和远场衍射示意图
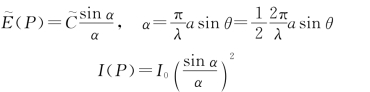
4.单缝夫琅禾费衍射
(1)衍射装置
夫琅禾费衍射装置如图4-3所示,平行光入射,衍射屏上有一宽度为a的单狭缝,在衍射屏之后,置一凸透镜L2,接收屏位于透镜的像方焦平面。

图4-3 夫琅禾费衍射装置
(2)衍射图样分析方法
①菲涅耳半波带法
本方法主要利用将积分化为有限项求和的思想,把单缝划分为一系列半波带,相邻波带边缘到P的光程为r+i
(i=0,1,2,…,N),相邻半波带的对应点到P的光程差为
,因而θ0θ在P点振动的相位相反,振动方向也相反,相邻半波带在P点是干涉相消的。
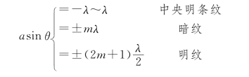
设a可以分成N个半波带,总光程差为BC=asinθ=N
:
当N为偶数时,asinθ=±mλ,Pθ为暗纹;
当N为奇数时,asinθ=±(2m+1)
,P为明纹;θ
当N不为整数时,Pθ介于明暗之间。
中央是明条纹,θ=0代表所有子波的光程差为0,所有子波都干涉相长,0级非常亮,±1级为暗级,在asinθ=±λ之间是中央明条纹,比其他次级明条纹宽一倍,如图4-4所示。


图4-4 菲涅耳半波带法示意图
②矢量图解法
将a分成N个宽度为Δx=
的条带,对各条带在
点引起的振动做矢量和,如图4-5所示。
a.零级主极大
b.极小——暗条纹
c.次极大——高阶明条纹:位置由
③基尔霍夫衍射积分法

傍轴条件为cosθ0≈cosθ=1,如图4-6所示。因为等光程性,所以r用r0代替,有

5.矩孔夫琅禾费衍射
矩孔边长为a和b,令
故


图4-5 矢量图解法示意图

图4-6 基尔霍夫衍射积分法示意图
6.圆孔夫琅禾费衍射

令

J1(δ)为一阶贝塞尔函数。圆孔夫琅禾费衍射图样如图4-7所示。
衍射图样的特点:
①在接收屏上的衍射条纹是一系列的同心圆环,明暗交错;
②中央是0级衍射斑,次级越大的条纹,其角半径越大;
③不同级次的圆环之间的角距离不相等;
④不同级次的衍射亮纹的辐射通量并不相等。
如图4-8所示,第一极小在1.22
处,第二极小在2.24
处,第一次极大为0.017 5I
0(1.75%I0),第二次极大为0.004 2I0(0.42%I0)。有84%的光能量集中在中央主极大内,中央主极大〔艾里斑(Airy disk)〕的角半径θ≈sinθ=0.61
=1.22
。aa

图4-7 圆孔夫琅禾费衍射图样

图4-8 光强分布示意图
圆孔夫琅禾费衍射与单缝衍射的比较如表4-1所示。
表4-1圆孔夫琅禾费衍射与单缝衍射的比较

7.光栅衍射
(1)光栅的概念
广义地说,具有周期性空间结构或光学性质(如透射率、折射率)的衍射屏,统称光栅。
光栅分类:透射式、反射式,平面光栅、凹面光栅,黑白透射光栅、正弦透射光栅,一维光栅(光纤光栅)、二维光栅、三维光栅(晶体光栅)。
光栅常数:d=a+b。
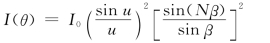
(2)多缝衍射强度分布
如图4-9所示,利用振幅矢量法得到的衍射光强为

其中第一项为单缝衍射因子,第二项为双缝干涉因子,如图4-10所示。

图4-9 多缝衍射振幅矢量法示意图

图4-10 多缝衍射强度分布示意图
分析多缝干涉因子
①主极大光强
主极大位置:dsinθ=±mλ,即光栅方程。
②极小位置
N条缝有N-1个极小,N-2个次极大。
③主极大的半角宽:经过光栅衍射的每一级光谱线,在空间都有一定的角宽度,通常用谱线的极大值与相邻极小值的角度差表示谱线的角宽度,这就是“半角宽度”

分析衍射因子
a.调制各主极大强度的相对大小。
b.引起缺级。