3.4 习题解答
1.解:单独打开中央缝
单独打开旁边缝,则计入双缝前的光程差
总位相差
所以
两缝同时打开:I+I′。

2.解:(n-1)l=Δjλ,n=Δjλ/l+1=98×589.3×10-6/200+1=1.000 289。
3.解:①
像光源间距d′=2y+2y′=7.12mm。
②由图3-11可见,两像光源发出的光在屏幕上并不相交,故没有干涉。
4.解
5.解:①是平行于柱面轴线的直条纹。
②有半波损失,距离轴线d处的膜厚为H,d2=R2-(R-h)2=2Rh-h2≈2Rh,H=H0-
暗条纹
中心暗纹j=H0/λ,从中心数第一条暗纹j-1,与中央暗纹间距
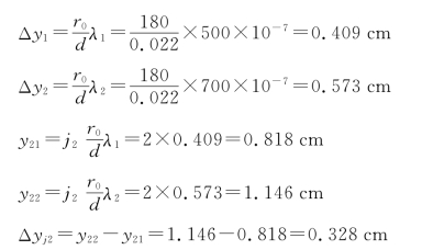
③2 H0=jλ1=(j+1)λ2,即6 000j=5 000(j+m),j=5m,要求其他波长的光不出现暗纹,2 H0≠k×4 000,m最大取1。H0=3 000×5=1.5×10-6 m=1.5μm。
④条纹间距变大,且中心有条纹被吞入。
6.解:插入前
中心处的光程差δ=(n-1)h=7λ,0
7.解:
变为平面光。与光轴夹角
如图3-22所示。

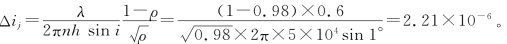
图3-22 习题7示意图
在接收屏上,Δφ=k1·r-k2·r=k(-xsinα+zcosα)-k(-xsinα+zcosα),取
,间距
左移
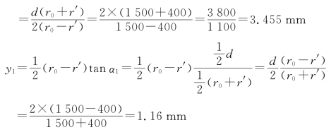
为虚像,像高
则两像光源d′=1.25mm,D′=50+
8.解:
②
,0级条纹位置
所以干涉条纹上移。

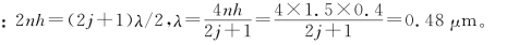
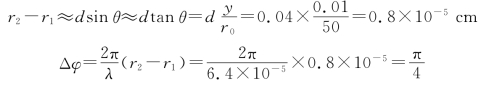
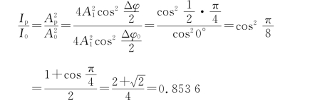
9.解:反射光干涉相长,2nhcos i2=(2j+1)λ/2。
①
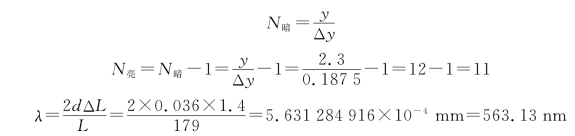
②
10.解
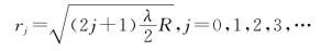
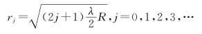
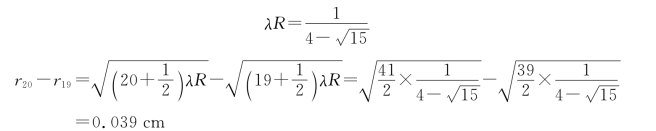
11.解
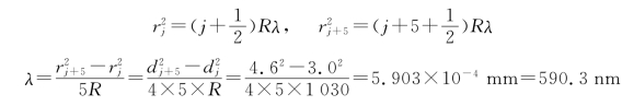
12.解:油膜上表面和油膜与玻璃的分界面的反射光相干叠加,无半波损失。
①光程差为2nh1,n为油膜的折射率,h1为油膜的厚度。亮条纹
当h1=h时
可见5条亮纹,j=0,1,2,3,4。而暗条纹
中心点介于明暗之间。
②油膜扩展,j减小,看见亮条纹向中心收缩并消失,同时可见油膜新扩展的区域有新条纹出现。
13.解:①条纹向中间移,即第j级的半径减小,说明气隙增加,即金属柱C缩短。
②
14.解:等倾干涉2hn2cosi2=(j-
)λ,其圆环半径

牛顿环
区别:前者是等倾干涉,后者是等厚干涉。对于中心条纹而言,前者明暗随即出现,而后者始终是明或暗纹。
当膜厚改变时,圆环的变化方式正好相反。
15.解:①2hcos i=jλ,中心条纹
②中心条纹:开始时2h=j0λ;结束时2(h+Δh)=(j0+Δj)λ。所以有
最外圈的条纹:开始时2hcos i=jλ,设中心级数为j0,j=j0+(m-1),m为视场中可见的环数;结束时2(h+Δh)cos i=j′λ,中心级数为j0+Δj,j′=j0+Δj+(m-1)。可以得到
综合两式可得
16.解:①是平行于柱面轴线的直条纹。
②有半波损失,距离轴线d处的膜厚为H,d2=R2-(R-h)2=2Rh-h2≈2Rh,H=H0-
暗条纹
中心暗纹j=H0/λ,从中心数第一条暗纹j-1,与中央暗纹间距
③2 H0=jλ1=(j+1)λ2,即6 000j=5 000(j+m),j=5m,要求其他波长的光不出现暗纹,2 H0≠k×4 000,m最大取1。H0=3 000×5=15 000×10-10 m=1.5μm。
④条纹间距变大,且中心有条纹被吞入。
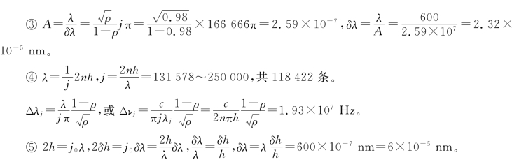
17.解:①2h=j0λ,j0=2h/λ=2×5×106/0.6=166 666。
②

18.解:这是非单色光的时间相干性问题。
非单色波的相干长度即波列的有效长度
19.解:①如果油膜的折射率大于玻璃,则反射光的相干叠加中要计入半波损失,即干涉相消的条件是2nh=jλ,500j1=700j2=2nh。由于波长的变化是连续的,则式中两整数只能相差1,所以j1=3.5,j2=2.5,但这显然不对。
如果油膜的折射率小于玻璃,则反射光的相干叠加中没有半波损失,即干涉相消的条件是
②
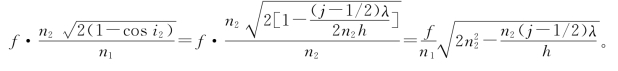
20.解:①由球面镜的对称性可知干涉条纹是同心圆环。透射光中没有半波损失。可以证明透镜上距离光轴ρ处的厚度为
亮纹2h=jλ
为说明主要特征,可以令两球面半径相等。ρ2=(2d-jλ)R与牛顿环相似。
②若挤压,则使膜变薄,圆环被吞入中心。
21.解:如图3-23所示,光程差中应包括双缝前的部分

图3-23 习题21示意图
①j=0级,x0=Dsinθ,在入射方向上。
②暗条纹δ=
-tsinθ=(j+
)λ,x=0,tsinθ=-(j+
)λ,由于j可以取任意整数,同时又以小角度入射,θ≈sinθ=(j+
)
。
22.解:①等倾干涉。
②有2hcosθ=mλ,θ=0,经微分得Δh=Δm
,当Δm=20时

③干涉圆环中心消失的条纹Δm=-20,Δh=-5.5×10-3 mm,空气板变薄了。
23.解:①到达xy平面的平面波波前函数为
=aexp(i k),到达xy平面的球面波波前函数为
而在x2+y2≪1m条件下
所以
=aexp{i k[1+(x2+y2)/2]}。两波干涉迭加后I=4a2cos2(δ/2),δ=δ2-δ1=k(x2+y2)/2,其亮条纹的轨迹满足方程δ=k(x2+y2)/2=2mπ,即x2+y2=2mλ,m=0,±1,±2,…。显然,条纹是圆心位于xy平面坐标原点的同心圆环。
②条纹间距
,条纹空间频率
24.解:①此圆环干涉条纹是等厚干涉条纹。
②有2h=mλ,经微分得Δh=Δm
,当Δm=20时

③干涉圆环中心消失时Δm=20,Δh=5.5×10-3 mm,M2向右移动。
25.解:两光波的条纹系重合,条纹基本消失时,应满足
干涉级差
镜面间距离改变2.0mm,两波长的条纹系再次重合,条纹消失时,干涉级差变化
上两式相减
26.解:①到达xy平面的平面波波前函数为
=Aexp(ik xsinθ),到达xy平面的球面波波前函数为
而在x2+y2≪a2条件下
所以
两波干涉迭加后I=4A2cos2(δ/2),δ=δ2-δ1=k[a+(x2+y2)/(2a)]-kxsinθ,其亮条纹的轨迹满足方程δ=k[a+(x2+y2)/(2a)]-kxsinθ=2mπ,即y2+(x-asinθ)2=2maλ-a2 (2-sin2θ),m=0,±1,±2,…。显然,条纹是圆心位于(asinθ,0)处的同心圆环。
②由y2+(x-asinθ)2=2maλ-a2(2-sin2θ)微分可得条纹间距Δx=aλ/(x-asinθ)。
27.解:由条纹间距公式
得

28.解:①由公式
得

②

③由公式
得

29.解:未加玻璃片时,S1、S2到P点的光程差,由公式
可知为

现在S1发出的光束在途中被插入玻璃片时,P点的光程差为

所以玻璃片的厚度为

30.解:

31.解:

32.解:①干涉条纹间距

②产生干涉的区域P1P2由图中几何关系得:设P2点的位置为y2,P1点的位置为y1,则干涉区域


屏上可以看见的条纹区域为

因为劳埃德镜干涉存在半波损失现象,暗条纹数量为N暗,亮条纹数量为N亮

33.解:迈克尔逊干涉仪移动每一条条纹相当于h的变化为

现因i2=0,故
所对应的h为

故

34.解:因为S=4×4cm2,L=4cm=40mm,所以又因为
所以

35.解:①因为光程差δ每改变一个波长λ的距离,就有一亮条纹移过。所以Δδ=Nλ。又因为对于迈克尔逊干涉仪光程差的改变量Δδ=2Δd(Δd为反射镜移动的距离),所以Δδ=
②因为迈克尔逊干涉仪无附加光程差,并且i1=i2=0,n1=n2=1.0,它形成等倾干涉圆环条纹,假设反射面的相位不予考虑,所以光程差δ=2dcos i2=2d=2|l2-l1|,即两臂长度差的2倍。若中心是亮的,对中央亮纹有

对第一暗纹有

由式(2)减式(1)得

所以

这就是等倾干涉条纹的第一暗环的角半径,可见i2是相当小的。
36.解:对于亮环,有

所以

37.解:对于亮环,有

所以

又根据题意可知

两边平方得

所以

38.解:光源和双棱镜系统的性质相当于相干光源S1和S2,它们是虚光源。由近似条件
得

按双棱镜的几何关系得

所以

肥皂膜插入前,相长干涉的条件为

由于肥皂膜的插入,相长干涉的条件为

由式(3)和式(4)得

代入数据得

39.解:①透镜由A、B两部分黏合而成,这两部分的主轴都不在该光学系统的中心轴线上,A部分的主轴在中心线上0.5cm处,B部分的主轴在中心线下0.5cm处,由于单色点光源P经凸透镜A和B所成的像是对称的,故仅需考虑P经B的成像位置即可。
由
得
又因为
所以
即所成的虚像在B的主轴下方1cm处,也就是在光学系统对称轴下方0.5cm处,同理,单色光源经A所成的虚像在光学系统对称轴上方0.5cm处,两虚像构成相干光源,它们之间的距离为1cm,所以
②光屏上呈现的干涉条纹是一簇双曲线。