1
建筑力学
1.3.3.1 3.1 平面力系向一点的简化方法
3.1 平面力系向一点的简化方法

3.1.1 力的平移定理

【定理】 作用在刚体上的力可以平移到刚体的任一点,但必须附加一个力偶,其力偶矩等于原力对新作用点的力矩,如图2-31所示。即

M=MO(F)=±Fd  (2-8)

图2-31

应用力的平移定理可以将一个力分解为一个力和一个力偶。反之,也可以将同一平面内的一个力F′和一个力偶矩为M的力偶合成为一个合力。

力的平移定理揭示了力对物体作用的两种效应:移动和转动。

利用力的平移定理可以分析和解决许多工程实际问题。例如,如图2-32所示的厂房柱子受偏心荷载F的作用,为分析力F的作用效应,可将力F平移至柱的轴线上成为力F′和附加力偶M,轴向力F使柱子压缩,而附加力偶M将使柱子弯曲。

图2-32

3.1.2 平面力系向一点的简化

设在刚体上作用一个平面一般力系F1,F2,…,Fn,各力的作用点分别为A1,A2,…,An,如图2-33(a)所示。在平面内任意取一点O,称为简化中心。利用力的平移定理,将各力都向O点平移,得到一个汇交于O点的平面汇交力系F′1,F′2,…,F′n和一个附加的平面力偶系MO1,MO2,…, MOn,如图2-33(b)所示。这些附加力偶的力矩分别等于原力系中的各力对O点的力矩,即

MO1=MO(F1),MO2=MO(F2),…,MOn=MO(Fn)  (2-9)

图2-33

平面汇交力系F′1,F′2,…,F′n可以合成为一个作用于O点的合矢量F′R,如图2-33(c)所示。即

F′R=∑F′=∑F  (2-10)

式中:F′R——平面一般力系中所有各力的矢量和,称为该力系的主矢,它的大小和方向与简化中心的选择无关。

平面力偶系MO1,MO2,…,MOn可以合成为一个力偶,其力矩MO

MO=MO1+MO2+…+MOn=∑MO(Fi)  (2-11)

由式(2-11)可看出,MO等于各附加力偶的力矩的代数和,也就是等于原力系中各力对简化中心O的力矩的代数和。MO称为该力系对简化中心O的主矩,它的大小和转向与简化中心的选择有关。

3.1.3 力在坐标轴上的投影

在力F作用的平面内建立直角坐标x Oy,如图2-34所示。由力F的起点A和终点B分别向坐标轴作垂线,在x、y轴上截得的线段长度ab和a1b1,冠以适当的正负号,称为F在x、y轴上的投影,分别用Fx、Fy来表示,即

Fx=±ab=±FcosαFy=±a1b1=±Fsinα} (2-12)

图2-34

由式(2-12)可知:力在某一坐标轴上的投影,等于力的大小乘以力与该轴所夹锐角的余弦值。投影的正负号规定为力F指向与坐标轴正向一致时取正号,相反时取负号。

当力与坐标轴垂直时,力在该轴上的投影为零,则由图2-34的几何关系可以求出力F的大小和方向,即

F=■F2x+F2y tanα=Fy Fx■■■(2-13)

式中:α——力F与x轴所夹的锐角,F的指向由投影的正负号来确定。

必须注意,力在坐标轴上的投影与力沿两个坐标轴的分力是两个不同的概念。力的投影是代数量,而分力是矢量。只有在直角坐标系中,力的投影和分力大小才相等。

图2-35

【例2-8】 已知力F的大小为30kN,与x轴的夹角为-30°,如图2-35所示,试计算力F在坐标轴上的投影。

【解】

Fx=Fcosα=30cos30°=25.98kN

Fy=-Fsinα=-30sin30°=-15kN(负号表示投影与坐标轴y的方向相反)

3.1.4 主矢和主矩的计算

设主矢F′R在x、y轴上的投影分别为F′Rx、F′Ry,平面汇交力系中各力F′1,F′2,…,F′n在x、y轴上投影分别为F′xi、F′yi(i=1,2,…,n),则

F′Rx=F′x1+F′x2+…+F′xn=∑F′x=∑Fx■F′Ry=F′y1+F′y2+…+F′yn=∑ ■y F■′y=∑F (2-14)

即主矢在某轴上的投影等于力系中各力在同轴上投影的代数和。求得主矢在坐标轴上的投影后,可得主矢的大小和方向分别为

F′R= 2=)F′y)2+(∑F′x(∑■ )2Fy)2+(∑Fx(∑■ (2-15)
tanα=∑F′y∑F′x=∑Fx∑Fy(2-16)

主矩的计算可直接利用式(2-11)进行计算。

3.1.5 平面力系简化结果的分析

平面力系向一点简化,一般可得到一个力和一个力偶,而其最终结果分为以下三种情况。

1.简化为一个合力

当主矢F′R≠0,主矩MO=0时,力系与一个力等效,即力系可简化为一个合力,合力等于主矢,合力的作用线通过简化中心。

当主矢F′R≠0,主矩MO≠0时,根据力的平移定理逆过程,可将F′R和MO简化为一个合力。合力的大小、方向与主矢相同,合力的作用线不通过简化中心,距简化中心O点的距离为

d=MO F′R

2.简化为一个合力偶

当主矢F′R=0,主矩MO≠0时,力系与一个力偶等效,即力系可简化为一个合力偶,合力偶的力矩等于主矩。此时,主矩与简化中心的位置无关。

3.力系处于平衡状态

当主矢F′R=0,主矩MO=0时,力系相当于没有力,也没有力偶作用,即力系处于平衡状态。

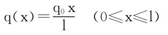
【例2-9】 如图2-36(a)所示的三角形分布荷载,已知梁的长度l,分布荷载集度为q0,求该荷载的合力及其作用线的位置。

【解】 建立如图2-36(b)所示的坐标轴,离左端点距离为x处的分布荷载集度为

q(x)=q0xl  (0≤x≤l)

取微分长度dx,其上的力

d F=q(x)dx

图2-36

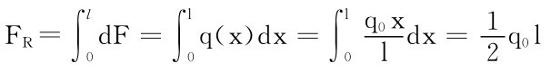
合力FR的大小可由积分得到:

l FR=∫l d F=0 ∫q(x)dx 0 l=∫q0x 0l dx=1q0l 2

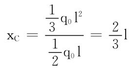
设合力作用线通过横坐标x C的C点,应用合力矩定理,有

l MO(FR)=FR·x C=∫0 l xd F=∫0 q0 l x2dx=1q0l 3

故合力FR的作用线离左端点的距离为

x C=1 2 q0l 21 3=2 3 l q0l

上述的计算结果表明,三角形分布荷载的合力等于荷载图的面积,合力的作用线通过荷载图的形心,合力的指向与分布力的指向相同。