1.2 典型例题
【例题1】 求证反射光束和折射光束的方向都是等光程方向,证明图1-13中:
L(A1B1C1)=L(A2B2C2),L(A1B1D1)=L(A2B2D2)

图1-13 反射光束和折射光束光程示意图
证明:①分别由入射点B2、B1向光线1、2′做垂线,相应垂足为
。由图可知
又根据反射定律得知
是全等三角形,即为

所以光程
与
是相等的。
这表明,反射定律给出的反射光束的方向正好与等光程(从入射光算起)要求的方向是一致的。
②由次波源B1向光线
做垂线,垂足为
,此时有
另外比较
B1、B2
两段光程,在直角△
B2B1和直角△
B1B2中有

又由折射定律得

于是

所以光程

与

是相等的。
这表明,折射定律给出的折射光束的方向正好与等光程(从入射光算起)要求的方向是一致的。
【例题2】 如图1-14所示,内半径为R的直立圆柱器皿内盛有水银,绕圆柱轴线均匀旋转(水银不溢,皿底不露),稳定后的液面为旋转抛物面。若取坐标原点在抛物面的最低点,纵坐标轴z与圆柱器皿的轴线重合,横坐标轴r与z轴垂直,则液面方程为

其中,ω是旋转角速度,g是重力加速度。观察者的眼镜位于抛物面最低点正上方某处,保持位置不变,然后使容器停转,等到液面静止后,发现与稳定旋转时相比,看到的眼睛的像大小、正倒都无变化。求人眼位置至稳定旋转水银面最低点的距离。

图1-14 转动和静止时的水银面
分析:本题有3个关键点:首先是大的抛物面的近轴部分近似于球面,可用球面反射的物像公式;其次确定两次观察时反射面之间的距离,即要计算出平面表面与抛物面表面顶尖之间的距离,也就是要计算抛物面下水银的体积;最后看到的像的大小都相同,不是指像的大小相同,而是像对眼睛的视角相同。
解:抛物面的焦点就是球面成像的焦点,由于抛物线方程为

可知其焦点为
对于抛物面顶点的平面之上的水银体积,可以采用积分方法计算。取一半径为r的薄壁圆筒,筒壁的高为

圆筒的底面积为dS=2πrdr,则此圆筒壁的体积为dV=zdS=2πzrdr。
上述水银的体积为

当抛物面成为平面时,圆柱的高为

这就是平面与抛物面顶点间的距离。
设眼睛到抛物面顶点的距离为s,眼睛的大小为y,则抛物面成像的像距为

而像的大小为

像对眼睛的张角为

眼睛到平面的距离为s2=s-z0,经平面成像,像距为s′2=-(s-z0),像的大小仍为y,则对眼睛的张角为

由题可知,φ1=φ2,因此有

即为

带入数据得到

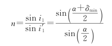
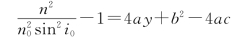
【例题3】 求光线经过棱镜折射的偏向角,讨论出现最小偏向角的条件,并求出最小偏向角。已知棱镜的顶角为α,折射率为n。
解:如图1-15所示,设光线从棱镜的左侧面入射,入射角、折射角分别为
在棱镜右侧面,入射角、折射角分别为
光线的偏向角是指出射光线相对于入射光线偏转的角度,即图中的∠δ。
如图1-15所示,棱镜的两棱边与两条棱的法线构成一个四边形AEDF,其中

在△EDF内有

因此有

因此在△EFG中,偏向角

最小偏向角即是要求
,然而

所以

而在棱镜的两侧面,折射角与入射角之间的关系式为
因此可得

即为

而根据之前的结论,可得出
,因此式(1)可表示为

即为

上式成立的条件是
,对应的有
如图1-15所示。此时有

此时可得最小的偏向角为

若测出最小偏向角δmin,由于此时

因此棱镜的折射率计算结果为


图1-15 光在三棱镜中的折射
【例题4】 光线在媒质中传播的路径是抛物线,试讨论媒质折射率分布的特征以及光线的入射方式。
解:若媒质的折射率沿着y方向渐变,则光线的方程为

设在直角坐标系中,抛物线方程为

则

于是可得

结合式(1)、式(2),有

即得出

①当a>0时,此时是开口向上的抛物线,如图1-16(a)所示,式(3)可以表示成

光线从外界射入,入射方式不同,抛物线的形状也会不同。
②当a<0时,此时是开口向上的抛物线,如图1-16(b)所示,式(3)可以表示成

光线从外界射入,入射方式不同,抛物线的形状也会不同。

图1-16 光线的径迹是抛物线
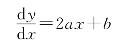
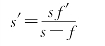
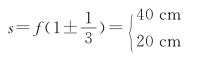
【例题5】 沿直线移动的点光源经f=30cm的凸透镜成像,该点光源以与光轴成60°角穿过光轴时,像以30°角穿过光轴,计算这一瞬间光源到透镜的距离。
解:若物运动,像也会相应运动,应严格按照速度的定义解题,速度是在短时间内位移与时间的比值。下面用物像关系求解本题。
如图1-17所示,设穿过光轴的瞬间,物距、像距分别是s、s′,根据高斯公式可有

物距改变

即为

可以将式(1)作为薄物成像的纵向放大率,即为沿着光轴的方向。
由于物点的运动与光轴成某一角度,可将其速度分解为纵向和横向。假定物点运动的时间为Δt。
在纵向,像与物的速度分量的关系是

而在横向,两速度分量之间的比值就是横向放大率,即

根据题中所给的条件

利用式(2)和式(3),可以得出

即为

解得

因此当s=40cm时,它是实像;而当s=20cm时,它是虚像。

图1-17 运动的物像之间的位移关系
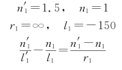
【例题6】 一平凸透镜(n=1.5),焦距为50mm,凸面镀反射膜,一个高为5mm的物体位于透镜前150mm处,如图1-18所示。求经过该透镜所成像的位置、大小、正倒和虚实。

图1-18 物与平凸透镜位置关系示意图
解:此题可以采用逐次成像法求解,也可以采用组合透镜法求解。
方法一:
采用单折射球面逐次成像法计算,先求透镜球面的半径,以透镜中心为原点,取向右为正方向。根据
可得r=-25mm。
2
先计算光线经过第一面成像透射,有

可得

再计算光线经过第二面成像反射,有

计算得

然后再计算光线从透镜中折射出来的情况

计算得

对于整个系统来说

因此,像位于透镜前8.82mm处,大小为0.295mm,是一个倒立缩小的实像。
方法二:
采用组合透镜法,先把两透镜组合,再由球镜面成像来求解。
先求组合透镜焦距,套用公式

计算得

根据透镜的高斯成像关系

计算得

再根据球面镜反射成像,有

计算得

对整个系统而言

因此,像位于透镜前8.82mm处,大小为0.295mm,是一个倒立缩小的实像。两种方法都可以使用,并且结果相同。
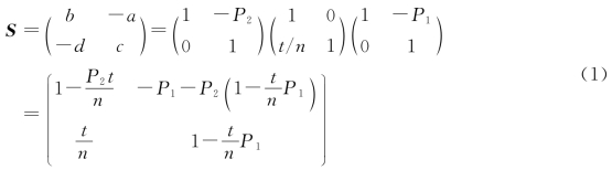
【例题7】 如图1-19所示,求厚透镜的系统矩阵,并推导出薄透镜和厚透镜的成像公式。

图1-19 傍轴光线通过一厚度为t的厚透镜的情况
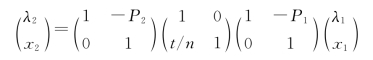
解:考虑一个厚度为t、媒质折射率为n的厚透镜,如图1-19所示,令R1和R2为两界面的曲率半径,假设光线射到第一界面上的点P,从第二界面上的点Q射出,令光线在点P和点Q的坐标分别是

此式中的λ1和λ2为光线在点P和点Q离轴的距离。从点P到点Q,光线经历了两次折射(第一次在第一界面,第二次在第二界面)和一次折射率为n的媒质里距离为t的平移(讨论傍轴光线时,点P和点Q之间的距离可以近似为t),所以有

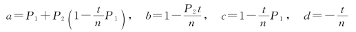
其中

分别表示两个折射面的光焦度。据此,系统矩阵为

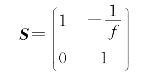
对于薄透镜,t→0,所以其系统矩阵为

因此,对于薄透镜有

将上面的a、b、c和d代入公式,可得

或者

或者

此式中有

f即为透镜的焦距。式(2)即为薄透镜公式,因此,薄透镜的系统矩阵是

对于厚透镜,根据式(1)有

将a、b、c和d代入公式,可以算得成像公式。