1
建筑力学
1.6.6.2 6.2 临界力和临界应力
6.2 临界力和临界应力

如前所述,判断压杆是否失稳,主要是看压杆受到的压力是否达到了临界力。因此,计算压杆的临界力是研究压杆稳定问题的关键。

6.2.1 压杆的临界力

1.两端铰支细长压杆的临界力

临界力是压杆处于微弯平衡状态所需的最小压力,因此求出此时所需的最小压力,即为压杆的临界力。

现在以两端铰支并受轴向压力作用的等截面直杆为例,说明确定临界力的方法。当轴向力F达到临界力时,压杆处于微弯平衡状态,如图5-26(a)所示。此时,在任一截面上存在弯矩M(x),如图5-26(b)所示,其值为

M(x)=yFcr (5-5)

图5-26

则压杆弯曲后挠曲线近似微分方程式为

d2ydx2=-M(x)EI(5-6)

将式(5-5)代入式(5-6)得

d2yy Fcr dx2=-EI (5-7)

代入式(5-7)整理得

d2y dx2+k2y=0(5-8)

解此微分方程,可得到两端铰支细长压杆的临界力为

Fcr=π2EI l 2(5-9)

式(5-9)为两端铰支细长压杆临界力的欧拉公式。当压杆各个方向的支承情况相同时,压杆将在EI值最小的纵向平面内失稳,因此式(5-9)中的I应取截面的最小形心主惯性矩Imin

2.其他杆端情况下细长压杆的临界力

上面讨论的是两端铰支的细长压杆的临界力计算。在其他杆端约束情况下,由于杆端支承形式改变,其挠曲线形状也会变化,临界力值也必然不同。而不同杆端支承情况下压杆临界力欧拉公式的推导与两端铰支压杆的推导过程相同,在这里就不一一推导,而是直接给出临界力公式,如表5-2所示。

表5-2 常见支承情况下等截面细长压杆临界力的欧拉公式

从表5-2所列的临界力公式中可以看出,临界力公式中只是分母中前面的系数不同。因此,细长压杆不同支承情况下的临界力计算公式可写成统一形式为

Fcr=π2EIπ2EI μ()l 2=l 20(5-10)

式中:l0——压杆计算长度;

μ——长度系数。

【例5-17】 一根两端铰支的No.22a工字钢压杆,长l=5m,钢的弹性模量E=200GPa,试确定此压杆的临界力。

【解】 查型钢表得No.22a工字钢的惯性矩为

Iz=3 400cm4, Iy=225cm4

Imin=225cm4

由式(5-10)可知

Fcr=π2EI l 20=π×200×109×225×10-8 52kN=177.47kN

由此可知,若轴向压力超过177.47kN时,此压杆会失稳。

【例5-18】 一长l=5m,直径d=100mm的细长钢压杆,支承情况如图5-27所示,平面内为两端铰支,在xy平面内为一端铰支一端固定。已知钢的弹性模量E=200GPa,求此钢压杆的临界力。

【解】 由于钢压杆在各个纵向平面内的抗弯刚度EI都相同,故失稳将发生在杆端约束最弱的纵向平面内,而xy平面内的杆端约束最弱,故失稳将发生在xy平面内。xy平面内的杆端约束为两端铰支,因此临界力为

图5-27

Fcr=π2EI π×200×109×π×(100×10-3) 464 l 20=52kN=387kN

6.2.2 压杆的临界应力

1.临界应力与柔度

当压杆在临界力作用下处于平衡时,其截面上的压应力为,此压应力称为临界应力,用σcr表示,即

σcr=FcrA=π2Eμ()l 2·IA(5-11)

利用惯性半径i=,则式(5-11)可写为

μl()i2 π2E μ()l 2 ·i 2=π2Eσcr= (5-12)

,则临界应力的计算公式可简化为

λ2 π2Eσcr= (5-13)

式(5-13)称为欧拉临界应力公式,是欧拉公式的另一种表达形式。称为柔度或长细比。柔度λ与i、μ、l有关,i取决于压杆的截面形状和尺寸,μ取决于压杆的支承情况。因此,柔度综合反映了压杆的长度、截面形状和尺寸,以及压杆支承情况对临界应力的影响。若由相同材料制成的压杆,其临界应力仅取决于λ,λ值越大,则σcr越小,压杆就越易失稳。

2.欧拉公式适用范围

欧拉公式的适用范围:欧拉公式是在弹性条件下推导出来的,因此,临界应力σcr不应超过材料的比例极限σp,即

σcr≤σp (5-14)

将式(5-13)代入式(5-14)得到使临界应力公式成立的柔度条件为

λ≥π pσ E■ (5-15)

若用λp表示对应于σcr=σp时的柔度值,则

λp=π pσ E■ (5-16)

显然,当λ≥λp时,欧拉公式才适用。通常将λ≥λp的杆件称为大柔度杆或细长压杆。即只有细长压杆才能用欧拉公式来计算杆件的临界力和临界应力。对于常用材料的λp值可根据式(5-16)求得。

当λ<λp时,欧拉公式不再适用,工程中对这类压杆的临界应力的计算,一般采用建立在实验基础上的经验公式,主要有直线公式和抛物线公式两种。这里仅介绍直线公式,其形式为

σcr=a-bλ  (5-17)

a和b是与材料有关的常数,为了便于查阅,现将一些材料的a、b常数列于表5-3中。

表5-3 几种材料直线公式的常数a和b

柔度很小的粗短杆,其破坏主要是应力达到材料的屈服极限σs或强度极限σb所致,其本质是强度问题。因此,对于塑性材料制成的压杆,按经验公式求出的临界应力最高值只能等于σs,设相应的柔度为λs,则

a-σs λs=b (5-18)

式中:λs——应用直线公式的最小柔度值。

λs≤λ≤λp的压杆称为中柔度杆或中长杆,λ<λs的压杆称为小柔度杆或短粗杆。

综上所述,当λ≥λp时,采用欧拉公式计算σcr;当λs≤λ≤λp时,采用经验公式计算σcr;当λ<λs时,采用强度条件计算σcr。图5-28表示临界应力σcr随压杆柔度λ变化而变化的图线,称为临界应力图。

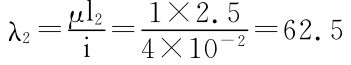
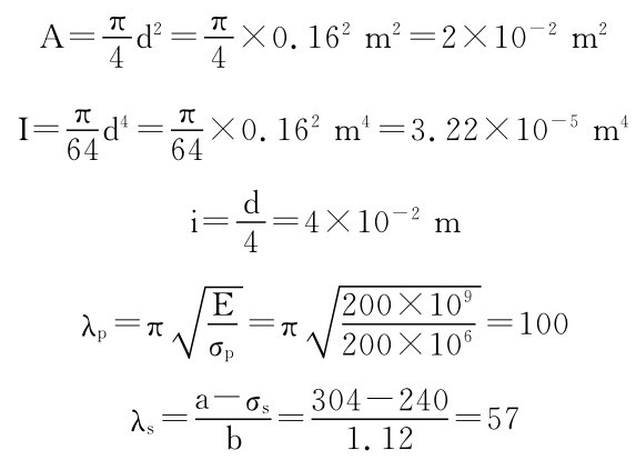
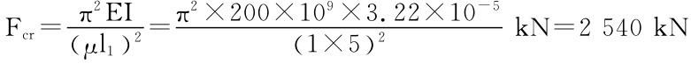
【例5-19】 三根圆截面压杆的直径均为160mm,材料均为Q235钢,E=200GPa,σp=200MPa, σs=240MPa,两端均为铰支。长度分别为l1=5m,l2=2.5m,l3=1.25m,试计算各杆的临界力。

【解】 (1)计算相关数据。

A=πd2=π 4 I=π 4 ×0.162m2=2×10-2m2 d4=π×0.162m4=3.22×10-5m4 6464 i=d 4=4×10-2m λp=π E■pσ 6=100200×10■=π 200×109 a-σs λs=304-240 b= =57 1.12

其中,Q235钢的a、b值可由表5-3查得。

(2)计算各杆的临界力。

第一根杆l1=5m,则

λ1=μl1 i=4×10-2=125 1×5

因为λ1>λp,所以此杆属于大柔度杆,应用欧拉公式计算临界力。

Fcr=π2EIπ2×200×109×3.22×10-5 l(μ)12= )1×5 2(kN=2 540kN

第二根杆l2=2.5m,则

λ2=μl21×2.5 i=4×10-2=62.5

因为λs<λ2<λp,所以第二根杆属于中柔度杆,应用直线型经验公式计算临界应力。

σcr=a-bλ=(304-1.12×62.5)MPa=234MPa

则临界力为

Fcr=σcrA=234×106×2×10-2kN=4 680kN

第三根杆l3=1.25m,则

λ3=μl31×1.25 i=4×10-2=31.25

因为λ3<λs,所以第三根杆属于小柔度杆,应用强度条件计算临界应力,具体计算过程略。

6.2.3 压杆的稳定条件及其应用

1.稳定安全系数法的压杆稳定条件

为了保证压杆的稳定性,作用在压杆上的轴向压力F不仅要小于压杆的临界力而且还要考虑到压杆应具有一定的安全储备,所以压杆的稳定条件为

=[Fcr]Fcr Kw F≤ (5-19)

式中:F——实际作用在压杆下的压力;

Fcr——压杆的临界力;

Kw——稳定安全系数。

利用式(5-19)的稳定条件进行压杆的稳定性计算的方法称为稳定安全系数法,这种方法在土建工程计算中应用较少。

2.折减系数法的压杆稳定条件

工程中为了简便起见,对压杆的稳定计算常常采用折减系数法,就是将材料的许用应力[σ]乘上一个折减系数φ作为压杆的许用临界应力

σ[ ]cr=φ[σ] (5-20)

当压杆中的应力达到临界应力时,压杆将要失稳。因此,正常工作的压杆,其截面上的应力应不大于许用临界应力,即

σ≤[σcr]  (5-21)

将式(5-20)代入式(5-21)得

σ≤φ[σ]  (5-22)

式(5-22)就是按折减系数法进行压杆稳定计算的稳定条件。式中,φ是随λ值变化而变化的,即给定一个λ值,就对应一个φ值。工程上为了应用方便,在有关结构设计规范中都列出了常用建筑材料λ随φ变化而变化的φ值,现摘录一部分制成表5-4以便查阅。

表5-4 几种常见材料的折减系数φ

3.压杆的稳定条件应用

下面只讨论折减系数法的稳定条件应用。将式(5-22)改写成另一种表达形式:

φA≤[σ]F(5-23)

式中:F——实际作用在压杆上的轴向压力;

φ——压杆的折减系数;

A——压杆的截面面积。

应用稳定条件,可对压杆进行以下三个方面的计算。

1)稳定性校核

若已知压杆的材料、杆长、截面尺寸、杆端的约束条件和作用力,就可校核杆件是否满足稳定条件。

2)设计截面

若已知压杆的材料、杆长和杆端的约束条件,在设计压杆的截面时,由于稳定条件中截面尺寸和型号未知,所以柔度λ和折减系数φ也未知。因此,计算时一般先假定φ=0.5,再试选截面尺寸和型号,算得λ后再查φ′。若φ′与假设的φ值相差较大,则再选两者的中间值,直至两者相差不大时,最后再进行稳定性校核。

3)确定许用荷载

若已知压杆的材料、杆长、杆端的约束条件、截面的形状与尺寸,求压杆所能承受的许用荷载,可根据式(5-20)计算许用荷载

[F]≤φA[σ]  (5-24)

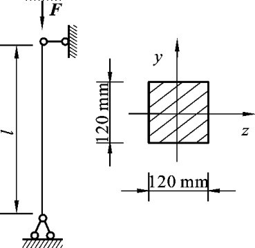
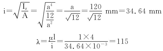
【例5-20】 如图5-29所示,两端铰支的正方形截面a=120mm的木杆,所受轴向压力F=30kN,杆长l=4m,许用应力[σ]=10MPa。试校核该压杆的稳定性。

图5-29

【解】 正方形截面的惯性半径为

■A=Iz i=a4■=a120=12 ■12 ■12 mm=34.64mm a2 λ=μli=1×4 34.64×10-3=115

查表5-4,用插值法得

φ=0.228 5

F=φA 30×103 0.228 5×120×120MPa=9.12MPa<[σ]

所以该压杆满足稳定条件,安全。

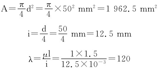
【例5-21】 如图5-30所示三铰支架,已知AB杆和BC杆都为圆形截面,直径d=50mm,材料为Q235钢,材料的许用应力[σ]=160MPa。在结点B处作用一竖向荷载F,AB杆的长度l=1.5m,按稳定条件考虑计算该三铰支架的许用荷载[F]。

图5-30

【解】 (1)取B点作为隔离体,求各杆的内力,如图5-30所示。

∑Fx=0, NBA-Fsin30°=0

NBA=1F(压杆) 2

∑Fy=0, NBC-Fcos30°=0

NBCF(拉杆)

所以AB杆是压杆,受到的压力为

(2)计算有关数据。

A=πd2=π 44 ×502mm2=1 962.5mm2 i=d4=504mm=12.5mm λ=μli=1×1.512.5×10-3=120

查表5-4得:φ=0.466。

(3)计算许用荷载[F]。

将AB压杆的压力F代入式(5-21)得

[F]≤2φA[σ]=2×0.466×1 962.5×160kN=292.6kN

从压杆的稳定性考虑,许用荷载[F]取292.6kN。

6.2.4 提高压杆稳定性的措施

提高压杆稳定性的措施应从影响压杆临界力或临界应力的各种因素来考虑。

1.合理选用材料

在其他条件相同的情况下,选用弹性模量E值较大的材料可以提高大柔度压杆的承载能力。例如,钢制压杆的临界力大于铜、铸铁压杆的临界力。由于各种钢材的弹性模量E值差不多,因此,对大柔度压杆来说,选用优质钢材对提高临界力或临界应力意义不大,反而造成材料的浪费。但对于中柔度杆,其临界应力与材料强度有关,强度越高的材料,临界应力越高。所以,对中柔度杆而言,选用优质钢材将有助于提高压杆的稳定性。

2.减小压杆的长度

在其他条件相同的情况下,杆长l越短,则λ越小,临界应力就越高。因此,减小杆长显然提高了压杆的稳定性。可以通过改变结构或增加支点来减小杆长。如图5-31所示两端铰支的细长压杆,若在中点处增加一支承,则其计算长度为原来的一半,柔度即为原来的一半,而它的临界应力却是原来的4倍。

图5-31

3.改善支承情况

从表5-2中可看出,压杆两端固定得越牢,μ值就越小,计算长度μl就越小,柔度λ也就越小,临界应力就越大。因此,在结构条件允许的情况下,应尽可能采用μ值较小的支承形式,以便压杆的稳定性得到相应的提高。

4.合理选择截面形状

在截面面积相等的情况下,增大惯性矩I,从而达到增大惯性半径i,减小柔度λ的目的,进而提高压杆的稳定性。例如图5-32所示的空心环形截面就比实心圆截面设计得合理。

当压杆在各个弯曲平面内的支承条件相同时,即μ值相同时,则压杆的失稳发生在最小刚度平面内。因此,应尽量使截面的Iz=Iy,这样可使压杆在各个弯曲平面内具有相同的稳定性。例如图5-33所示的组合截面就比槽钢腹板相拼截面要好。

图5-32

图5-33

当压杆在两个弯曲平面内的支承条件不同时,则可采用相应的截面来与相应的支承条件配合,使得压杆在两个弯曲平面内的柔度值相等,即λz=λy,从而达到在两个方向上抵抗失稳的能力相等。