2.3 习 题
1.通过检验相位,试确定有下面的式子所表示的行波的运动方向:

2.一列平面波从A点传播到B点,若在AB之间插入一透明薄片,薄片的厚度l=1mm,折射率n=1.5。假定光波的波长λ0=500nm,试计算插入薄片前后B点相位的变化。
3.一束光从空气入射到一块平板玻璃上。讨论:
①在什么条件下透射光获得全部能流?
②在什么条件下透射光能流为零?
4.导出光束正入射或入射角很小时的反射系数和透射系数的表示式。
5.入射面到两种不同介质界面上的线偏振光波的电矢量与入射面成α角。若电矢量垂直于入射面的分波和平行于入射面的分波的反射率分别为Rs和Rp,试写出总反射率R的表示式。
6.一光学系统由两片分离的透镜组成,两片透镜的折射率均为1.5,求此系统的反射光能损失。
7.光束以很小的角度入射到一块平行平板上(如图2-13所示),试求相继从平板反射和透射的头两条光束的相对强度。设平板的折射率n=1.5。
8.图2-14所示是一根圆柱形光纤,光纤芯的折射率为n1,光纤包层的折射率为n2,并且n1>n2。①证明入射光的最大孔径角2u满足关系式:
②若n1=1.62,n2=1.52,则最大孔径角等于多少?

图2-13 小角度入射平行平板示意图

图2-14 入射光进入圆柱形光纤示意图
9.如图2-15所示,光束E1=E10cos(kz+ωt)和E2=E20cos(kz-ωt)的电矢量方向之间的夹角为α,且有E10cosα=-E20。①两光束叠加形成的合光束是什么类型的光束?②求合光束的电矢量表达式。③求合光束的光强。

图2-15 光束E1与E2电矢量关系示意图
10.简答题:
①已知两个单色光波的频率相差很小,列举两个简单的办法来测量这个频率差。
②什么是群速?什么是相速?什么情况下群速慢于相速?什么情况下相速慢于群速?
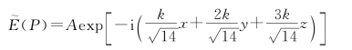
11.在直角坐标系(x,y,z)中,一列平面简谐波的复振幅为

式中各物理量均采用SI单位制。求该平面波的振幅E0在原点处的初相位φ0、波长λ及传播方向k0。
12.振幅为A、波长为
×10-3 mm的单色平面波的方向余弦为
,试确定它在xOy平面上的复振幅分布。波数的单位是mm-1。
13.分别写出与z=0平面距离为R的两个物点在此平面上产生的复振幅分布。一物点在z轴上,另一物点在轴外。
14.一束在空气中传播的单色平面光波可以表示为

式中E0=10x+10y,c为光速,x和y为x、y轴的单位矢量。①求光波的波长和频率;②求光波的偏振方向和传播方向;③在x=0的平面上光束遇到折射率为n=1.5的玻璃,对透镜到玻璃中的光波重求前两问。
15.试由电磁场的边值关系推导出折射定律n1sinθ1=n2sinθ2,式中n1和n2分别是介质1和介质2的折射率,θ1和θ2分别是光波的入射角和折射角。
16.写出在xOy平面内沿与z轴成θ角的方向传播的平面波的复振幅。
17.写出向Q(x0,y0,z0)点会聚的球面波的复振幅。
18.自然光投射到互相重叠的两块偏振片上,如果透射光的强度为透射光束最大强度的1/3,或为入射光束强度的1/3,则这两个偏振片的透振方向之间的夹角是多大?(假定偏振片是理想的,即它把自然光的强度严格减小一半。)
19.将一偏振片沿45°角插入一对正交偏振器之间。自然光经过它们,强度减为原来的百分之几?
20.线偏振光以布儒斯特角从空气入射到玻璃(n2=1.560)的表面上,其振动的方位角为20°,求反射光和折射光的方位角。
21.①计算n1=1.51,n2=1.0,入射角为54°37′时,全反射光的相移δp和δs。
②如果入射光是线偏振的,全反射光中p振动和s振动的相位差为多少?说明两者的合成为椭圆偏振光。
22.自然光中的振动矢量呈各向同性分布,合成矢量的平均值为零,为什么光强度却不为零?
23.自然光和圆偏振光都可看成是等幅垂直偏振光的合成,它们之间的主要区别是什么?部分偏振光和椭圆偏振光呢?
24.通常偏振片的透振方向是没有标明的,你能用什么简易的方法将它确定下来?
25.一电矢量的振动方向与入射方向成45°的线偏振光入射到两种介质分界面上,第一、第二种介质的折射率分别为n1=1和n2=1.5。问:入射角θ1=50°时,反射光电矢量的方位角(与入射面所成角度)是多少?入射角θ1=60°时,反射光电矢量的方位角又是多少?
26.入射到两种不同介质界面上的偏振光波的电矢量与入射面成α角。若电矢量垂直于入射面的s波和平行于入射面的p波的反射率分别为Rs和Rp,试写出总反射率的表达式。
27.两束振动方向相互垂直的线偏振光在某点的场表示为

试在一个振动周期内选定若干个(8个以上)不同时刻,求出合成电矢量E,并确定端点运动的轨迹。
28.如图2-16所示的菲涅耳菱体的折射率为1.5,入射线偏振光矢量与图面成45°角,问:①要想从菱体射出圆偏振光,菱体的顶角φ应为多大?②若菱体的折射率为1.49,能否产生圆偏振光?

图2-16 菲涅耳菱体
29.一平面波函数的复振幅为

试求波的方向。
30.一束椭圆偏振光与自然光的混合光沿z轴方向传播,通过一偏振片P。当偏振片的透振方向沿x轴时,透射光强度最大,为1.5I0;当透振方向沿y轴时,透射光强度最小,为I0。当透振方向与x轴成θ角时,透射光强是多少?与入射光中的无偏振部分相关吗?
31.一平面电磁波可以表示为
,求:①该电磁波的频率、波长、振幅和原点的初相位;②波的传播方向和电矢量的振动方向;③相应的磁场B的表达式。
32.一平面简谐电磁波在真空中沿z轴正向传播,其频率为6×1014 Hz,电场振幅为42.42V/m,如果该电磁波的振动面与xOz平面成45°角,试写出E和B的表达式。
33.计算光束经历全内反射时发生的相变。
34.试分析光束经历全内反射后,透射波的性质。
35.用什么方法可以区别相同波长的自然光、圆偏振光、椭圆偏振光、部分偏振光和偏振光?
36.两相干平面波的波矢均在xOz平面内,与z轴的夹角分别为θ和-θ,同时照射xOy平面,设波长为λ。①分别写出两列光波的波函数的表达式;②写出两列光波的复振幅;③求出xOy平面上的复振幅分布U(x,y);④画出U(x,y)的分布图,求出复振幅分布的空间频率;⑤求xOy平面上的光强分布I(x,y);⑥画出I(x,y)的分布图,求出光强度分布的空间频率。