2.2 典型例题
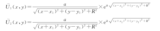
【例题1】 图2-9(a)所示为一对传播方向平行于xOz面,与z轴分别成倾角θ和-θ的一对共轭平面波;图2-9(b)所示为一对轴上物点的共轭球面波,发散中心为O(0,0,-R),会聚中心是O*(0,0,R);图2-9(c)是一轴外物点的共轭球面波,发散中心为O1(x1,y1,-R),会聚中心是
(x1,y1,R)。上述每列波在-θ面上波前等相位点的轨迹都是什么曲线?描绘一下它们的主要特征,如取向、间隔等。

图2-9 3种波在-θ面上波前等相位点的轨迹
解:①在图2-9(a)中,倾角为θ的斜入射平面波在z=0面上波前的相位分布函数为φ(x,y)=kxsinθ,令φ(x,y)为常数,得波前上等相位点的轨迹x也是常数,即等相位点的轨迹是平行于y轴的直线。当两等相位线的相位差为Δφ时,得其间隔为Δx=Δφ/(ksinθ),这说明等相位线的密度是均匀的。
同理分析可知,共轭平面波当倾角为-θ时,在z=0面上波前等相位线的特征相同。
②在图2-9(b)中,发散球面波在z=0面上波前的相位分布函数是

其中r2=x2+y2,等相位线的方程是

这说明等相位线是以坐标原点O为中心的一系列同心圆。对式(1)取微分得

上式说明,等相位线是中间稀疏外围密集的,即随着半径增大而变密。
同理可得,会聚的共轭球面波在z=0面上波前等相位线的特征与此相同。
③在图2-9(c)中,发散球面波波前上的相位分布函数为

等相位线方程

对式(2)取微分得

可见,等相位线是以(x1,y1)点为圆心的一系列同心圆,其分布也是中间稀疏外侧密集,随着半径的增大而变密。
同理可得,汇集的共轭球面波在z=0面上波前等相位线的特征与此相同。
【例题2】 有8列球面波,其中4列是入射波,如图2-10(a)所示,4列是出射波,如图2-10(b)所示。它们在波前z=0平面上各有共同的光瞳(即窗口),能流数值相同,波束中心O1、O2、O3、O4点分别与z=0和x=0面成镜像对称。问:①哪几列波在z=0面上的复振幅分布相同?②哪几列波在x=0面的复振幅互为共轭?③设O1点的坐标为(x1,y1,-R),其他波束中心O2、O3、O4点的坐标如何?具体写出图2-10(a)、图2-10(b)中1、2两列波在z=0面上的复振幅分布函数。

图2-10 球面波的入射与出射示意图
解:①波束中心相同的两列入射波和出射波在z=0面上的复振幅分布均相同。
②波束中心与z=0面成镜像对称的两列波均为共轭波,即复振幅分布互为共轭。
③设O1点的坐标为(x1,y1,-R),则其他波束中心的坐标分别是O2(-x1,y1,-R)、O3(-x1,y1,R)、O4(x1,y1,R)。
如图2-10(a)所示,波束中心分别是O1、O2两点,其1、2两列波在z=0面上的波前相应为

在图2-10(b)中,波束中心为O1和O2点的两列波在z=0面上的波前分别和图2-10(a)中的两列波相同。
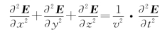
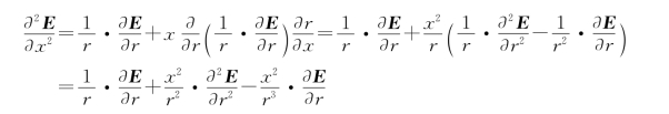
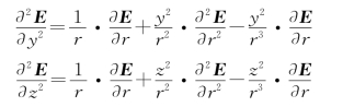
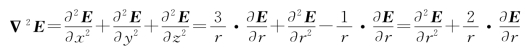
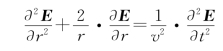
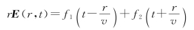
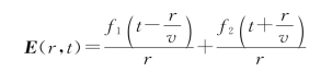
【例题3】 球面电磁波的电场E是r和t的函数,其中r是一定点到波源的距离。求:①写出与球面波相应的波动方程的形式;②求出波动方程的解。
解:①在直角坐标系中的波动方程为

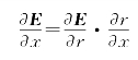
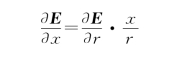
但对于球面波来说

由于

因此

并且

类似地有

所以

因此,与球面波相应的波动方程的形式是

②上式左边可以写为

于是可以得到

由于r对t是独立的,故上式右边可以写为

因此

上式与一维波动微分方程形式上完全类似,它的通解为

或者写成

若E随着t的变化是正弦式的,则E可以写成

【例题4】 如图2-11所示,试证明自然光进过偏振片后的强度为总强度的一半。
证明:自然光是大量的有各种取向的彼此无关的线偏振光的集合,且角分布具有轴对称性,如图2-11所示。在此,可以引出“线偏振数密度”来描述大量线偏振集合的角分布。设在角范围θ~θ+Δθ之内,包含线偏振的数目为ΔN,则ΔN=ρ(θ)Δθ,式中的ρ(θ)为线偏振密度,即为单位角度内所包含的线偏振数。显然,对于具有轴对称性的自然光来说,ρ(θ)与θ无关,保持为一个常数。由于自然光中的各线偏振光之间无固定相位关联,因此总强度I0等于各线偏振光强度i的直接相加,即为

透过偏振光p的光强应该按照马吕斯定律先投影再求和,即在α~α+Δα范围内线偏振光透过p的光强为

透过p的光强为

由此可见,若用线偏振数密度ρ和个别线偏振光强度i两个量来表示自然光总强度I0和任意方向的强度I(θ),分别是

显然有


图2-11 自然光进入偏振片光强示意图
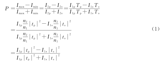
【例题5】 计算:①由空气到玻璃(n2=1.560)的全偏振角;②由此玻璃到空气的全偏振角;③在全偏振时由空气到此玻璃的折射光的偏振度;④在全偏振时由此玻璃到空气的折射光的偏振度;⑤自然光从空气以布儒斯特角入射到平行平面玻璃板以后,最终透射光的偏振度。
解:①由空气到此玻璃的全偏振角为

②由此玻璃到空气的全偏振角为

由此可见,光束射到空气中的平行平面玻璃板上,当上表面反射发生全偏振时,则折射光在下表面的反射也将发生全偏振,每一界面反射的全部都是s分量。这正是波片堆起偏器的理论依据之一。
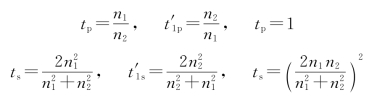
③首先根据计算折射光偏振度的一般公式,由空气射向玻璃时,折射光的p分量为极大强度,s分量为极小强度,所以折射光的偏振度为

此式中的n1是空气的折射率,n2是玻璃的折射率,自然光的p分量和s分量的强度相等,即I1p=I1s,因此有

此式即为求折射光偏振度的公式,条件是自然光入射。因此,只要根据菲涅耳公式求出振幅透射率tp、ts,就可以得到折射光的偏振度。
当光线以布儒斯特角入射时,由菲涅耳公式就可得

当然,tp=n1/n2的结果也可以根据能流守恒关系得到。当以布儒斯特角入射时,p分量全部透过,因此有

故得到tp=n1/n2。
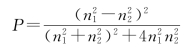
根据结果改写式(1),得到以布儒斯特角入射时折射光偏振度的计算公式

将n1=1,n2=1.560代入,得到P=9.5%。
④从上面折射光偏振度的计算公式中可以看出,P对n1和n2是对称的,满足互易关系。因此当光线逆向从玻璃到空气以布儒斯特角入射时,折射光的偏振度不变,即为P′=P=9.5%。
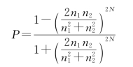
⑤当入射光的p分量和s分量强度相等时,无论从空气到玻璃,还是从玻璃到空气,均有折射光的p分量强度极大,s分量强度极小。因此以自然光入射到平行平面玻璃板上时,最终透射光的偏振度公式仍为

但是式中的tp、ts应由单次透射率的乘积代替,即为

t1s
分别是平行平板上下表面的振幅透射率。若是N块这样的平行平板叠放在一起(波片堆),那么有

当以布儒斯特角入射时,由前两问的讨论可知

此时透射光的偏振度简化为

设波片堆为N块,那么经历2 N次折射,最终透射光的偏振度为

结合本题,取参数n1=1,n2=1.560,N=2,算出P1≈18.9%。同样可从公式中看出,N越大,则PN值越高。
【例题6】 如图2-12所示,一束右旋圆偏振光从空气正入射到玻璃板上,反射光的偏振态如何?

图2-12 右旋圆偏振光从空气正入射到玻璃板的入射光与反射光示意图
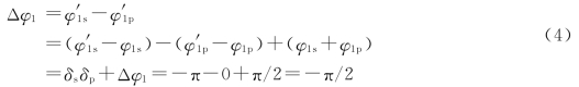
答:决定反射光偏振态的是反射光中的两个垂直分量(p分量和s分量)的振幅关系和相位关系。两者均可由菲涅耳公式确定。设空气的折射率为n1,玻璃的折射率为n2,正入射时,i1=i2=0,那么由菲涅耳公式得振幅反射率为

上式表明rp、rs的模和辐角分别是

由于入射光是圆偏振光,两垂直分量的振幅相等。由式(1)可知,反射光两正交分量的振幅仍相等,即为

又由式(1)、式(2)可知,反射界面上p分量和s分量的相位突变

由于入射圆偏振光是右旋的,则入射光p分量和s分量的相位差

因此反射光中的p分量和s分量的相位差是

由式(3)、式(4)即可确定反射光为左旋圆偏振光。与入射光相比,电矢量瞬时值要小得多。另外,这个结论从物理上的对称性分析可以得到,入射光为右旋圆偏振光,反射光必为左旋圆偏振光,条件是正入射且介质各向同性。
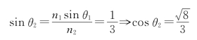
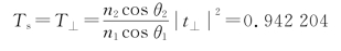
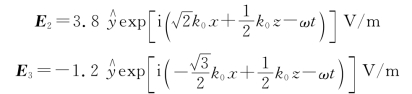
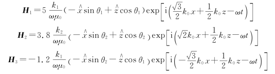
【例题7】 考虑一列线偏振的电磁波(其电矢量沿着y方向偏振,量值为5V/m)在真空中传播,以30°入射于x=0的电介质表面,波的频率为6×1014 Hz,电介质的折射率为1.5,试写出入射波、反射波和透射波的电场、磁场的完整表达式。
解:入射波矢量为

因此有

式中

又有

则

可得

以及

则

可得R⊥+T⊥=1,且

以及

那么透射波和反射波的电场分别是

根据公式可以推出相应的磁场表达式

式中
