1
医学遗传学
1.9.2 第二节 多基因遗传病的遗传

第二节 多基因遗传病的遗传

多基因遗传病是一类发病率较高、病情复杂的疾病。无论是病因及致病机制的研究,还是疾病再发风险的评估,都既要考虑遗传(多基因)的因素,也要考虑环境因素。但在本节中,主要讨论遗传因素在多基因病发生中的作用。

一、易患性与发病阈值

在多基因遗传病中,若干作用微小但有累积效应的致病基因构成了个体患某种病的遗传因素。这种由遗传基础决定一个个体患病的风险称为易感性(susceptibility)。而由遗传因素和环境因素共同作用并决定一个个体是否易患某种遗传病的可能性则称为易患性(liability)。易患性是多基因遗传中使用的一个特定概念,它是在遗传因素和环境因素的共同作用下判断个体患病可能性的大小。就目前的技术水平,人们尚不能评估某一个体患某种疾病的易患性,因此易患性对于个体来说没有意义;但在群体中,易患性像一般多基因性状一样,若干个体的易患性变异呈正态分布。一个群体中每一个个体的易患性有高有低,但大多数人呈中等水平,即接近平均值,易患性很高或很低的个体都很少。当一个个体的易患性高达或超过一定水平,即达到一定限度时就可能患病。这种由易患性决定的多基因病发病的最低限度称为阈值(threshold)(图6-3)。由于阈值效应使连续分布的易患性被分成两部分,即健康者和患者,使连续变异的数量性状的阈值起了质的变化。患者易患性平均值接近于正态分布曲线的右侧尾部。因此,多基因遗传病又属于阈值相关疾病,阈值是易患性变异的某一点,凡易患性超过此点的个体者将患病。在一定条件下,阈值代表造成发病所必需的、最少的有关基因的数量。

图6-3 群体易患性变异分布图

因为一个个体的易患性高低是无法测量的,一般只能根据他们婚后所生子女的发病情况做粗略的估计。然而,一个群体的易患性平均值,则可以从该群体的患病率(易患性超过阈值的部分)做出估计。简单地说,如果群体中患病率高,说明这个群体中引起该病的基因数量多,也可以说该群体的易患性高。因此,其平均值距离阈值就近。相反,群体中患病率低,则群体中致病基因数量少,易患性低,其平均值距离阈值就远。因此比较2个群体某种疾病的患病率,可以间接地了解2个群体的易患性差异,这对于研究、分离疾病发生的遗传及环境因子,预防疾病的发生具有重要的意义。

衡量易患性的尺度可以用正态分布平均值与标准差的已知关系,由患病率估计群体的阈值与易患性平均值之间的距离,这距离即以正态分布的标准差作为衡量单位。根据正态分布曲线下的总面积为1(即100%),可推算得到均数加减任何数量标准差的范围内,曲线与横轴之间所包括面积占曲线下总面积的比例。正态分布数据包括均数(μ)和标准差(σ)与正态分布曲线下面积的关系(图6-4)。

图6-4 μ、σ关系图解

在(μ±σ)范围内,包括全部面积的68.28%。超出此范围,即两侧尾部面积占31.72%,其中右侧尾部面积占15.86%。

在(μ±2σ)范围内,包括全部面积的95.46%。超出此范围,即两侧尾部面积占4.54%,其中右侧尾部面积占2.27%。

在(μ±3σ)范围内,包括全部面积的99.73%。超出此范围,即两侧尾部面积占0.27%,其中右侧尾部面积占0.135%。

多基因遗传病的正态分布曲线下的面积为总人群,其易患性超过阈值的那部分面积为患者所占的百分数,即患病率。所以人群中某一种多基因病的患病率即为超过阈值那部分面积。从其患病率就可以得出阈值距离均数(μ)有几个标准差,这只要查正态分布表即可。上述在右侧尾部面积代表患病率(图6-5)。例如,精神分裂症,其群体患病率约为1.0%,查表可知其阈值距离易患性均数为2.3个标准差,即2.3个标准差处是该病的发病阈值。

图6-5 易患性平均值与阈值

二、遗传度及其估算

多基因遗传病是遗传因素和环境因素共同作用(疾病的易患性)所致。这其中,遗传因素在多基因遗传病发生中的作用大小可用遗传度来衡量。遗传度(heritability)是指多基因累加效应对疾病易患性变异的贡献大小。遗传度越大,表明遗传因素对病因的贡献越大。如果一种疾病其易患性变异全由遗传因素所决定,遗传度就是100%,这种情况是极少见的。在遗传度高的疾病中,遗传度可高达70%~80%,这表明遗传因素在决定疾病易患性变异上有重要作用,环境因素的作用较小;在遗传度低的疾病中,遗传度仅为30%~40%,这表明在决定疾病易患性变异上,环境因素有重要作用,而遗传因素的作用不显著,就不会出现明显的家族聚集现象。

计算人类多基因遗传病遗传度的高低在临床实践上有重要意义,其计算方法有两种,即Falconer公式和Holzinger公式。

(一)Falconer公式

Falconer公式(Falconer formula)是根据先证者亲属的发病率与遗传度有关而建立的。亲属发病率越高,遗传度越大,所以可通过调查先证者亲属发病率和一般人群的发病率,算出遗传度(h2或H)。

h2=b/r

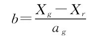
已知一般人群的发病率时,用下式计算回归系数b及其方差Vb

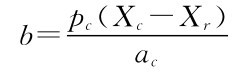
缺乏一般人群的发病率时,可设立对照组,调查对照组亲属的发病率,用下式计算回归系数b:

b:亲属易患性对先证者易患性的回归系数。

r:亲属系数(一级亲属:是指一个人与其双亲、子女和同胞之间,其基因有1/2的可能性是相同的;二级亲属:是指一个人与其叔、伯、姑、舅、姨、祖父母和外祖父母之间,其基因有1/4的可能性是相同的;三级亲属:是指一个人与其表兄妹、堂兄妹、曾祖父母之间,其基因有1/8的可能性是相同的)。

Xg:一般群体易患性平均值与阈值之间的标准差数。

Xc:对照组亲属中的易患性平均值与阈值之间的标准差数。

Xr:先证者亲属易患性平均值与阈值之间的标准差数。

ag:一般群体易患性平均值与一般群体中患者易患性平均值之间的标准差数(图6-6)。

图6-6 一般群体和患者亲属易患性平均值的比较

ar:先证者亲属易患性平均值与先证者亲属中患者易患性平均值之间的标准差数。

qg:一般群体发病率。

qc:对照亲属发病率,pc=1-qc

qr:先证者亲属发病率。

Xg、Xr和ag、ar均可由一般群体发病率、对照亲属发病率和先证者亲属发病率查Falconer表得到。

例如,有人调查先天性房间隔缺损在一般群体中的发病率为1/1 000(0.1%),在100个先证者的家系中调查,先证者的一级亲属共有669人(双亲200人,同胞279人,子女190人),其中有22人(ar)发病,依次求得先证者一级亲属的发病率为22/669×100%=3.3%(qr),然后查Falconer表。按群体发病率查得Xr和ar,再根据亲属发病率查得Xr和ar,然后代入公式求出b值。

将b值代入公式:

h2=b/r=0.37/0.5=0.74=74%

以上计算结果表明,遗传因素对先天性房间隔缺损发生的贡献为74%,经显著性检验该遗传度有统计学意义。

在缺乏一般人群发病率数据时,可选择与病例组匹配的对照组,调查对照组亲属的发病率,用先证者亲属和对照亲属的发病率计算遗传度。

再如,对江苏启东肝癌的调查发现,肝癌患者一级亲属6 591人中,有359人(ar)发病,其发病率为5.45%(qr);在年龄和性别均与患者相应的无病对照者的5 227名一级亲属中,有54人患肝癌,发病率qc=0.0103=1.03%。pc=1-qc=0.9897,分别查得Xr、Xc和ar、ac,然后代入公式求出b值。

以上计算结果表明,遗传因素对肝癌发生的影响超过50%,经显著性检验该遗传度有统计学意义。

(二)Holzinger公式

Holzinger公式(Holzinger formula)是根据遗传度越高的疾病,单卵双生的患病一致率与双卵双生患病一致率相差越大而建立的。

所谓单卵双生(monozygotic twin,MZ)是指由1个受精卵形成的2个双生子,他(她)们的遗传基础相同,发育环境则可能存在差异;双卵双生(dizygotic twin,DZ)是指由2个受精卵形成的2个双生子,他(她)们的遗传基础不同(其差异程度与一般同胞相同),发育环境也可能存在差异。所谓患病一致率是指双生子中一个患某种疾病,另一个也患同样疾病的频率。

CMZ:单卵双生子的同病率。

CDZ:双卵双生子的同病率。

例如,对躁狂抑郁性精神病的调查表明,在15对单卵双生子中,共同患病的有10对;在40对双卵双生子中,共同患病的有2对。依此来计算单卵双生子的同病率为67%,双卵双生子的同病率为5%。代入上式:

以上结果表明,在躁狂抑郁性精神病中,遗传因素的影响为65%。

一些常见的多基因遗传病和先天性畸形的患病率和遗传度见表6-2。

表6-2 常见多基因遗传病的群体发病率、先证者一级亲属发病率、性别比和遗传度

续表

应当指出,遗传度估计值是由特定环境中特定人群的发病率估算得到的,不宜外推到其他人群和其他环境。遗传度是群体统计量,用到个体毫无意义。如果某种疾病的遗传度为50%,不能说某个患者的发病一半由遗传因素决定,一半由环境因素决定,而应该说在这种疾病的总变异中,一半与遗传变异有关,一半与环境变异有关。遗传度的估算仅适合于没有遗传异质性,而且也没有主基因效应的疾病。若导致疾病的多基因中有一个显性主基因,那么估算的遗传度可以超过100%;若主基因为隐性基因,则由先证者的同胞估算的遗传度可以高于由父母或子女估算的遗传度。因此,只有当由同胞、父母和子女分别估算的遗传度相近似时,这个遗传度才是合适的。同时也才能认为该疾病的发生可能是多基因遗传的结果。

三、影响多基因遗传病再发风险估计的因素

(一)遗传度

从图6-6可以看出,群体易患性和患者一级亲属的易患性均呈正态分布。但是,两者超过阈值而发病的部分,在数量上有所不同。患者一级亲属的患病率(斜线区)比群体患病率(横线区)要高得多。

假定易患性变异完全取决于遗传因素,即遗传度为100%,由于患者一级亲属的基因有1/2可能性与患者相同,所以其易患性平均值介于群体易患性平均值与患者易患性平均值之间。然而,在遗传度70%~80%的情况下,患者一级亲属易患性平均值略向左移,而更为靠近群体易患性平均值,因而患病率必将比遗传度为100%者低。如果遗传度<70%,患者一级亲属易患性平均值将更为左移,其患病率必将更为降低。

在相当多的多基因病中,群体患病率为0.1%~1%,遗传度为78%~80%,患者一级亲属的患病率(qr)近于群体患病率(qg)的开方,即;当遗传度<70%时,患者一级亲属的患病率低于群体患病率的开方值。例如,唇裂在中国人群体中的患病率为0.17%,其遗传度为76%,患者一级亲属的患病率为4%,近于1.7/1 000(=4.1%)。如果遗传度为100%,患者一级亲属的患病率将近于9%;如果其遗传度为50%时,则患者一级亲属的患病率将<2%。

因此,有了群体患病率和遗传度,即可对患者一级亲属患病率做出适当估计(图6-7)。

图6-7显示了群体患病率、遗传度和患者一级亲属患病率之间的相互关系,可以从中估计多基因病的发病风险率。例如,无脑畸形和脊柱裂的患病率为0.38%,在图中横轴上查出0.38之点,做一垂直线与纵轴平,已知此病的遗传度为60%。从图中找出遗传度60%的斜线,把它和0.38的垂直线相交点做一横线在纵轴上的一点近于4,即表明该病的一级亲属患病率接近4%。

图6-7 群体中患病率、遗传度与患者一级亲属患病率的关系

有些多基因病,在遗传度相同的情况下,群体患病率不同,发病风险率也不同,同样可以从图中进行估计。例如,在遗传度为50%的条件下,群体患病率为0.1%时,患者一级亲属患病率为1%,即较群体的患病率高10倍;群体患病率为1%时,患者一级亲属患病率为5%,即较群体患病率高5倍;群体患病率为10%时,患者一级亲属的患病率为20%,即较群体患病率高2倍(表6-3)。

表6-3是从图6-7中选出的几组常用的数据编制成的。从表中大致可以看出,群体患病率和患者一级亲属患病率的差异与遗传度密切相关。

(二)家族聚集现象

由于多基因病有家族聚集倾向,所以患者亲属的患病率高于群体患病率,但亲属患病率随着与先证者的亲属关系级数递增而剧减,并向着群体患病率靠拢。

表6-3 患者一级亲属患病率与遗传度、群体患病率的关系

注:表中数字为患者一级亲属患病率估计值。

(三)家族中患者成员数

家庭中有2个患者比有1个患者的患病危险率高。例如,唇腭裂群体患病率为0.17%,遗传度是76%,人群中一对表型正常的人婚配,他们第1胎罹患唇腭裂的风险是群体患病率即0.17%。如已生有1个此病患儿,第2胎再生唇腭裂患儿的风险上升到约4%。如已生有2个此病的患儿,第3胎再生的风险就上升到约10%。表明患儿的双亲产生此种畸形的基因数较多。然而在单基因遗传病中,因父母亲的基因型已定,无论已生出几个患儿,发病风险率都是1/2或1/4。

图6-8 阈值有性别差异的易患性分布(先天性幽门狭窄)

(四)患者病情严重程度

例如,患儿为单侧唇裂,同胞发病风险为2.46%;患儿为单侧唇裂+腭裂,同胞发病风险为4.0%;患儿为双侧唇裂+腭裂,同胞发病风险为5.6%。患儿的病情越严重,表明双亲带有更多的致病基因。这一点也与单基因遗传病不同。在单基因遗传病中,不论病情的轻重如何,一般都不影响其再发危险率,即仍为1/2或1/4。

(五)性别差异

某种多基因病的患病率存在有性别差异时,表明不同性别的发病阈值是不同的。群体患病率较低即阈值较高的那种性别罹患,则患者亲属的发病风险较高。例如,人群中男性先天性幽门狭窄的患病率高于女性,男性患病率为0.5%,女性患病率为0.1%,男性的患病率比女性高5倍,即男性发病阈值低于女性(图6-8)。男性患者的儿子患病率为5.5%,女儿的患病率为2.4%。如为女性患者,其儿子的患病率达到19.4%,女儿的患病率达到7.3%,表明女性患者比男性患者带有更多的致病基因。

如上所述,鉴于多基因病的传递符合数量遗传性状规律,因而呈现这些特点。又由于它不像单基因遗传病那样相对较容易认识和较方便推算子代的发病概率,所以对于多基因病亲属发病风险率的估计必须根据上述特点及有关资料和数据进行具体分析。

(刘雯)