1
建筑力学
1.7.1.2 1.2 力法原理和力法方程
1.2 力法原理和力法方程

1.2.1 力法基本原理

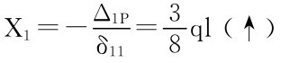
力法是计算超静定结构最基本的方法。下面通过一个简单的例子来说明力法的基本原理。

如图6-11(a)所示为一单跨超静定梁,它是具有一个多余联系的超静定结构。如果把支座B去掉,在去掉多余联系B支座处加上多余未知力X1,原结构就变成静定结构,说明它是一次超静定结构。此时梁上(见图6-11(b))作用有均布荷载q和集中力X1,这种在去掉多余联系后所得到的静定结构,称为原结构的基本结构,代替多余联系的未知力X1称为多余未知力。如果能设法求出符合实际受力情况的X1,也就是支座B处的真实反力,那么,基本结构在荷载和多余力X1共同作用下的内力和变形就与原结构在荷载作用下的情况完全一样,从而将超静定结构问题转化为静定结构问题。

如图6-11(b)所示的基本结构上的B点,其位移应与原结构相同,即ΔB=0。这就是原结构与基本结构内力和位移相同的位移条件。基本结构上同时作用有荷载和多余未知力X1,称其为基本体系。我们可以把基本体系分解成分别由荷载和多余未知力单独作用在基本结构上的这两种情况的叠加(见图6-11(c)和图6-11(e)的叠加)。

用Δ11表示基本结构在X1单独作用下B点沿X1方向的位移,如图6-11(c)所示,用δ11表示当X1=1时B点沿X1方向的位移,所以有Δ11=δ11X1。这里δ11的物理意义为:基本结构上,由于X1=1的作用,在X1的作用点,沿X1方向产生的位移。

用Δ1P表示基本结构在荷载作用下B点沿X1方向的位移。根据叠加原理,B点的位移可视为基本结构上,上述两种位移之和,即

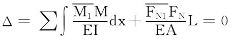
Δ1P=δ11X1+Δ1P=0

δ11X1+Δ1P=0 (6-1)

式(6-1)是含有多余未知为X1的位移方程,称为力法方程。式中:δ11——系数,Δ1P——自由项,它们都表示静定结构在已知荷载作用下的位移。利用力法方程求出X1后就完成了把超静定结构转换成静定结构来计算的过程。

上述计算超静定结构的方法称为力法。它的基本特点就是以多余未知力作为基本未知量,根据所去掉的多余联系处相应的位移条件,建立关于多余未知力的方程或方程组,我们称这样的方程(或方程组)为力法典型方程,简称力法方程。解此方程或方程组即可求出多余未知力。

下面计算系数δ11和自由项Δ1P,有

δ11=1×1 EI2 ×l×l×2 3 ×l=l 3 3EI Δ1P=-1EI×13×ql 22×l34×l=-ql 48EI

把δ11和Δ1P代入式(6-1)得

X1=-Δ1Pδ11=38ql(↑)

计算结果X1为正值,表示开始时假设的X1方向是正确的(向上)。

多余未知力X1求出后,其内力可按静定结构的方法进行分析,也可利用叠加法来计算。即将X1=1单独作用下的弯矩图1乘以X1后与荷载单独作用下的弯矩图MP叠加。用公式可表示为

M=M1X1+MP

通过这个例子,可以看出力法的基本思路是:去掉多余约束,以多余未知力来代替,再根据原结构的位移条件建立力法方程,并解出多余未知力。这样,就把超静定问题转化为静定问题了。

由于去掉多余联系的方式不同,同一个超静定问题可能选择几个不同的基本结构。图6-12(a)就是图6-11(a)所示的单跨超静定梁的又一基本结构,其多余未知力X1是原结构固定端支座的反力偶。读者可根据位移条件列出力法方程,并按图6-12所示的图和MP图,求出系数和自由项,解出X1并作出M图,如图6-12(f)所示。应该指出:不论选用哪种基本结构,力法方程的形式都是不变的,但是力法方程中的系数和自由项的物理意义与数值的大小可能会不同。

图6-11

图6-12

1.2.2 力法典型方程

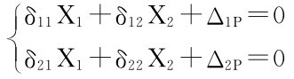
以上我们是以一次超静定梁为例来说明力法原理的,下面讨论多次超静定结构的情况。如图6-13(a)所示的刚架为二次超静定结构。下面以B点支座的水平和竖直方向反力X1、X2为多余未知力来确定基本结构,如图6-13(b)所示。按上述力法原理,基本结构在给定荷载和多余未知力X1、X2共同作用下,其内力和变形应等同于原结构的内力和变形。原结构在铰支座B点处沿多余力X1和X2方向的位移(或称为基本结构上与X1和X2相应的位移)都应为零,即

Δ2{=0Δ1=0 (6-2)

式(6-2)就是求解多余未知力X1和X2的位移条件。

图6-13

如图6-14所示,Δ1P表示基本结构上多余未知力X1的作用点沿其作用方向,由于荷载单独作用时所产生的位移;Δ2P表示基本结构上多余未知力X2的作用点沿其作用方向,由于荷载单独作用时所产生的位移;δij表示基本结构上多余未知力Xi的作用点沿其作用方向,由于=1单独作用时所产生的位移。根据叠加原理,式(6-2)可写成以下形式

{Δ1=δ11X1+δ12X3+Δ1Ρ=0 (6-3) Δ2=δ21X1+δ22X3+Δ2Ρ=0

图6-14

式(6-3)是为求解多余未知力X1和X2所需要建立的力法方程。其物理意义是:在基本结构上,由于全部的多余未知力和已知荷载的共同作用,在去掉多余联系处的位移应与原结构中相应的位移相等。在本例中等于零。

在计算时,我们首先要求得式(6-3)中的系数和自由项,然后代入式(6-3),即可求出X1和X2,剩下的问题就是静定结构的计算问题了。

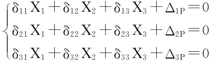
如图6-15(a)所示的三次超静定刚架,我们将原结构的横梁在中间处切开,取这样切为两半的结构作为基本结构,如图6-15(b)所示。由于原结构的实际变形是处处连续的,显然,同一截面的两侧不可能有相对转动或移动。因此,在荷载和各多余力的共同作用下,基本结构切口两侧的截面沿各多余力指向的相对位移都应为零,即

Δ3■ =0 Δ2=0■Δ1=0■(6-4)

图6-15

式(6-4)就是求解多余未知力X1、X2和X3的位移条件。根据叠加原理,式(6-4)可改写成

■δ11X1+δ12X2+δ13X3+Δ1P=0■■δ21X1+δ22X2+δ23X3+Δ2P=0(6-5) δ31X1+δ32X2+δ33X3+Δ3P=0

式(6-5)就是求解多余未知力X1、X2和X3所需要建立的力法方程。因为X1、X2和X3都是成对的未知力(或力偶),所以式(6-5)中与它们相应的δ及Δ应理解为相对位移(相对移动或相对转动)。

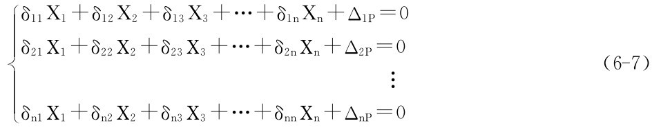
1.2.3 力法一般方程的建立

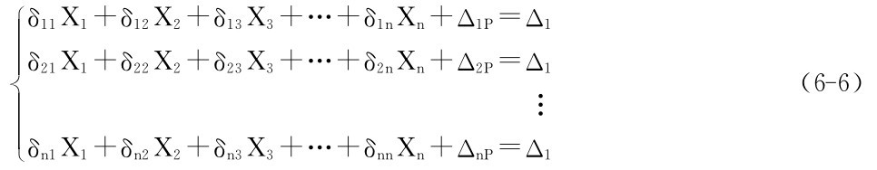
用同样的分析方法,我们可以建立力法的一般方程。对于n次超静定结构,用力法计算时,可去掉n个多余联系,得到静定的基本结构,在去掉的多余联系处代以n个多余未知力。相应也就有n个已知的位移条件Δi(i=1,2,…,n)。据此可以建立n个关于多余未知力的方程

■δ11X1+δ12X2+δ13X3+…+δ1nXn+Δ1P=Δ1 δ21X1+δ22X2+δ23X3+…+δ2nXn+Δ2P=Δ1■■δn1X1+δn2 (6-6)X2+δn3X3+…+δnnXn+Δn P=Δ1

当与多余力相应的位移都等于零,即Δi=0(i=1,2,…,n)时,则式(6-6)即变为

■δ11X1+δ12X2+δ13X3+…+δ1nXn+Δ1P=0 δ21Χ1+δ22Χ2+δ23Χ3+…+δ2nΧn+Δ2P=0■■(6-7)δn1Χ1+δn2Χ2+δn3Χ3+…+δnnΧn+Δn P=0

式(6-6)或式(6-7)就是力法方程的一般形式,通常称为力法典型方程。

在以上的方程组中,位于从左上方至右下方的一条主对角线上的系数δii(i=j)称为主系数,主对角线两侧的其他系数δii(i≠j)称为副系数,最后一项Δi P称为自由项。所有系数和自由项都是基本结构上与某一多余未知力相应的位移,并规定与所设多余未知力方向一致为正。由于主系数δii代表由于单位力Xi=1的作用,在其本身方向所引起的位移,它总是与该单位力的方向一致,故总是正的。而副系数δij(i≠j)则可能为正、为负或为零。根据位移互等定理,有δij=δji,它表明力法方程中位于对角线两侧对称位置的两个副系数是相等的。

力法方程在组成上具有一定的规律,其副系数具有互等的关系。无论是哪种n次超静定结构,也无论其静定的基本结构如何选取,只要超静定次数是一样的,则方程的形式和组成就完全相同。因为基本结构是静定结构,所以力法方程和式(6-6)及式(6-7)中的系数和自由项都可按静定结构求位移的方法求得。对于梁和刚架,可按下列公式或图乘法计算:

■δii=■∑∫M2i EI ds δij=∑∫MiMjEIds(6-8) Δi P=■ ∑∫MiMPEIds

式中:和MP——在Xi=1、Xj=1和荷载单独作用下基本结构中的弯矩。

从力法方程中解出多余力Xi(i=1,2,…,n)后,即可按照静定结构的分析方法求原结构的反力和内力,或者按下述叠加公式求出弯矩

M=X1M1+X2M2+…+XnMn+MP (6-9)

再根据平衡条件即可求其剪力和轴力。

根据以上所述,用力法计算超静定结构的步骤可归纳如下。

(1)去掉结构的多余联系得到静定的基本结构,并以多余未知力代替相应的多余联系的作用。在选取基本结构的形式时,以使计算尽可能简单为原则。

(2)根据基本结构在多余力和荷载共同作用下,在去掉多余联系处的位移应与原结构相应的位移相同的条件,建立力法方程。

(3)作出基本结构的单位内力图和荷载内力图(或写出内力表达式),按照求位移的方法计算方程中的系数和自由项。

(4)将计算所得的系数和自由项代入力法方程,求解各多余未知力。

(5)求出多余未知力后,按分析静定结构的方法,绘出原结构的内力图,即最后内力图。最后内力图也可以利用已作出的基本结构的单位内力图和荷载内力图按叠加原理求得。

1.2.4 用力法计算超静定结构

1.梁和刚架

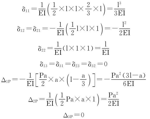
【例6-1】 试分析如图6-16(a)所示单跨超静定梁,设EI为常数。

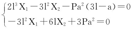
【解】 此梁具有3个多余联系,为3次超静定结构。取基本结构及3个多余力,如图6-16(b)所示。根据支座B处位移为零的条件,可以建立以下力法方程

■δ11X1+δ12X1+δ13X3+Δ1P=0■■δ21X1+δ22X2+δ23X3+Δ2P=0 δ31X1+δ32X2+δ33X3+Δ3P=0

式中:X1和X3——支座B处的竖向反力和水平反力;X2——支座B处的反力偶。

作基本结构的单位弯矩图和荷载弯矩图,如图6-16(c)、(d)、(e)、(f)所示。利用图乘法求得力法方程的各系数和自由项为

图6-16

δ11=1EI(1 2 ×l×l×2 3×l)=l33EI δ12=δ21=-11 EI2()l×l×1=-l 22EI δ22=1(l×1×1)=l EIEI δ13=δ31=δ23=δ32=0 Δ1P=-1Pa EI [Pa2(3l-a) ×a× 2 Δ2P=1=-]3)l-a(6EI EI2(1)Pa×a×1=Pa22EI Δ3P=0

关于δ33的计算分两种情况:不考虑轴力对变形的影响时,δ33=0;考虑轴力对变形的影响时,δ33≠0。

将以上各值代入力法方程,而在力法力程前两式中消去后,得

■2l3X1-3l2X2-Pa2(3l-a)=0■■-3l2X1+6l X2+3Pa2=0

解以上方程组求得

X1=Pa2(l+2b) l 3, X2=Pa2b l 2

由力法方程的第三式求解X3时,可以看出,按不同的假设有不同的结果。若不考虑轴力对变形的影响(δ33=0),则第三式变为

Pa2(l+2b)Pa2b l 2+0×X3+0=00×l 3+0×

所以X3为不定值。按此假设,不能利用位移条件求出轴力。如考虑轴力对变形的影响,则δ33≠0,而Δ3P仍为零,所以X3的值为零。

用叠加公式计算出两端的最后弯矩,画出最后弯矩图,如图6-16(g)所示。

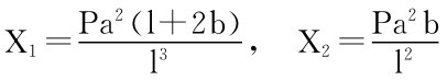
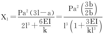
【例6-2】 试作如图6-17(a)所示梁的弯矩图。设B端弹簧支座的刚度为k,EI为常数。

图6-17

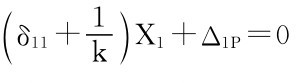
【解】 此梁是一次超静定结构,去掉支座B的弹簧联系,代以多余力X1,得到如图6-17(b)所示的基本结构。由于B处为弹簧支座,在荷载作用下弹簧被压缩,B处向下移动Δ=- (负号表示移动方向与多余力X1的方向相反),据此建立如下力法方程

δ11X1+Δ1P-1X1=0 k

或改写成

δ11+1( k)X1+Δ1P=0

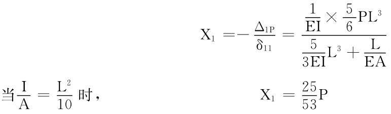
作基本结构的单位弯矩图和荷载弯矩图,利用图乘法可求得

3EI ,Δ1P=δ11=l 3Pa2(3l-a) 6EI

将以上各值代入力法方程解得

Pa2(3l-a) X1= =2l3+6EI Pa2(3b2b) l 31+k( k3EI l )3

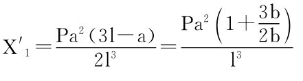
由上式可以看出,由于B端为弹簧支座,多余力X1的值不仅与弹簧刚度k值有关,而且与梁AB的弯曲刚度EI有关。当k=∞时,相当于B端为刚性支承情形,此时

Pa2(3l-a)Pa21+X′1= 2l3=(2b)3b l 3

当k=0时,相当B端为完全柔性支承(即自由端)情形,此时

X″1=0

故实际上B端多余力(即B支座处竖向反力)在X′1和X″1之间。求得X1后,根据M=X1+MP作出最后弯矩图,如图6-17(c)所示。

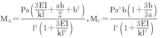
kl+MA=l 21+Pa 3EI(ab 2+b2) ( k3EI l )3 Pa3b 1+,MC=( l 31+3b3a) ( k3EI l )3

【例6-3】 用力法原理分析如图6-18(a)所示的刚架。

图6-18

【解】 此刚架是二次超静定结构,基本结构如图6-18(b)所示。力法方程为

■δ11X1+δ12X2+Δ1P=0■■δ21X1+δ22X2+Δ2P=0

作M1图、M2图和MP图,用图乘法计算系数和自由项,得

δ11=Ka3+1a2 ×2× 23K+1 a=3EI3 a=Ka3 2× 2 EI × a2δ22=K EIEI33EIa3 ,δ12=δ21=K Δ1P=-K×a2×1 EI2 qa2-1×1 EI3×12qa2×a×3 a2 × EI2 ×a=Ka3 2EI 4K+1 a=-48EI qa4 Δ2P=-KEI×a22×12qa2=-K4EIqa4

代入力法方程,解得

X1=3(K+1)2(3K+4)qa;X2= 34(3K+4)qa

最后弯矩图如图6-18(f)所示,读者按最后弯矩图作出Fs图。

【例6-4】 试作如图6-19(a)所示刚架的弯矩图。设EI为常数。

【解】 此刚架是三次超静定结构,去掉支座B处的三个多余联系代以多余力X1、X2和X3,得到如图6-19(b)所示的基本结构。根据原结构在支座B处不可能产生位移的条件,建立力法方程如下:

■δ11X1+δ12X2+δ13X3+Δ1P=0 δ21X1+δ22X2+δ23X3+Δ2P=0■■δ31X1+δ32X2+δ33X3+Δ3P=0

分别绘出基本结构的单位弯矩图和荷载弯矩图,如图6-19(c)、(d)、(e)、(f)所示。用图乘法求得各系数和自由项如下

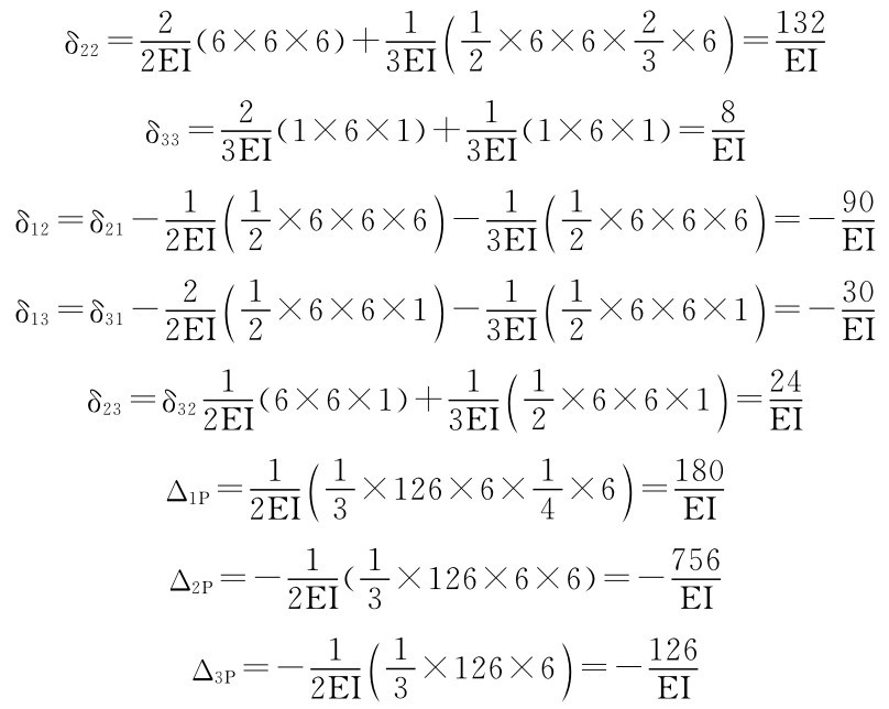
δ11=21 2EI(2 ×6×6×2 3×6)+13EI(6×6×6)=144EI

图6-19

δ22=2(6×6×6)+1 2EI δ33=2 3EI(1 2 ×6×6×2 3×6)=132EI (1×6×1)+1 3EI (1×6×1)=8 3EIEI δ12=δ21-12EI12( )×6×6×6-13EI12( )×6×6×6=-90EI δ13=δ31-22EI12( )×6×6×1-13EI12( )×6×6×1=-30EI δ23=δ3212EI(6×6×1)+13EI12( )×6×6×1=24EI Δ1P=11 2EI(3 ×126×6×1 4)×6=180EI Δ2P=-1(1 2EI3 ×126×6×6)=-756 EI Δ3P=-12EI13( )×126×6=-126EI

将系数和自由项代入力法方程,化简后得

■24X1-15X2-5X3+31.5=0-15X1+22X2+4X3-126=0■-5X1+4■X2+4X3-21=0 3

解此方程组得

X1=9kN,X2=6.3kN,X3=30.6kN

按叠加公式计算得到最后弯矩图,如图6-20所示。

图6-20

从以上例子可以看出,在荷载作用下,多余力和内力的大小都只与各杆弯曲刚度的相对值有关,而与其绝对值无关。对于同一材料构成的结构(即梁、柱的E值相同),材料的弹性模量E对多余力和内力的大小也无影响。

2.超静定桁架和排架

用力法计算超静定桁架,在只承受结点荷载时,由于在桁架的杆件中只产生轴力,故力法方程中的系数和自由项的计算公式为

■δij=∑F2Nil EA FNiFNjl■δij=∑■Δij=∑EA FNiFNPl EA (6-10)

桁架各杆的最后内力可按下式计算

FN=X1FN1+X2FN2+…+XnFNn+FNP

【例6-5】 试分析如图6-21(a)所示的桁架。设各杆EA为常数。

图6-21

【解】 此桁架是一次超静定结构。切断BC杆代以多余力X1,得到如图6-21(b)所示的基本结构。根据原结构切口两侧截面沿杆轴方向的相对线位移为零的条件,建立力法方程

δ11X1+Δ1P=0

分别求出基本结构在单位力X1=1和荷载单独作用下各杆的内力和FNP(见图6-21(c)、(d)),即可按式(6-10)求得系数和自由项

δ11=∑F2Nil EA=2EA[12×a+12×a+(-■2)2×■2a]=2a EA(2 +2■ 2) Δ1P=∑FN1FNPEA=1EA[1×P×a+1×P×a+(-■2P)2×(-■2)×■2a]=EA Pa(2 +2■ 2)

代入力法方程求得

X1=-Δ1Pδ11=-P2

各杆轴力按下式计算

FN=X1FN1+FNP

最后结果示于图6-21(e)中。

【例6-6】 用力法计算如图6-22(a)所示桁架各杆的轴力。设各杆EA为常数。

图6-22

分析 (1)本题桁架和荷载都是对称的,宜取对称的基本体系。取对称基本体系时,计算半个桁架的变形即可。

(2)计算δ11和Δ1P时,只考虑轴向变形的影响。计算半个桁架的变形时,EF杆长度可取其一半长度。最后结果为半个桁架杆件变形总和的两倍。

因取基本体系时作为多余约束的链杆已切断,基本结构在X1=1作用下,δ11中应包含切断杆的变形影响;在荷载作用下切断杆轴力为零,Δ1P中切断杆的变形影响为零。

【解】 (1)切断对称轴上的CD链杆,代以多余未知力X1,得到基本体系和基本未知量,如图6-22(b)所示。

(2)列力法方程。

δ11X1+Δ1P=0

(3)计算FN1、FNP,并求δ11、Δ1P

FN1图和FNP图如图6-22(c)、(d)所示。

F2N δ11=∑1 l=2×13.5 EAEA=27 EA Δ1P=∑FN1FNPEAl=2×630EA=1 260EA

(4)解方程。

X1=-Δ1P1 260 δ11=-27=-46.67kN

(5)利用叠加公式FN=FN1X1+FNP计算轴力。各杆轴力结果如图6-22(e)所示。

具体计算可列表进行,如表6-1所示。

表6-1 具体计算

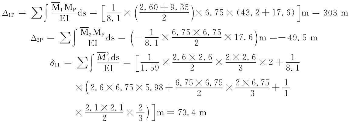
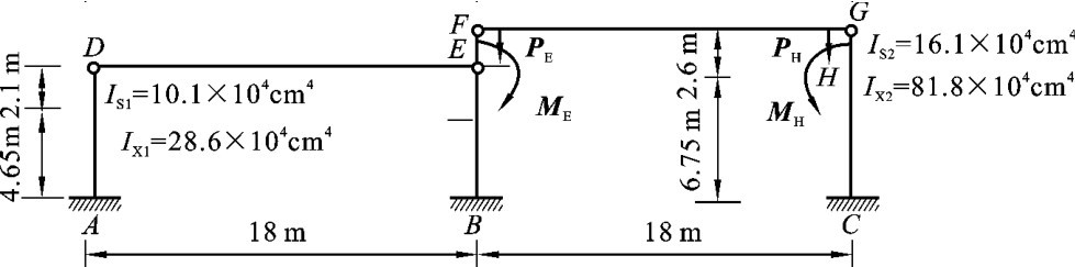
【例6-7】 如图6-23所示为两跨厂房排架的计算简图。求在图示吊车荷载作用下的内力。计算数据如下。

图6-23

(1)截面惯性矩。

左柱:上段IS1=10.1×104cm4, 下段IX1=28.6×104cm4

右柱及中柱:上段IS2=16.1×104cm4, 下段IX2=81.8×104cm4

(2)右跨吊车荷载。

竖向荷载PH=108kN,PE=43.9kN。由于PH、PE与下柱轴线有偏心距e=0.4m,因此在H、E点的力偶荷载为MH=e PH=43.2kN·m,ME=ePE=17.6kN·m。

【解】 横梁FG和DE是两端铰接的杆件,在吊车荷载作用下横梁起链杆作用,只受轴力。此排架是两次超静定结构。

取链杆FG和DE的轴力X1和X2为多余未知力。截断两个链杆的轴向约束,在切口处加上轴力X1和X2,得出基本体系如图6-24(b)所示。

图6-24

这里需要说明两点。

(1)多余未知力X1和X2都是广义力,每个广义力是由数值相等、方向相反的一对力组成的。

(2)通常说的切断一根杆件,是指在切口处把与轴力、剪力和弯矩相应的三个约束全部切断。这里说的切断杆件中的轴向约束,即指切断与轴力相应的那一个约束,另外两个约束仍然保留。如图6-24(b)所示为杆FG在切口处的详细情形。

力法基本方程为

Δ1=δ11X1+δ12X2+Δ1P=0

Δ2=δ21X1+δ22X2+Δ2P=0

这里Δ1和Δ2分别表示与轴力X1和X2相对应的广义位移,即切口处两个截面的轴向相对位移。因此,这里力法基本方程所表示的变形条件为:切口处的两个截面沿轴向保持接触,即沿轴向的相对位移为零。

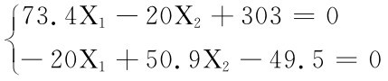
作基本结构的MP图、M1图和M2图(见图6-25(a)、(b)、(c)),由此求得自由项和系数如下(图6-24(a)中小圆圈内的数字是各杆EI的相对值)。

Δ1P=∑∫M1MPEIds=[1 Δ2P=∑∫M2MPEIds=8.1×(2.60+9.35)2 ×6.75× (-1× 6.75×6.75 2 × (43.2+17.6)]m=303m 17 8.1 δ11=∑∫M21ds EI=[1 × 2.6×2.6 .6m=-49).5m 2×2.6 1.592 ×3 ×2+1 8.1 (×2.6×6.75×5.98+6.75×6.752 ×2×6.753 +11 ×2.1×2.12 × )]23 m=73.4m
δ22=∑∫M22ds EI=[1 ×6.75×6.75 8.1 ×2.1+ 1 2 ×2×6.75 3 +1 1×2.1×2.1 2 × 2 3 δ12=δ21=2.83-1( ( × × 2.1×4.65×4.43+4.65×4.65 2 ×5.20)]m=50.9m 6.75×6.75 8.12 ×7.10m=-20m)

力法方程为

■73.4X1-20X2+303=0■■-20X1+50.9X2-49.5 =0

解方程得

X1=-4.33kN,X1=-0.73kN

在排架计算中,柱是阶梯形变成平面杆件,柱底为固定端,柱顶与屋架为铰接。通常,忽略屋架轴向变形的影响。

利用叠加公式作M图,如图6-25(d)所示。

图6-25

3.超静定组合结构

桁架是链杆体系,计算其位移时只考虑轴向力的影响。组合结构中既有链杆又有梁式杆,计算位移时,对链杆只考虑轴力的影响,而对梁式杆通常可忽略轴力和剪力的影响,只考虑弯矩的影响。

【例6-8】 如图6-26(a)所示为一次超静定的组合结构,求在图示荷载作用下的内力。各杆的刚度给定如下。

图6-26

杆AD为梁式杆: EI=1.4×104N/m,EA=1.99×106N/m

杆AC和CD为链杆: EA=2.56×105N/m

杆BC为链杆: EA=2.20×105N/m

【解】 (1)求基本体系和力法方程。

切断多余链杆BC,在切口处代以未知轴力X1,得到如图6-26(b)所示的基本体系。基本体系由于荷载和未知力在X1方向的位移应当为零,即切口处两截面的相对位移应为零。由此得力法方程

δ11X1+Δ1P=0

(2)求系数和自由项。

在基本结构切口处加单位力X1=1。各杆轴力可由结点法求得,如图6-27(a)所示。杆AD还有弯矩,1图如图6-27(b)所示。

基本结构在荷载作用下,各杆没有轴力,只有杆AD有弯矩,由集中荷载和均布荷载产生的两个MP图分别如图6-27(c)和(d)所示。

图6-27

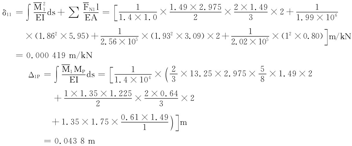
δ11=∫M21EIds+∑FN1l EA=[1 ×1.49×2.975 1.4×1.02 ×2×1.49 3 ×2+1 1.99×106  ×(1.862×5.95)+ 12.56×105×(1.932×3.09)×2+ 12.02×105×(12×0.80])m/kN Δ1P=∫M1MPEIds=[=0.000 419m/kN 1 1.4×104×(2 3×13.25×2.975×58×1.49×2+1×1.35×1.2252×0.64 2 ×+1.35×1.75×0 3 ×2 .61×1 1=0.0438m .49)]m

(3)求多余未知力。

Δ1P X1=-0.043 8 δ11=- kN=-104.5kN(压力) 0.000 419

(4)求内力。

内力叠加公式为

FNN1X1+FNP

M=1X1+MP

各杆轴力及横梁AD弯矩图如图6-28(a)、(b)所示。

(5)讨论。

由图6-28(b)可以看出,横梁AD在中点B受到下部桁架的支承反力为104.5kN,这时横梁最大弯矩为79.9kN·m。如果没有下部桁架的支承,则横梁AD为一简支梁,其弯矩图如图6-29(a)所示,其最大弯矩为148.3kN·m。可见,由于桁架的支承,横梁的最大弯矩约减少了46%。

还需指出,这个超静定结构的内力分布与横梁和桁架的相对刚度有关。如果下部链杆的截面很小,则横梁的M图接近于简支梁的M图(见图6-29(a))。如果下部链杆的截面很大,则横梁的M图接近两跨连续梁的M图(见图6-29(b))。

图6-28

图6-29

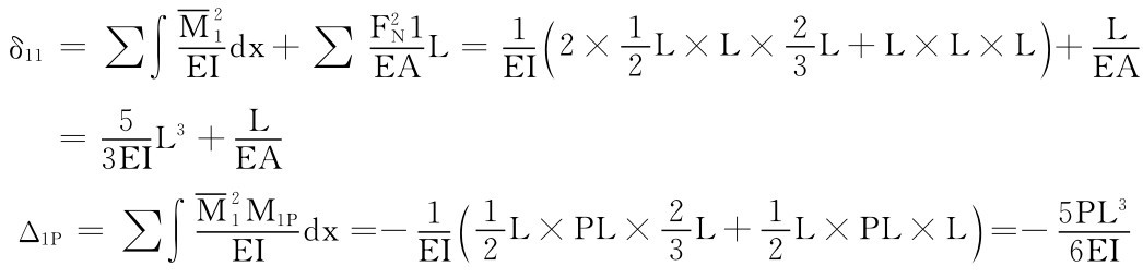
【例6-9】 用力法计算如图6-30(a)所示组合结构的链杆轴力,作M图,其中再讨论当EA→0和EA→∞时链杆轴力及M图的变化。

图6-30

【说明】

(1)组合结构是由梁式杆和链杆组成的,用力法计算时,通常切断链杆作为基本体系,以链杆轴力为基本未知量。

(2)计算系数和自由项时,注意系数中应包含切断链杆的轴向变形影响,因链杆已切断,自由项中的链杆轴向变形为零。

【解】 (1)这是一次超静定组合结构,取基本体系及相应的基本未知量,如图6-30(b)所示。

(2)力法方程为

δ11X1+Δ1P=0

(3)计算N1、M1、MP,如图6-30(c)、(d)所示。

(4)计算δ11、Δ1P

δ11=∑∫M21EIdx+∑=5L3+L 3EIEA Δ1P=∑∫M21M1P F2N1L=1 EAEI (2×1L×L×2 2 L+L×L× 3L)+LEA dx=-1 EIEI (1 2 L×PL×2L+1L×PL × 32L)=-5PL36EI

解方程得

当IA=L210时, X1=-Δ1P δ11=1×5PL3 EI6 5L3+L 3EIEA X1=53 25P

(5)作M图,如图6-30(e)所示。

(6)校核。

校核公式:(请同学自己完成。注意:Δ1的计算公式中应含有链杆的轴向变形项)。

(7)讨论。

可以看出:当EA→∞时,X1,由M=得到M图,如图6-30(f)所示。这时链杆AB相当于一刚性杆,结构可以看成是B端为固定铰支座的刚架,如图6-30(h)所示。