1
建筑力学
1.4.3.3 3.3 三铰拱
3.3 三铰拱

3.3.1 概述

拱是杆轴线为曲线并且在竖向荷载作用下会产生水平支座反力的结构。拱常用的形式有三铰拱、两铰拱和无铰拱,如图3-48所示,其中三铰拱是静定拱,后两种都是超静定拱。本书仅讨论静定拱,即三铰拱。

图3-48

拱和梁的区别不仅在于杆轴线的曲直,更重要的是拱在竖向荷载作用下会产生水平反力,这种水平反力称为推力。由于水平推力的存在,拱截面上的弯矩比相应的简支梁对应截面上的弯矩要小得多,并且主要承受压力。这就使拱截面上的应力分布较为均匀,所以更能充分发挥材料的作用,并可用抗压强度较高而抗拉强度较低的砖、石和混凝土等材料来制造,这是拱的主要优点。同时拱的主要缺点也在于支座要承受水平推力,所以要求比梁要具有更坚固的地基或支承结构。可见,推力的存在与否是区别拱与梁的主要标志。

有时,地基或支承结构不能承受水平推力,就可在拱的两支座之间设置一根水平拉杆来代替支座承受水平推力,如图3-49(a)所示。这样在竖向荷载作用下支座就只产生竖向反力,从而消除了推力对支承结构的影响。有时为了增加拱下的净空,拉杆的位置可适当提高,如图3-49(b)所示。也可以将拉杆做成折线形的,如图3-49(c)所示。

图3-49

拱的各部分名称如图3-49(d)所示。拱身各截面的形心的连线称为拱轴线,拱轴线通常是抛物线或圆弧线,有时也采用悬链线。拱轴最高处称为拱顶,三铰拱的拱顶通常是用来安置中间铰的位置。拱的两端与支座连接处称为拱趾。两拱趾在同一水平线上的拱称为平拱。不在同一水平线上的拱称为斜拱。两个拱趾间的水平距离l称为跨度。两拱趾的连线称为起拱线。拱顶到起拱线的竖向距离f称为拱高。

3.3.2 内力计算

现以图3-50(a)所示的三铰拱为例,来说明三铰拱反力和内力的计算方法。

图3-50

1.支座反力

三铰拱是由两根曲杆与地基之间按三刚片规则组成的静定结构,拱有四个未知反力,其支座反力的计算方法与三铰刚架相同。

首先考虑全拱的平衡,由平衡方程∑MB=0和∑MA=0,得

FAy=1 l (F1b1+F2b2)
FBy=1 l (F1a1+F2a2)

由∑X=0可得

FAx=FBx=Fx

再取左半拱为隔离体,由平衡方程∑MC=0,得

FAx=1 f [FAyl2-F1(l 2-a1 )]

为了便于理解和比较拱与梁受力的不同,现取与三铰拱同跨度同荷载的相应简支梁,如图3-50(b)所示,通过计算可知该简支梁的支座反力和截面C的弯矩分别为

F°Ay=1 l (F1b1+F2b2) F°By=1 l (F1a1+F2a2) M°C=F°Ayl2-F1)1a2-l(

通过比较可知:

FAy=F°Ay FBy=F°By■■(3-1) FAx=FBx=Fx=M°C■f

可见,三铰拱的竖向反力与相应的简支梁的支座反力相同,水平推力等于相应简支梁截面C的弯矩与拱高的比值。当荷载和跨度给定时,M°C即为定值,当拱高f也给定时,水平推力即可确定。所以三铰拱的反力只与荷载及三个铰的位置有关,而与拱轴形状无关。

2.任一截面K的内力

取K截面以左部分为隔离体,如图3-50(c)所示。设K截面形心的坐标分别为x K、y K,K截面的法线方向与x轴的夹角为φK。在拱中,通常规定弯矩以使拱内侧受拉为正,剪力以绕隔离体顺时针转动为正,轴力以压力为正,反之为负。φK的符号在左半拱时取正值,在右半拱时取负值。由平衡方程,有

MK=[FAyx K-F1(x K-a1)]-Fxy K

QK=(FAy-F1)cosφK-FxsinφK

NK=(FAy-F1)sinφK+FxcosφK

在相应简支梁上取如图3-50(d)所示的隔离体,由平衡方程求出相应简支梁K截面上的内力为

K=F°Ayx K-F1(x K-a1

K=F°Ay-F1

K=0

所以,三铰拱在竖向荷载作用下的内力计算式可写为

MK=M°K-Fxy K

QK=Q°KcosφK-FxsinφK

NK=Q°KsinφK+FxcosφK (3-2)

综上所述,三铰拱的内力值不但与荷载的位置及三个铰的位置有关,而且与拱轴线的形状有关。由于水平推力的存在,三铰拱任一截面K上的弯矩和剪力均小于其相应简支梁的弯矩和剪力,并且存在着使截面受压的轴力。通常轴力较大,为主要内力。

【例3-20】 试作图3-51(a)所示三铰拱的内力图。拱轴线的形状为抛物线,其方程为y=x(l-x)。

【解】 (1)求支座反力。

图3-51

由式(3-1)可得

FAy=F°Ay=(2×6×9+8×312 )kN=11kN FBy=F°By=(2×6×3+8×912kN=9kN) FAx=FBx=Fx=M°Cf=(11×6-2×6×34 kN=7.5kN)

(2)绘制内力图。

将拱沿跨度分为8等份,计算各等分点截面的内力。以距左端支座距离为3m的截面2为例,计算其内力如下。

首先,为了计算各截面的几何参数,将l=12m,f=4m代入拱轴方程,得

由此可得

据此可得φ2=33°41′,并有

sinφ2=0.555, cosφ2=0.832

于是由式(3-2)可得:

Q2=Q°2cosφ2-Hsinφ2=[(11-2×3)×0.832-7.5×0.555]kN=-0.0025kN≈-0.003kN

M2=M°2-Hy2=[(11×3-2×3×1.5)-7.5×3]kN·m=1.5kN·m

N2=-Q°2sinφ2-Hcosφ2=[-(11-2×3)×0.555-7.5×0.832]kN=-9.015kN

其他各截面的计算与上相同。然后根据全部截面的计算结果绘制该三铰拱的M、Q、N图,如图3-51(b)、(c)、(d)所示。

3.3.3 合力拱轴线

由前可知,当荷载和三个铰的位置给定时,三铰拱的支座反力就能够确定,而与拱轴线的形状无关;三铰拱的内力则与拱轴线的形状有关。当拱上所有截面的弯矩都等于0(剪力也为0)而只有轴力时,截面上的正应力分布是均匀的,材料也能得到最充分的利用,单从力学观点来看,这是最经济的,所以称这时的拱轴线为合理拱轴线。

合理拱轴线可以根据弯矩为0的条件来确定。在竖向荷载作用下,三铰拱任一截面的弯矩可由式(3-2)来计算,所以合理拱轴线的方程为

MK=M°K-Fx·y K=0

解得

y K=M°K(3-3) Fx

式(3-3)说明,在竖向荷载作用下,三铰拱的合理拱轴线的纵坐标y与相应简支梁弯矩图的竖标成正比。当荷载已知时,只需要求出相应简支梁的弯矩方程,然后除以水平推力Fx,便得到合理拱轴线方程。

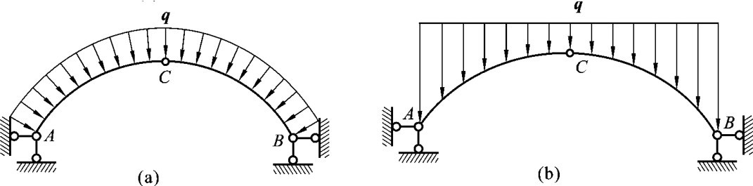
【例3-21】 试求如图3-52(a)所示的对称三铰拱在竖向均布荷载作用下的合理拱轴线。

【解】 相应的简支梁如图3-52(b)所示,其弯矩方程为

由式(3-1)可求得拱的水平推力为

于是,由式(3-3)可求得合理拱轴线方程为

图3-52

y K=M°K Fx=qx(l-x)/2 ql 2/8f =4f l 2 x(l-x)

由此可见,在满跨的竖向均布荷载作用下,对称三铰拱的合理拱轴线为二次抛物线。这就是工程中拱轴线常采用抛物线的原因。

需要指出的是,三铰拱的合理拱轴线是对某一种给定荷载而言的,在不同荷载作用下有不同的合理拱轴线。例如,在静水压力(垂直于拱轴线的均布荷载)作用下,其合理拱轴线为圆弧线,如图3-53(a)所示;在拱上填料(填料表面水平)的重力作用下,其合理拱轴线为悬链线,如图3-53(b)所示。

图3-53