3.2 典型例题
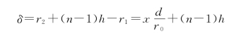
【例题1】 如图3-3所示的杨氏实验装置中,若单色光源的波长λ=5×10-7 m,d=S1S2=0.33cm,r0=3m,试求:①条纹间隔;②若在S2后面置一厚度h=0.01mm的平行平面玻璃片,试确定条纹移动方向和计算位移的公式,假设一直条纹的位移为4.73mm,试计算玻璃的折射率。

图3-3 杨氏实验装置
解:①

②插入玻璃片后从S2到P点的光程为r2+(n-1)h,由于光程增大,j=0级条纹向下移动,所有条纹亦将同样移动。
由于P点处的光程差为

j级亮纹

对0级条纹

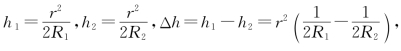
【例题2】 图3-4所示为一观察干涉条纹的实验装置。R1为透镜L1下表面的曲率半径,R2为透镜L2上表面的曲率半径,今用一束波长λ=5.893×10-7 m的单色平行钠光垂直照射,由反射光测得第20级暗条纹的半径r为2.4cm,又已知R2=2.5cm,试求:①干涉图样的形状和特性;②透镜下表面的曲率半径R1是多少?
解:①因为以光轴为对称轴,所以两球面的反射光相干叠加后为同心圆环干涉条纹。半径为r的圆环到球面顶点切面的高度为
有半波损失,亮条纹满足


图3-4 干涉条纹实验装置

图3-5 例题3示意图
【例题3】 如图3-5所示,金属细丝测量得D=28.880nm,λ=589.3nm。30个明条纹之间的总距离L=4.295mm,劈尖θ很小,所以有d=Dtanθ≈Dsinθ。30个条纹有29个间隔,l=
,又l=
,所以d=
=0.057 46mm=57.46μm,精度为百分之几微米。
【例题4】 如图3-6所示,波长λ为0.5μm的平行单色光垂直入射到双缝平面上,已知双缝间距d为0.5mm,在双缝另一侧5cm远处,正放置一枚像方焦距f′为10cm的理想透镜L,在L右侧12cm远处放置一屏幕。问屏幕上有无干涉条纹?若有,则条纹间距是多少?
解:两光源成虚像,可以算得
像高
则两像光源d′=1.0mm,D′=10+12=22cm,有干涉条纹

图3-6 例题4示意图
【例题5】 图3-7所示为一种利用干涉现象测定气体折射率的原理性装置,在S1后面放置一长度为l的透明容器,在待测气体注入容器而将空气排出的过程中屏幕上的干涉条纹就会移动,由移过条纹的根数即可推知气体的折射率。试求:①设待测气体的折射率大于空气的折射率,干涉条纹如何移动?②设l=2.0cm,条纹移过20根,光波长为589.3nm,空气折射率为1.000 276,求待测气体(氯气)的折射率。

图3-7 例题5的原理装置
解:①在充气过程中,上光源的光程逐渐增大,条纹上移。
②光程差改变

【例题6】 图3-8所示的是Newton环的干涉装置,平凸透镜球面的曲率半径R=1.00m,折射率n1=1.50,平板玻璃由左右两部分组成,折射率分别是n3=1.50和n4=1.75,平凸透镜的顶点在这两部分玻璃的分界处,中间充以折射率n2=1.62的二硫化碳液体,若用单色光垂直照射,在反射光中测得右边j级明条纹的半径rj=4mm,j+5级明条纹的半径rj+5=6mm,试求:①入射光的波长;②观察到的干涉图样。

图3-8 Newton环干涉装置
解:左边有半波损失,右边没有。
①由

可得

②左边亮条纹
暗条纹
即同一高度处,两侧条纹正好明暗错开。
【例题7】 一个Michelson干涉仪被调节,当用波长λ=5×10-7 m的扩展光源照明时会出现同心圆环形条纹,若要移动其中一臂而使圆环中心处相继出现1 000条条纹,则该臂要移动多少?若中心是亮的,计算第一个暗环的角半径。(要求用两臂的路径距离差和波长表示。)
解:是等倾干涉。
中心亮环,2h=jλ,第一暗环,2hcos i=(j-
)λ,所以有
【例题8】 如果Fabry-Poret干涉仪两反射面的间距为1.00cm,用绿光做实验,干涉条纹中心正好是一亮斑,求第10个亮环的角直径。
解:透射光

而

所以角直径为0.042。