1
建筑力学
1.8.1 附录A 截面图形的几何性质
附录A 截面图形的几何性质

A-1 截面的形心位置及静矩

任意平面几何图形如图A-1所示。在其上取面积微元dA,该微元在xOy坐标系中的坐标为x、y。定义下列积分

(A-1)Sx=∫Ayd A,Sy=∫Axd A

式中:Sx、Sy——图形对于x轴和y轴的截面一次矩或静矩,单位为m3

图1

如果将d A视为垂直于图形平面的力,则ydA和zdA分别为dA对于z轴和y轴的力矩;Sx和Sy则分别为dA对z轴和y轴之矩。图A-1所示图形的静矩与形心图形几何形状的中心称为形心,若将面积视为垂直于图形平面的力,则形心即为合力的作用点。

设x C、y C为形心坐标,则根据合力之矩定理有

xCSy=A Sx=Ay C{(A-2)

AA=∫Ayd Ay C=■Sx■AA=■∫Axd Ax C=Sy (A-3)

这就是图形形心坐标与静矩之间的关系。

根据上述定义可以看出以下两点。

(1)静矩与坐标轴有关,同一平面图形对于不同的坐标轴有不同的静矩。对某些坐标轴静矩为正;对另外某些坐标轴则为负;对于通过形心的坐标轴,图形对其静矩等于零。

(2)如果已经计算出静矩,就可以确定形心的位置;反之,如果已知形心位置,则可计算图形的静矩。

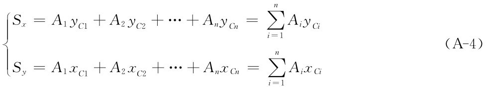
在实际计算中,对于简单的、规则的图形,其形心位置可以直接判断。例如矩形、正方形、圆形、正三角形等的形心位置是显而易见的。对于组合图形,则先将其分解为若干个简单图形(可以直接确定形心位置的图形);然后由式(A-2)分别计算它们对于给定坐标轴的静矩,并求其代数和;再利用式(A-3),即可得组合图形的形心坐标,即

■ Sx=A1y C1+A2 n y C2+…+An■■Sy=A1x C1+A2 n i=1 Aiy Ciy Cn=∑(A-4) x C2+…+An x Cn=∑AixCi i=1
x C=Sy ∑n Aix Ci■ A=n i=1■∑i=1 n∑i=1 Ai (A-5) Aiy Ci A=y C=Sx■∑i=1 n Ai

A-2 惯性矩、极惯性矩、惯性积、惯性半径

图A-1中的任意图形,以及给定的x Oy坐标,定义Ix、Iy

Ix=∫Ay2d A(A-6)
Iy=∫Ax2d A(A-7)

式中:Ix、Iy——图形对于x轴和y轴的截面二次轴矩或惯性矩。

定义IP

IP=∫Ar2d A(A-8)

式中:IP——图形对于点O的截面二次极矩或极惯性矩。

定义Ixy

Ixy=∫Axyd A(A-9)

式中:Ixy——图形对于通过点O的一对坐标轴x、y的惯性积。

定义:ix、iy

ix=I■x A,iy=I■y A

式中:ix、iy——图形对于x轴和y轴的惯性半径。

根据上述定义可知以下几点。

(1)惯性矩和极惯性矩恒为正;而惯性积则由于坐标轴位置的不同,可能为正,也可能为负。三者的单位均为m4或mm4

(2)因为r2=y2+x2,所以由上述定义不难得出

IP=Ix+Iy (A-10)

(3)根据极惯性矩的定义式(A-8),以及图A-2中所示的微面积取法,不难得到圆截面对其中心的极惯性矩为

IP=πd4 32 (A-11)
IP=πR4 2 (A-12)

式中:d——圆的直径;

R——圆的半径。

类似地,还可以得圆环截面对于圆环中心的极惯性矩为

IP=πD4 32 (1-α4), α=dD (A-13)

式中:D——圆环外径;

d——圆环内径。

(4)根据惯性矩的定义式(A-6)、(A-7),注意微面积的取法(见图A-3),不难求得矩形对于平行其边界的轴的惯性矩为

图A-2

图A-3

b Ix=h3 12, Iy=hb3 12 (A-14)

根据式(A-10)、(A-11),注意到圆形对于通过其中心的任意两根轴具有相同的惯性矩,便可得到圆截面对于通过其中心的任意轴的惯性矩均为

Ix=Iy=πd4 64 (A-15)

对于外径为D、内径为d的圆环截面有

Ix=Iy=πD4 64 (1-α4) α=dD (A-16)

应用上述积分,还可以计算其他各种简单图形对于给定坐标轴的惯性矩。

必须指出,对于由简单几何图形组合成的图形,为避免复杂数学运算,一般都不采用积分的方法计算它们的惯性矩,而是利用简单图形的惯性矩计算结果以及图形对于平行轴惯性矩之间的关系,由求和的方法求得。

A-3 惯性矩与惯性积的移轴定理

图A-4中所示的任意图形,在坐标系x Oy系中,对于x、y轴的惯性矩和惯性积为

Ix=∫Ay2d A,Iy=∫Ax2d A

图A-4

Ixy=∫Axyd A

另有一坐标系x1Oy1,其中x1和y1分别平行于x和y轴,且两者之间的距离分别为a和b。

所谓移轴定理是指图形对于互相平行轴的惯性矩、惯性积之间的关系。即通过已知一对坐标轴的惯性矩、惯性积,求图形对另一对坐标轴的惯性矩与惯性积。

下面推证两者间的关系。

根据平行轴的坐标变换,有

x1=x+b

y1=y+a

将其代入下列积分有

Ix1=∫Ay21d A,Iy1=∫Ax21d A
Ix1y1=∫Ax1y1d A

2 Ix1=∫A(y+a)d A
Iy1=∫A(x+b)2d A
Ix1y1=∫A(y+a)(x+b)d A

展开后,并利用式(A-2)、式(A-3)中的定义,得

■Ix1=Ix+2a Sx+a2A■Iy1=Iy+2b Sy+b2A (A-17)■Ix1y1=∫AIxy+a Sy+b Sx+ab A

如果x、y轴通过图形形心,则上述各式中的Sx=Sy=0。于是得

+ab AIx1y1=Ixy Ix1=Ix+a2A Iy1=Iy+b2A■■■(A-18)

此即关于图形对于平行轴惯性矩与惯性积之间关系的移轴定理。其中,式(A-18)表明以下几点。

(1)图形对任意轴的惯性矩,等于图形对于与该轴平行的形心轴的惯性矩,加上图形面积与两平行轴间距离平方的乘积。

(2)图形对于任意一对直角坐标轴的惯性积,等于图形对于平行于该坐标轴的一对通过形心的直角坐标轴的惯性积,加上图形面积与两对平行轴间距离的乘积。

(3)因为面积及a2、b2项恒为正,故自形心轴移至与之平行的任意轴,惯性矩总是增加的。

a、b为原坐标系原点在新坐标系中的坐标,故两者同号时ab A为正,异号时为负。所以,移轴后惯性积有可能增加也有可能减少。