1.4 习题解答
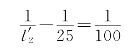
1.解:设水相对于空气的折射率为n(n≃4/3),则根据折射定律,有

设入射角为i的光线与水面相遇于M点,令
则

于是

上式表明,由Q发出的不同方向的光线,折射后的延长线不再相交于同一点,但对于那些接近法线方向的光线(i≃0),若忽略高级小量O(i2),则sin2i≃0,cos i≃1,我们有

这时y′与入射角i无关,即折射线的延长线近似地交于同一点Q′,其深度为原光点深度的
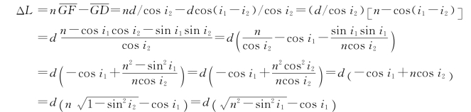
2.解:在这种情况下,需要比较一下空间的同一波面在插入前后的相位差。如图1-21所示,在插入前,波面CD与AB之间的光程差为BD。
插入之后,光线在玻璃中的折射角为i2,nsini2=sini,由于
上述两波面间光程差为
而

插入前后光程差的改变为

插入后CD波面相位的改变为
,比插入前滞后。
3.解:物体发出的光线依次经过了两个球面的折射,可以先算出第一次成像的位置,再把这个像作为第二个球面的物,算出第二次成像的位置,这就是逐次成像法。
首先确定两个成像球面的光焦度,r1=3cm,r2=-3cm。折射率为n1=1.33,n2=1.50,n3=1.00,于是有

第一次成像时,按照物像公式
,可得像距为

此时像距为负值,说明像的位置在物方,是一个虚像,即在水面下5.4cm处。
第一次的横向放大率
第二次成像时,将一个球面的像作为物,该像位于第二球面的物方,因而是实物,物距为

物像公式为
算得像距为

此时像距为负值,说明仍然是虚像,在第二球面下28.0cm处,即该像在水面之下,到前镜面的距离为26.0cm。
第二次的横向放大率
总的横向放大率γ=γ1γ2=7.03。像的长度为7.03×0.5=3.5cm,P在Q的左侧。
4.解:对于物体上发出的光线,该元件有3次成像过程:①左侧球面折射;②右侧球面反射;③左侧球面折射。则逐次成像过程为Σ1折射(空气→玻璃)→Σ2反射(玻璃→玻璃)→Σ1折射(玻璃→空气)。
平行光经过球面Σ1折射(空气→玻璃),像距为Σ1的右焦距,即
该像作为反射球面的物,物距为
经过球面Σ2反射(玻璃→玻璃),像距为

反射面的像作为物,最后经球面Σ1折射(玻璃→空气),物距为
像距为

是元件焦点到球面Σ1的距离,记为f,即

5.解:题中的透反射镜的反射面内侧是玻璃,可以将该元件看成一个平凸透镜和一个凹面镜的组合,两镜之间有一层等厚的、薄薄的空气,这样的空气层对光线的折射不起作用。这样一来,就可以认为透镜L2和球面镜M都在空气中。
透镜L2的焦距为
球面镜的焦距为
物经过该光具组共有5次成像过程,可以按照逐次成像的方法求解。
物体经过L1成像,像距

该像在L2的右侧,是L2的虚物,物距为
再经过L2成像,像距

该像在L2的右侧,是反射镜M的虚物,物距
经过M成像,像距

这是实像,在M的左侧。由于反射光还要依次经过L2、L1,所以对于L2,这是虚物,物距
所以反射光再经过L2成像,像距

这是实像,在L2的左侧,对于L1来说,它是实物,物距
像距

它在L1左侧8cm处。
6.解:如图1-25所示,棒的端面与侧面垂直,所以在侧面上入射角最小的光线,在端面上的入射角是最大的。则实际上仅需对从端面入射的光线进行讨论。当然也可以先进行一般性讨论,然后得到结论。
在端面处的折射定律为
从图1-25中可以看出
,因此有

如果要发生全反射,要求nsinθ2≥1,而θ1可以取到π/2,因此有

即为

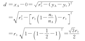
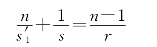
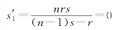
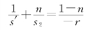
7.解:设在直角坐标系中,光线的轨迹是圆,圆心在(x0,y0)处,半径为r,其方程为

因此

从而有

结合光线方程

可得

即有

8.解:①对比前题结论,当折射率为

时,光线的轨迹是圆,圆心在坐标原点。此时将折射率关系式化为标准的表达式,得到

可见光线从外部入射时,入射角i0=90°,圆心位于x=0,y0=r0处,半径为r0。
②根据光的可逆性,当光线从另一侧的A点处以30°入射时,有

即为

③出射点A的位置满足

可得

厚度为

最后求得

9.解:可以用逐次成像法求解,物点发出的光线经过透明球的两个表面时都要折射成像,应该用单球面折射的成像公式逐次求解。
设球的半径为r,如图1-27所示,物点Q第一次成像时,应该用单球面的物像公式

得到

说明:由于物点紧贴折射球面,物距s=0,像距s′1=0,所以可以近似认为没有被此球面折射,即认为物点处于球的内部,紧贴表面。
对于前表面,物距s2=2r,因此第二次成像有

而出射光为平行光,即s′=∞,因此有

求得n=2。
10.解:根据反射定律,曲率半径与物方(也是像方)的折射率无关,反射面的光焦度会因物方的折射率不同而不同。但焦距保持不变,成像公式也不变。因此可以直接用球面镜的物像公式计算成像的情况。
物距s=40cm,像在球面镜后面,是一个虚像,s′=-8cm。由公式

可以得到球面半径r=20cm。像高

这是一个正立的虚像。光焦度

11.解:①两折射面的光焦度分别是

透镜的光焦度

焦距为

②由高斯公式

解得

横向放大率为

这是一个倒立的实像。
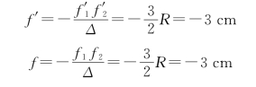
12.解:该气泡是一个厚透镜,根据两侧折射球面的特征,确定整个气泡的主平面和焦平面,即可求解。
①两侧折射球面的间距为d=2R,焦距分别是

因此有

气泡的主点位置

气泡的焦距

可以看出,主点H、H′都位于气泡中心处,而物方焦点F位于球心右侧3cm处,像方焦点F′位于球心左侧3cm处,因此物在很远处时所成像位于F′,正立虚像。
②此时物距s=R,代入高斯公式
可得像距为

像位于球心左侧6/5cm处。横向放大率为

因此这是一个正立缩小的虚像,横向放大率为3/5。
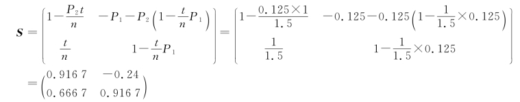
13.解:先求出厚透镜的系统矩阵,再由基点的位置与系统矩阵元的关系确定节点的位置,系统矩阵为

由公式可知

由于透镜前后折射率相同,因此节点位置与主点位置重合,xN=xH,xN′=xH′。
系统的焦点为

即F在透镜右表面右侧2cm处,F′在透镜左侧6cm处。
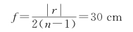
14.解:①根据公式
如图1-41(a)所示,先考虑前表面的折射,将参数r1=30mm,n1=1
=1.5,l1=∞代入公式有

像在折射球面的右方,是一个实像。再考虑后表面折射,将r2=-30mm,n2=1.5,
=1,l2=
-d1=30mm代入得

得
=15mm,像在球体后表面的右方,是一个实像。
②如图1-41(b)所示,前表面镀反射膜。根据
得到
是实像。
③如图1-41(c)所示,后表面镀反射膜。此时前表面折射同①,但是后表面是反射,应该代入反射镜公式

得到
=-10mm。光线射向前表面,经前表面折射成像,l3=
-d2=-10+60=50mm,r3=30mm,n3=1.5,
=1。因此根据公式
得到
=75mm,这是一个虚像。

图1-41 玻璃球前表面折射示意图
15.解:利用解析法求像,对于两个薄透镜组成的光学系统,可以采用逐步成像法结合过渡公式求解,也可以利用组合公式成像求解,同时还可以采用正切算法来进行计算。
①逐步成像法,根据高斯公式
,可得

得到
=75mm。由过渡公式l2=l′1-d=75-50=25mm,再根据高斯公式
可得

得到
=20mm。可知像位于第二个透镜的右边20mm处。根据公式
得到像的大小为

这是一个倒像。
②组合公式法,难点在于物体相对于整个系统的物距的确定,以及整个系统的主点的确定。
根据公式
有

得到
为组合系统的物方和像方主点相对于第一个透镜和第二个透镜的位置,代入数值

因此物体对于组合系统的物距为-175mm,根据高斯公式
得到

有l′=70mm,所以像位于第二个透镜的右边20mm处。又有

所以最后像的大小为
这是一个倒像。
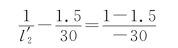
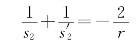
16.解:首先研究S1P1M1面的折射。显然,u=-40cm,R=15cm,n1=1.0以及n2=1.5,那么

在没有第二个界面时,距离点P2150cm的点O′将成一像。点O′是一个虚像点,且位于S2P2M2的右侧。此时再考虑第二个界面的折射,有u=150cm,R=-25cm,n1=1.5以及n2=1.0,那么

可得v=33
cm,也就是在点P2的右侧33
cm处呈现一个实像。
17.解:R1=4cm,R2=-4cm,t=1cm,两个界面有相同的光焦度

根据公式可得系统矩阵

因此

根据公式可得主平面位置

主平面位置如图1-32所示。因为透镜置于空气中,故节平面与主平面重合。
18.解:将s=80cm,f=20cm代入薄透镜公式,可得像距

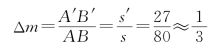
利用3条特殊线作出光路图,图1-42中显示像A′B′与物体AB分别位于透镜的两侧,像距透镜27cm。由于A′B′是穿过透镜的光线的实际交点,眼睛迎着光线看去,它也是实际光线的发出点,所以A′B′是AB的实像,而且是倒立的。
如图1-42所示,△ABO和△A′B′O相似,可以求得像的高度放大倍数,即像的横向放大率为

即像的高度缩小到物体的1/3。

图1-42 光路图
19.解:是否需要镀增反金属膜取决于入射光线在斜面上的入射角是否大于临界角,即能否发生全反射,所以可以直接用折射定律求解。在第一个界面上有

由几何关系可知

因此有

而第二面的临界角

因此在该斜面无须镀金属膜。
20.解:经过折射球面Σ1第一次成像,以顶点O1为原点,利用单折射球面物像公式

式中,s1=-20cm,n1=1.00
=1.50,r1=5.0cm,代入上式可得
=30cm,放大率为

经过折射球面Σ2第二次成像,以顶点O2为原点,再利用单折射球面物像公式

式中,s2=30-10=20cm,n2=1.50
=1.00,r2=-10cm,代入上式可得

放大率为

总的放大率为

最终像位于顶点O2右侧8cm处,是一个倒立、缩小的实像。
21.解:先计算经过L1的成像,由薄透镜物像公式

将s1=-20cm,f1=10cm代入可得

所以物体经过L1后形成一个等大、倒立的实像。
再经过L2成像,此时根据薄透镜物像公式

将s2=20-10=10cm,f1=-15cm代入可得

此时物体是一个放大3倍的正立实像。总的放大倍数

最后成像在L2右侧30cm处,是一个倒立、放大3倍的实像。
22.解:按照题意

因此有

又由于nisinθi=ntsinθt,因此有

23.解:在第一个表面折射,有n1=1.00,n2=1.50,s=-100cm,R=25cm。将这些值代入单球面折射方程

像成在第一个折射面的右侧,放大倍数

在第二个表面折射,有n1=1.50,n2=1.00,s=150-2×25=100cm,R=-25cm,代入单球面折射方程

第二次放大倍数

最终像高h=-0.44×2=-0.88cm,负号表示像是倒立的,总放大倍数为

24.解:①由题可知R1=∞,R2=-5cm,所以有

解得

像位于透镜右边,是实像。
②由题可知R1=5cm,R2=-∞,所以有

解得

像位于透镜右边,是实像。
25.解:首先计算由第一个透镜成像的位置和大小

代入公式可得

因此,v=40cm,m1=-1。所以像和物的大小一致,但是是颠倒的。这个像作为凹透镜的虚物,u=32cm,f=-10cm,故

可得

进而有

则

所以最后成像位于凹透镜左侧14.5cm处,是个正立、缩小1/2.2的虚像。
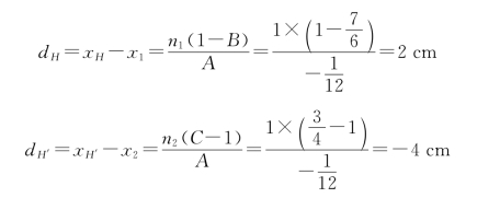
26.解:①玻璃球是由两个共轴的球面折射系统构成的厚透镜。两个球面作为单独的球面折射系统,其焦距分别是


两球面之间的光学间隔为

同时,玻璃球的有效焦距为

物方主点H与左侧球面顶点A1的距离为

这就说明H在A1右方2.00cm处,所以H就位于球心位置。像方主点H′与右侧球面顶点A2的距离为

这就说明H′在A2左方2.00cm处,所以H′也位于球心位置。因此两主点重合于球心,物方焦点F位于球心左方3.00cm处,像方焦点F′位于球心右方3.00cm处。
②对于在A1点处的小物,物距s=2.00cm。由高斯公式

可得像距

横向放大率为

这是放大正立虚像,如图1-43所示。

图1-43 习题26物体成像示意图
27.解:由槽壁与平凸透镜组成的新平凸薄透镜处在水和空气之间。利用空气中薄透镜的焦距公式可求出其凸面的曲率半径,再计算它处于水和空气之间时的物方焦距和像方焦距,然后用高斯成像公式求像距和横向放大率。这与透镜贴在水槽内壁类似。
①空气中薄透镜的焦距公式

式子中的
因此凸面的曲率半径为

由槽壁与平凸透镜组成的新平凸薄透镜处在水和空气之间,其物方焦距为

设其像方焦距为f′,则

故

设物距为s,像距为s′,由高斯公式

可得

故像距为

其中用到s=f0,其横向放大率为

即在与槽壁距离为3f0处得到放大4倍的正立虚像。
②若透镜贴合在水槽的内壁,那么
所以

代入高斯公式可得

因此

当s=f0时,像距为

横向放大率为

此时物与像在同一位置,像是放大4/3倍的正立虚像。
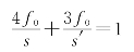
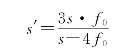
28.解:当表壳间充满空气时,第一块表壳玻璃对光传播的影响可以忽略,只有涂银的那块起球面反射镜的作用,由球面反射成像公式可求出球面的曲率半径r。而当表壳间充满水后,可以将其称为薄凸水透镜及球面反射镜的组合,物点Q经历3次成像过程,首先经水透镜成像,其次经过球面反射镜成像,最后经水透镜成像。
当表壳间为空气时,物点Q经球面反射成像。设表壳玻璃的曲率半径为r,由球面反射成像公式,有

当s=s′=L=20cm时,得到

而当表壳间注满水时,可以将其称为薄凸水透镜,其焦距为

物点Q经过水透镜第一次成像,设物距为s1,像距为s′1,则

再以物距s2=-s′1经过球面反射镜第二次成像。设像距为s′2,则

即为

最后经过水透镜第三次成像,有

其中物距s3=-
,代入得

式(1)与式(2)相加得到

式(3)和式(4)相加得到

式中,s1为最初的物距,
为最终的像距。
按照题目要求,最后的像点与物点落在同一屏幕上,也即要求

由式(5)和式(6)得到

式中f=30cm,r=-20cm,代入得到

所以结论为:当屏幕与注水表壳玻璃的间距L=12cm时,物点与像点均在该屏幕上。