1
建筑力学
1.4.3.2 3.2 静定平面桁架
3.2 静定平面桁架

3.2.1 桁架的特点及其分类

梁和刚架是以承受弯矩为主的结构,截面上的应力分布是不均匀的,其边缘处应力大,而中部材料的作用并未得到充分利用。桁架则弥补了梁和刚架的不足。桁架是由直杆组成,全部由铰接点连接而成的结构。为了便于计算,通常在平面桁架的计算中引用如下假设:

(1)桁架的结点都是无摩擦的理想铰;

(2)各杆的轴线都是直线,且在同一平面内,并通过铰的中心;

(3)荷载和支座反力只作用在节点上,并在桁架平面内。

符合上述假设的桁架称为理想桁架。在结点荷载作用下,理想桁架中各杆的内力只有轴力,截面上的应力分布是均匀的,可同时达到允许值,能充分发挥材料的作用。因此桁架在大跨度结构中的应用非常广泛,例如,民用房屋和工业厂房中的屋架、托架,大跨度的铁路和公路桥梁,起重设备中的塔架,以及建筑施工中的支架等。

在实际工程中,桁架不可能完全符合上述理想桁架的假设。例如,钢桁架的结点通常都是采用铆接或者焊接,各杆之间的角度几乎是不变的,也就是说结点具有一定的刚性;木桁架中各杆通常采用榫接或螺栓连接,在结点处虽然能够转动,但结点构造也不能完全符合理想铰的情况。桁架中各杆的轴线也不可能绝对平直,在结点处也不可能准确地汇交于一点。此外,还有如自重、风荷载等非结点荷载的作用等。可见,实际的桁架的构造和受力都是非常复杂的,各杆也不可能只承受轴力。

通常把按理想平面桁架计算得到的应力称为主内力,而把由于实际情况与理想情况下不完全相符而产生的附加应力称为次内力。理论计算和实际测量结果表明,在一般情况下次内力的影响是不大的,可以忽略不计。

如图3-37所示,桁架中的杆件可以依据其所在的位置不同进行分类。桁架上、下边缘的杆件分别称为上弦杆和下弦杆,上、下弦杆之间的杆件称为腹杆,腹杆又分为竖杆和斜杆。弦杆相邻两结点之间的水平距离d称为节间长度,两支座之间的水平距离l称为跨度,桁架最高点到支座连线的垂直距离h称为桁高。

图3-37

桁架可按不同的特征进行分类。根据桁架的外形,桁架可分为平行弦桁架、抛物线形桁架、三角形桁架和梯形桁架等,如图3-38所示。根据桁架的几何组成方式,可分为简单桁架、联合桁架和复杂桁架。

(1)简单桁架:由基础或一个铰接三角形开始,依次增加二元体而组成的桁架,如图3-38所示。

图3-38

(2)联合桁架:由几个简单桁架按照几何不变体系的组成规则,联合组成的桁架,如图3-39(a)所示。

(3)复杂桁架:所有不按照上述方式组成的桁架,如图3-39(b)所示。

图3-39

3.2.2 结点法

计算静定平面桁架的内力仍然可以采用截面法。用一假想截面截取桁架的一部分为隔离体,由隔离体的平衡条来计算所求的内力。如果所选取的隔离体只包含有一个结点,就称为结点法。如果所取的隔离体不止包含有一个结点,则称为截面法。我们首先来讨论结点法。

一般情况下,任何静定桁架的内力和反力都可以用结点法求出。因为作用于任一结点的力,包括荷载、反力和杆件内力,都组成一平面汇交力系,所以,对于每个结点都可以建立两个独立的平衡方程。但在实际计算中,只有当所截取的结点上的未知力不超过两个时,应用结点法才会显得方便,才能避免求解联立方程。因为简单桁架是从一个基本的铰接三角形开始,依次增加二元体所组成的,其最后一个结点必然只包含两根杆件,所以对于这类桁架,在求出支座反力后,可按与几何组成相反的顺序,从最后的结点开始,依次应用结点法倒算回去,便能顺利地求出所有杆件的内力。

在计算中,经常需要把斜杆的内力N分解为水平分力Nx和竖向分力Ny。设斜杆长为l,其水平和竖向的投影长度分别为lx和ly,如图3-40所示,则由比例关系可知

N l=NxNy lx=ly

图3-40

因为桁架中每根杆的长度和方位都是确定的,即l、lx和ly是已知的,由上述的比例关系可知,在N、Nx和Ny中,任知其一就可计算出其余两个。

下面举例说明结点法的具体应用。

【例3-18】 求如图3-41(a)所示的桁架各杆的内力。

【解】 (1)求支座反力。

由整体的平衡方程,可得支座反力为

FA=40kN, FB=40kN

图3-41

(2)求各杆的内力。

此桁架的结构本身和荷载都是对称的,只要计算其中一半杆件的内力即可,现计算左半部分桁架。从只包含两个未知力的结点A开始,按顺序取结点C、D、E为隔离体进行计算。

取结点A为隔离体,如图3-41(b)所示,杆件AD为斜杆,将该杆轴力正交分解,再由平衡方程∑Y=0得

NADy=(10-40)kN=-30kN

利用比例关系,有

NAD=-67.1kN

NADx×2=-60kN

由∑X=0得

NAC=-NADx=60kN

取结点C为隔离体,如图3-41(c)所示,由∑X=0和∑Y=0得

NCF=-NAC=60kN

NCD=0

取结点D为隔离体,如图3-41(d)所示,由∑X=0和∑Y=0得

NDEx+NDFx+60=0

NDEy-NDFy+30-20=0

再利用比例关系,有

NDEx=2NDEy

NDFx=2NDFy

将以上四个方程联立,得

NDEx=-40kN, NDEy=-20kN, NDE=-44.7kN

NDFx=-20kN, NDFy=-10kN, NDF=-22.4kN

取结点E为隔离体,如图3-41(e)所示,由结构的对称性,有

NEHy=NDEy=-20kN

再由∑Y=0得

NEF=(2×20-20)kN=20kN

内力计算完成后,将各杆的轴力标在图上,如图3-41(a)所示,图中轴力单位为kN。

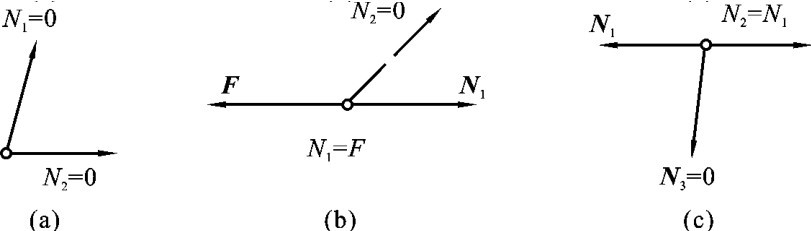
通过计算,我们发现在上述的例题中,杆件DC和杆件HG的轴力为0。在平面桁架结构中,我们把这类轴力为0的杆称为零杆。桁架中的一些特殊结点处,会出现零杆,只要掌握了这些特殊形状的结点,就能在计算前预先判断出零杆,从而给计算带来很大的方便。桁架中常见的几种特殊结点如下。

(1)L形结点,也叫两杆结点。这种结点上无荷载作用时两杆都是零杆,如图3-42(a)所示;当荷载沿其中一根杆的方向作用时,则另一杆为零杆,如图3-42(b)所示。

(2)T形结点。这是三杆汇交的结点,而其中两杆在一条直线上,如图3-42(c)所示,当这种结点上无荷载时,第三杆必为零杆,而共线两杆内力相等且符号相同(即同为压力或同为拉力)。

图3-42

应用以上结论,不难判断出图3-43桁架中虚线所示各杆都是零杆,于是剩下的计算工作便大为简化。

图3-43

3.2.3 截面法

截面法是用一适当的截面切断需要求轴力的杆件,并将桁架分成为两部分,每部分都包含两个以上的结点,然后任取其中一部分为隔离体,根据平衡条件来计算所截杆件的内力。一般情况下,隔离体上的荷载、支座反力与所截断杆件的轴力将组成一个平面力系,可建立三个独立的平衡方程。因此,如果隔离体上的未知力不超过三个,则一般可将它们直接全部求出。为了避免求解联立方程,应注意选择适宜的平衡方程。按照所选择的方程类型不同,截面法又可以分为力矩法和投影法。

1.力矩法

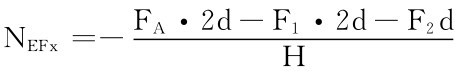
如图3-44(a)所示的简单桁架,设支座反力已经求出,要求EF、ED和CD三杆的内力。作截面Ⅰ—Ⅰ截断此三杆,并取截面以左部分为隔离体进行计算,如图3-44(b)所示。在列平衡方程时,最好使每个方程中只包含一个未知力,这样就可以避免求解联立方程。例如在求CD杆的内力时,可取另外两个杆EF和ED的交点E为力矩中心,由力矩平衡方程∑ME=0,有

FAd-F1d-F2×0-NCDh=0

图3-44

解得

NCD=FAd-F1d h

式中:分母h为NCD对矩心E的力臂;分子为隔离体上所有外力对矩心E的力矩代数和。

同样,在求上弦杆EF的内力时,应取ED、CD两杆的交点D为矩心。此时要计算NEF的力臂是不太方便的。为了计算简单,可以将NEF在其作用线上的F点处分解为水平和竖向两个分力,竖向分力NEFy通过矩心D,而水平分力NEFx的力臂即为桁高H。由∑MD=0有

FA·2d-F1·2d-F2d+NEFxH=0

解得

NEFx=-FA·2d-F1·2d-F2d H

求得了分力NEFx后,可依据比例关系求得NEF

最后,为了求斜杆ED的内力,应取EF、CD两杆延长线的交点O为矩心,并将NED在D点分解为水平分力NEDx和竖向分力NEDy,由∑MO=0有

-FAa+F1a+F2(a+d)+NEDy(a+2d)=0

解得

NEDy=FAa-F1a-F2(a+d) a+2d

再根据比例关系即可求得NED

2.投影法

同样是如图3-44(a)所示的桁架,求斜杆DG的内力。作截面Ⅱ—Ⅱ将桁架截开并取左半部分为隔离体进行计算,如图3-44(d)所示。此时被截断的另外两杆平行,这种情况再应用力矩法并不合适,故应采用投影法来求解,将D G杆的轴力NDG分解成水平和竖向两个分力,由∑Y=0有

FA-F1-F2-F3+NDGy=0

解得

NDGy=NDGsinα=-(FA-F1-F2-F3

【例3-19】 求如图3-45(a)所示的桁架中杆a、b、c、d的内力。

图3-45

续图3-45

【解】 (1)求支座反力。

由整体的平衡方程,可得支座反力为

FA=50kN, FB=30kN

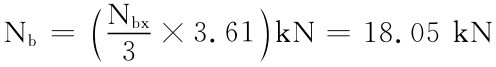
(2)求杆a、b、c的内力。

用截面Ⅰ—Ⅰ截取桁架的左半部分为隔离体,如图3-45(b)所示,列平衡方程有

∑MD=0, Nc×4-20×3-50×3=0

解得

Nc=52.5kN

∑MF=0, -Na×4+20×3+20×6-50×9=0

解得

Na=-67.5kN

∑X=0, Na+Nbx+Nc=0

解得

Nbx=-Na-Nc=15kN

利用比例关系有

Nb=×( 3.61)kN=18.05kN

(3)求杆d的内力。

联合应用结点法和截面法计算杆d的内力是比较方便的。先取结点E为隔离体,如图3-45(c)所示,由平衡方程∑X=0,得

NCE=Nc=52.5kN

再用截面Ⅱ—Ⅱ截取桁架左半部分为隔离体,如图3-45(d)所示,列平衡方程有

∑MD=0, Ndx×4+52.5×4-50×3=0

解得

Ndx=-15kN

利用比例关系,得

Nd=Ndx3×( 3.61)kN=-18.05kN

如前所述,用截面法计算桁架内力所截取的杆件一般不应超过三根,这样所截杆件的内力均可求出。有时,当被截断的杆件超过三根时,其中的某根杆件的轴力也可选取适当的平衡方程求出。

上面分别介绍了结点法和截面法,对于简单桁架,当要求全部杆件内力时用结点法比较简单;若只求个别杆件的内力,则往往用截面法比较方便。有些情况下,将两种方法联合使用会比较方便。对于联合桁架,如果只用结点法将会遇到未知力超过两个的结点,所以一般先用截面法将联合杆件的内力求出。如图3-46所示的桁架,应先由截面Ⅰ—Ⅰ求出联合杆件DE的内力,然后再对各简单桁架进行分析。

图3-46

3.2.4 各式桁架受力性能的比较

不同形式的桁架,其内力分布情况和适用场合都各不相同。下面就工程中常用的几种简支梁式桁架进行比较。

当桁架在它的上弦各中间结点上都作用一单位荷载,两边端结点上分别作用二分之一单位荷载时,各杆的内力值称为内力系数。如图3-47所示给出了几种常用桁架的内力系数,从图中可以看出,各桁架的下弦杆均受拉,上弦杆均受压。

1.平行弦桁架

平行弦桁架的内力分布不均匀,弦杆内力由两端向跨中递增,腹杆的轴力则由两端向中间递减,如图3-47(a)所示。所以,为了节省材料,各节间的杆件应该采用与其内力相应的不同的截面,但这样将增加各结点拼接的难度,不便施工。在实际工程中,通常还是采用相同的截面,并常用于建造轻型桁架,此时材料的浪费程度不大,而且各节间的弦杆、斜杆和竖杆的长度都统一,结点构造也单一,便于制作与施工。

2.三角形桁架

三角形桁架的内力分布也不均匀,弦杆的轴力由两端向中间递减,腹杆的轴力则由两端向中间递增,如图3-47(b)所示。三角形桁架两端结点处弦杆内力最大,而夹角又很小,制作比较困难。但是其两面斜坡的外形适合于建造屋盖,所以在跨度较小、坡度要求比较大的屋盖结构中多被采用。

3.梯形桁架

梯形桁架的受力性能介于平行弦桁架和三角形桁架之间,弦杆的轴力变化不大,腹杆的内力由两端向中间递减,如图3-47(c)所示。梯形桁架构造比较简单,施工也比较方便,常用于建造钢结构厂房的屋盖。

4.抛物线形桁架

抛物线形桁架的内力分布比较均匀,其上、下弦各杆的轴力几乎相等,腹杆的轴力等于0,如图3-47(d)所示。这种桁架结构的受力比较合理,但由于上弦杆在每个结点处均需转折,结点构造复杂,制作和施工均比较麻烦,所以只有在大跨度屋架和桥梁上才会采用。

5.折线形桁架

折线形桁架是抛物线形桁架的改进型,其受力性能与抛物线形桁架类似,如图3-47(e)所示。这种桁架的制作和施工均比抛物线形桁架方便得多,所以折线形桁架是目前钢筋混凝土屋架中采用最多的一种桁架形式。

图3-47