1
建筑力学
1.7.3.3 3.3 多结点力矩分配法——渐进运算
3.3 多结点力矩分配法——渐进运算

(1)锁住。加入刚臂,锁住刚结点,将体系转化成一组单跨超静定梁,计算各杆固端弯矩M,由结点力矩平衡方程求解刚臂内的约束力矩,如图6-70(a)所示。图6-70(b)与原结构的差别是:在受力上,结点B、C上多了不平衡力矩MB、MC;在变形上,结点B、C不能转动。

(2)放松结点B。为了取消结点B的刚臂,放松结点B(结点C仍锁住),在结点B加上-MB,如图6-70(c)所示,此时ABC部分只有一个角位移,并且受结点集中力偶作用,可按基本运算进行力矩分配和传递。结点B处于暂时的平衡状态。此时C点的不平衡力矩为MC+M

图6-70

(3)放松结点C。为了取消结点C的刚臂,放松结点C,在结点C加上-(MC+M),如图6-70(d)所示,为了使BCD部分只有一个角位移,将结点B再锁住,按基本运算进行力矩分配和传递。结点C处于暂时的平衡状态。

(4)传递力矩。传递力矩的出现,打破了B点的平衡,B点又有了新的约束力矩M,重复(2)、(3)两个步骤,经多次循环后各结点的约束力矩都趋于零,恢复到了原结构的受力状态和变形状态。一般2~3个循环就可获得足够的精度。

(5)叠加。最后杆端弯矩M=∑M分配+∑M传递+MF

【注意】

①多结点结构的力矩分配法得到的是渐近解。

②首先从结点不平衡力矩较大的结点开始,以加速收敛。

③不能同时放松相邻的结点(因为两相邻结点同时放松时,它们之间的杆的转动刚度和传递系数不能确定);可以同时放松所有不相邻的结点,这样可以加速收敛。

④每次要将结点不平衡力矩变号分配。

⑤结点i的不平衡力矩Mi总等于附加刚臂上的约束力矩,可由结点平衡方程来求解。

在第一轮第一个分配结点:Mi=∑MF-M(结点力偶荷载以顺时针为正)

在第一轮其他分配结点:Mi=∑MF+M-M(结点力偶荷载以顺时针为正)

以后各轮的各分配结点:Mi=M

【例6-22】 试用力矩分配法计算图6-71(a)所示的刚架,并作M图。

图6-71

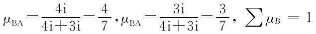
【解】 (1)计算分配系数。

杆AB和BC的线刚度均为

EI i=l

结点B处各杆端转动刚度为

SBA=4i,SBC=3i

分配系数为

μBA=4i4i+3i=47,μBA=3i4i+3i=37,∑μB=1

(2)计算固端弯矩。

在结点B加上附加刚臂(见图6-71(b))由荷载产生的固端弯矩为

MFAB=-Pl100×6 8=-MFBA=Pl kN·m=-75kN·m 8 100×6 8=MFBC=-ql 2 kN·m=75kN·m 8 10×62 8=- kN·m=-45kN·m 8

由结点B平衡求得附加刚臂上的反力矩,即结点B的不平衡力矩为

MB=MBA+MBC=(75-45)kN·m=30kN·m

(3)分配、传递弯矩。

原结构结点B处并没有附加刚臂,也不存在不平衡力矩。为了与原结构相同,抵消约束力矩MB的作用,在结点B处施加一个与MB大小相等转向相反的外力矩,即-MB

分配弯矩为

MBA=47×(-MB)=-120kN·m 7 MBC=37×(-MB)=-90kN·m 7

传递弯矩为

(MAB=12MBA=-12×1207)kN·m=-607kN·m

MCB=0

(4)计算各杆端最后弯矩,画出结构弯矩图,如图6-72所示。

图6-72

上述计算过程可用表6-3来表示。

表6-3 例6-22的计算过程

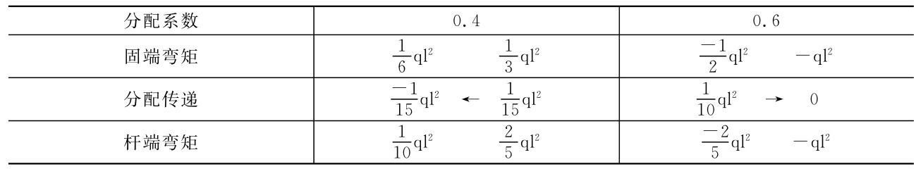
【例6-23】 用力矩分配法作图6-73(a)所示结构的弯矩图。

图6-73

【解】 转动刚度为

SBA=2EIl, SBC=3×EIl

分配系数为

SBA μBA=SBA+SBC=0.4, μBC=SBC=0.6 SBA+SBC

固端弯矩为

MFAB=1 6 ql 2, MFBA=1 3 ql 2, MFCB=-ql 2, MFBC=-1 2 ql 2

不平衡力矩为

MB=MFBA+MFBC=-1 6 ql 2

被分配力矩为

M=-MB=1 6 ql 2

分配弯矩为

l 2, Mq15′BA=μABM=1 ′BC=μBCM=110 ql 2M

传递弯矩为

M′AB=-M′BA=-1 15 ql 2

杆端弯矩为

将同一端弯矩进行叠加

由区段叠加法作最终弯矩图,如图6-73(c)所示。

上述计算过程可用表6-4来表示。

表6-4 例6-23的计算过程

复习题

1.试确定图6-74所示各结构的超静定次数。

图6-74

2.试用力法计算图6-75所示的超静定梁,并绘出M图、FQ图。

图6-75

3.试用力法计算图6-76所示结构,并绘其内力图。

图6-76

4.试用力法计算图6-77所示结构,并绘出M图。

图6-77

5.试用力法求解图6-78所示超静定桁架,并计算1、2杆的内力。设各杆的EA均相同。

图6-78

6.试用力法计算图6-79所示组合结构,求出链杆轴力并绘出M图。

图6-79

7.试利用对称性计算图6-80所示结构,并绘出M图。

图6-80

8.试绘出图6-81所示结构因支座移动产生的弯矩图。设各杆EI相同。

图6-81

9.图6-82所示平面链杆系各杆l及EA均相同,杆AB的制作长度短了Δ,现将其拉伸(在弹性范围内)拼装就位,试求该杆轴力和长度。

10.刚架各杆正交于结点,荷载垂直于结构平面,结构如图6-83所示,各杆为相同圆形截面,G=0.4E,试作弯矩图和扭矩图。

图6-82

图6-83

11.试判断图6-84所示超静定结构的弯矩图形是否正确,并说明理由。

图6-84

12.试求图6-85所示等截面半圆形两铰拱结构的支座水平推力,并画出M图。设EI=常数,并只考虑弯曲变形对位移的影响。

图6-85

13.位移法基本未知量选取的原则是什么?为何将这些基本未知位移称为关键位移?

14.试说出位移法方程的物理意义,并说明使用位移法时是如何运用变形协调条件的。

15.若考虑刚架杆件的轴向变形,位移法基本未知量的数目有无变化?如何变化?

16.试确定图6-86所示结构的位移法基本未知量数目,并绘出基本结构。

图6-86

17.试用位移法分析图6-87所示结构,并绘出其内力图。

图6-87

18.试用位移法分析图6-88所示结构,并绘出M图。

19.试分析图6-89所示结构内力的特点,并说明原因。若考虑杆件的轴向变形,结构内力有何变化?

图6-88

图6-89

20.试分析图6-90所示具有牵连位移关系的结构,并绘出M图。

图6-90

续图6-90

21.试不经计算迅速画出图6-91所示结构的弯矩图形。

图6-91

22.试分析图6-92所示有剪力静定杆的刚架,并绘出M图。

图6-92

23.试利用对称性分析图6-93所示刚架,并绘出M图。

图6-93

24.试计算图6-94所示结构在支座位移作用下的弯矩,并绘出M图。

图6-94

25.试用混合法作图6-95所示刚架的M图。

图6-95