1.1 知识要点
1.光程
光程:光线在媒质中通过的路程和该媒质折射率的乘积。它将相同时间内光在介质中走过的路程折合到真空中。
光程差:光线在通过不同介质之后,两段光程之间的差值,用δ表示。
相位差
多层介质时光程的定义为:
如图1-1所示。
非均匀介质时光程的定义为
,如图1-2所示。

图1-1 多层介质光程示意图

图1-2 非均匀介质光程示意图
2.费马原理
费马原理:A、B两点之间光线的实际路径是光程平稳的路径。从数学上表示为

所谓平稳是指在A、B两点间光线传播的实际路径,与任何其他可能路径相比其光程为极值,极值可以是极大值、极小值、拐点取值或恒定值。
3.费马原理的几种应用
费马原理的几种应用如下:
①折射定律的证明;
②等光程性;
③光线弯曲与光线方程;
④自聚焦光纤中的模式色散。
4.棱镜与角色散
①棱镜是由透明介质(如玻璃)做成的棱柱体,截面呈三角形的棱镜叫三棱镜。棱镜的折射面和反射面统称工作面,两工作面的交线称为棱(如图1-3所示),垂直棱的截面称为主截面(如图1-4所示)。当光线可逆,即i′1=i′2时,偏向角δ最小,光线平行于底面。

图1-3 三棱镜结构示意图

图1-4 棱镜主截面示意图
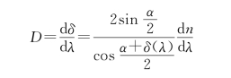
②棱镜角色散:基本原理如图1-5所示。偏向角δ对波长λ的微商称为棱镜的角色散本领(用D表示),公式表示为


图1-5 棱镜角色散基本原理示意图
5.球面折射成像
球面折射成像的基本原理如图1-6所示。
(1)符号规定
①沿轴线段:规定光线的方向自左向右,以折射面顶点O为原点,如顶点到光线与光轴交点或球心的方向和光线传播方向相同,则其值为正,反之为负。
②垂轴线段:以光轴为基准,在光轴以上为正,在光轴以下为负。
③光线与光轴的夹角:用由光轴转向光线所形成的锐角度量,顺时针为正,逆时针为负。
④光线与法线的夹角:由光线以锐角方向转向法线,顺时针为正,逆时针为负。
⑤光轴与法线的夹角:由光轴以锐角方向转向法线,顺时针为正,逆时针为负。
⑥折射面间隔:由前一面的顶点到后一面的顶点,顺光线方向为正,逆光线方向为负,在折射系统中,d恒为正。
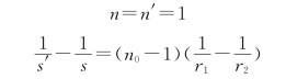
(2)成像公式
高斯公式:

牛顿公式:

其中,式中各物理量符号如图1-7所示。

图1-6 球面折射成像的基本原理示意图

图1-7 球面折射成像各物理量表示图
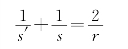
6.球面反射成像
(1)物像距公式
物像距公式:

其中,式中各物理量符号如图1-8所示。

图1-8 球面反射各物理量表示图
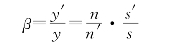
(2)傍轴成像放大率
①横向放大率
横向放大率亦称垂轴放大率,像高与物高之比,也就是像与物沿垂轴方向的长度之比,用β表示。它表示物经光学系统所成的像在垂轴方向上的放大程度及取向,如图1-9所示,公式表示为

当n、n′固定时
,此时像与物相似。

图1-9 球面反射成像横向放大率求解示意图
当β>0时,y′与y同号,s′与s同号,像与物在介质的同侧。
当β<0时,y′与y异号,s′与s异号,像与物在介质的两侧。
②角放大率
角放大率表示折射球面将光束变宽或变细的能力,如图1-10所示。公式表示为

上式表明,角放大率只与共轭点的位置有关,而与光线的孔径角无关。

图1-10 球面反射成像角放大率求解示意图
③拉格朗日-亥姆霍兹恒等式

7.薄透镜成像
(1)物像距公式
如图1-11所示,对于空气中的薄透镜:

(2)作图法
①通过第一主焦点的光线→平行于光轴。
②平行于光轴的光线→通过第二主焦点。
③通过透镜中心的光线→不改变方向。
(3)放大率
如图1-12所示,其横向放大率为


图1-11 薄透镜成像基本原理示意图

图1-12 薄透镜成像横向放大率求解示意图