1.22 第十九章 维生素类药物

第十九章 维生素类药物

学习目标

1.描述维生素A、维生素E、维生素K3、维生素C的化学结构和化学名。

2.识别维生素D2、维生素K1、维生素Bl、维生素B2、维生素B6等的化学结构和结构特点。

3.知道维生素类药物的分类、结构类型、构效关系、立体异构和临床用途。

4.应用药物的理化性质,解决维生素类药物的调配、制剂、分析检测、储存保管等问题。

学习内容

注:上述各类药物的学习内容包括此类药物的发展、分类、结构改造和构效关系及化学结构、结构特点、理化性质和临床应用等知识点。

目标检测

一、填空题

1.植物中的胡萝卜素和玉米黄素在体内能转化为__________ ,它们称为__________。

2.维生素A分子中均具有__________结构,因具有4个双键侧链,理论上应有__________顺反异构体,其中__________最稳定,活性最强。

3.维生素D是__________维生素的总称,均属于__________衍生物。动物组织、人体皮肤内储存的7-脱氢胆固醇在日光或紫外线的照射下,经裂解可转化为__________。

4.维生素E是一类与__________有关的维生素,分子中具有__________结构,且苯环上具有1个__________ ,故又称为生育酚。

5.维生素K是一类具有__________的维生素的总称,以__________的生物活性最强。

6.维生素B1又名__________。其水溶液与空气中的氧接触,易被氧化,生成__________而失效。

7.维生素B2又名__________ ,为两性化合物,分子中的__________显酸性,__________位显碱性,可溶于酸或碱中。

8.维生素C又名__________ ,分子中有__________手性碳原子,共__________光学异构体,其中__________效力最强。

二、单项选择题

1.维生素A理论上有几种立体异构体

A.4种 B.8种 C.16种

D.32种 E.64种

2.可与维生素A作用显色的试剂为哪种

A.铁氰化钾溶液 B.醋酐-硫酸溶液

C.氢氧化钾乙醇溶液 D.氢氧化钠溶液

E.三氯化锑氯仿溶液

3.关于维生素A的描述,错误的是哪项

A.可用于防治夜盲症等

B.与维生素E共存时更易被氧化

C.共轭多烯醇侧链易被氧化为环氧化物

D.用国际单位(IU)表示生物效价

E.应装于铝制或其他适宜的容器内,充氮气密封,在凉暗处保存

4.维生素A仅有6种异构体存在,其最稳定、活性最强的异构体是哪种

A.7,3-顺式 B.3-顺式 C.7-顺式

D.5-顺式 E.全反式

5.维生素D2与维生素D3化学结构的差别在于何处

A.在维生素D2,其24位有1个甲基,22位无双键

B.在维生素D2,其24位有1个羟基,22位有双键

C.在维生素D3,其24位有1个甲基,22位有双链

D.在维生素D3,其24位有1个甲基,22位无双键

E.在维生素D2,其24位有1个甲基,22位有双键

6.属于甾醇衍生物的维生素是哪个

A.维生素A B.维生素K1C.维生素E

D.维生素D2E.维生素K3

7.维生素E又称什么

A.α-生育酚 B.胆骨化醇 C.骨化醇

D.亚硫酸氢钠甲萘醌 E.β-胡萝卜素

8.关于维生素E类维生素的描述,错误的是什么

A.都是苯并二氢吡喃类衍生物

B.为一类与生育有关的维生素

C.药典收载的为α-生育酚醋酸酯

D.苯环上有1个酚羟基,又称生育酚

E.天然生育酚均为消旋体,人工合成品则为右旋体

9.维生素E易被氧化是因为其分子中含有哪种基团

A.巯基 B.酚羟基 C.双键

D.芳香第一胺 E.共轭多烯醇侧链

10.常作为油溶性制剂的抗氧剂的维生素为哪个

A.维生素A B.维生素D2C.维生素D3

D.维生素E E.维生素Κ1

11.维生素K3又称什么

A.骨化醇 B.α-生育酚 C.胆骨化醇

D.甲萘醌 E.亚硫酸氢钠甲萘醌

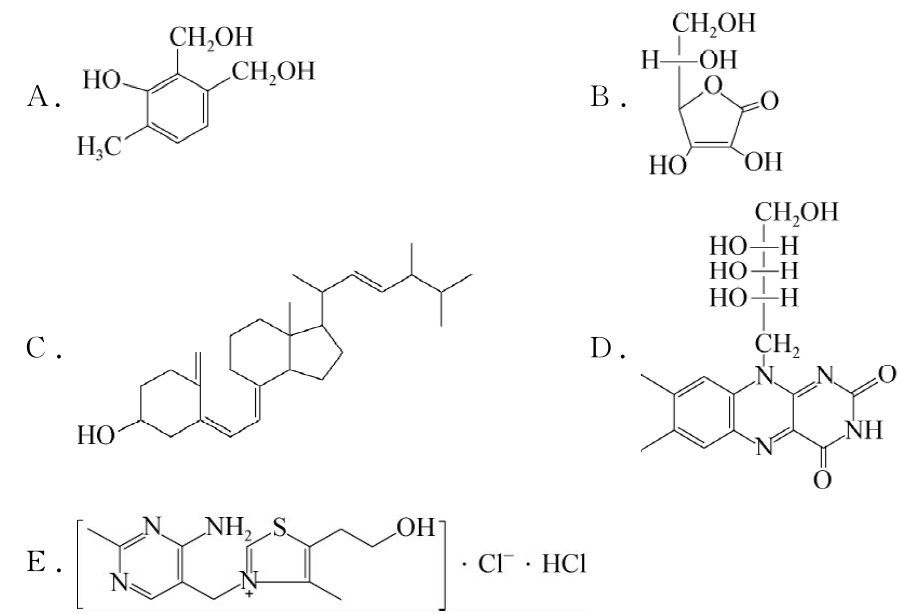
12.是哪个药物的结构

A.维生素D2B.维生素K1C.维生素E

D.维生素A E.维生素Κ3

13.维生素B1又称什么

A.盐酸硫胺 B.氰钴胺 C.核黄素

D.盐酸吡多辛 E.L-抗坏血酸

14.维生素Bl水溶液与空气中的氧接触可显荧光,这是因为其被氧化成什么

A.糠醛 B.感光黄素 C.硫色素

D.光化色素 E.硫醇型化合物

15.关于维生素B1的描述,错误的是哪个

A.水溶液显酸性

B.应遮光、密封保存

C.注射剂不能与碱性药物配伍

D.能与某些生物碱沉淀试剂作用

E.易被氧化,其注射液常加亚硫酸氢钠作抗氧剂

16.化学名为氯化4-甲基-3-[(2-甲基-4-氨基-5-嘧啶基)甲基]-5-(2-羟基乙基)噻唑盐酸盐的药物是哪个

A.维生素D2B.维生素A1C.维生素E

D.维生素D3E.维生素B1

17.下列哪种维生素的溶液与含有微量铁盐的砂芯过滤后呈红色

A.维生素B6B.维生素B2C.维生素B1

D.维生素C E.维生素A1

18.维生素B12结晶的颜色为哪种

A.白色 B.深红色 C.橙黄色

D.淡黄色 E.类白色

19.抗坏血酸结构中有2个手性碳原子,故有4个光学异构体,指出下列结构中哪个是临床上使用的维生素C

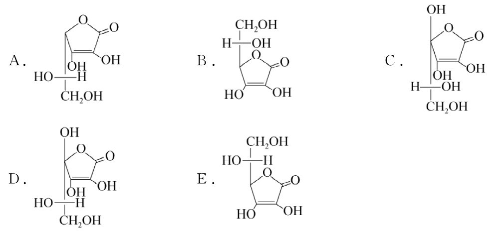
A. B. C.D. E.

20.维生素C的化学结构式中含有2个手性中心,有4个异构体,临床上使用其

A.L-(-)-异构体 B.L-(+)-异构体 C.D-(+)-异构体

D.D-(-)-异构体 E.混旋体

21.维生素C有酸性,是因为其化学结构上有什么

A.羰基 B.酸羟基 C.无机酸根

D.连二烯醇 E.共轭系统

22.维生素C分子中酸性最强的羟基是哪个

A.2位羟基 B.3位羟基 C.4位羟基

D.5位羟基 E.6位羟基

23.维生素C具有很强的还原性,这是因为分子中含有什么

A.巯基 B.酚羟基 C.共轭双键

D.连二烯醇 E.芳香第一胺

24.维生素C可使2,6-二氯靛酚试液的颜色消失,这是因为2,6-二氯靛酚是什么

A.氧化剂 B.还原剂 C.络合物

D.催化剂 E.脱水剂

25.维生素C储存中颜色加深,是因为生成了下列哪种化合物聚合所致

A.草酸 B.糠醛 C.苏阿糖酸

D.去氢维生素C E.2,3-二酮古糖酸

26.下列维生素中可作为水溶性制剂的抗氧剂的是哪一种

A.维生素C B.维生素A C.维生素B6

D.维生素E E.维生素B1

27.下列维生素中哪个具有酸、碱两性

A.维生素C B.烟酸 C.盐酸硫胺

D.盐酸吡多辛 E.维生素B2(核黄素)

28.维生素B2水溶液与维生素C作用可生成二氢核黄素而从水中析出,这是因为维生素B2具有什么性质

A.氧化性 B.还原性 C.水解性

D.旋光性 E.碱性

29.下列哪一项叙述与维生素的概念不相符合

A.体内需保持一定水平 B.只能从食物中摄取

C.是受体的一个组成部分 D.不能供给体内能量

E.是维持人体正常代谢功能所必需的微量物质

30.不属于B族维生素的是哪个

A.盐酸硫胺 B.维生素B2(核黄素) C.盐酸吡多辛

D.氰钴胺 E.L-抗坏血酸

三、配伍选择题

1~5题选项

A. B.C. D. E.

1.维生素B1

2.维生素B2

3.维生素D2

4.维生素B6

5.维生素C

6~10题选项

A.抗坏血酸 B.骨化醇 C.核黄素

D.氰钴胺 E.盐酸吡多辛

6.维生素B2又称为

7.维生素B6又称为

8.维生素B12又称为

9.维生素C又称为

10.维生素D2又称为

11~15题选项

A.维生素D2B.维生素B1C.维生素A

D.维生素K1E.维生素E

11.属于苯并二氢吡喃类衍生物的药物是

12.属于甾醇衍生物的药物是

13.属于2-甲基-1,4-萘醌类衍生物的药物是

14.分子中含有共轭多烯醇侧链的药物是

15.分子中含有嘧啶环和噻唑环的药物是

16~20题选项

A.铁氰化钾 B.二氯靛酚 C.硝酸银

D.三氯化锑 E.2,6-二氯对苯醌氯亚胺

16.能使维生素A的氯仿溶液呈蓝色的试剂为

17.可把维生素B1氧化成具荧光的硫色素的试剂为

18.维生素B6能与其作用生成蓝色化合物的试剂为

19.与维生素C作用生成黑色沉淀的试剂为

20.与维生素C作用可使其在酸性溶液中所显的红色消失的试剂为

四、多项选择题

1.关于维生素A的储存方法,正确的是哪些

A.凉暗处 B.防冻 C.密封

D.装入铝制容器内 E.充氮气

2.下列维生素中哪些是脂溶性维生素

A.维生素A1B.维生素D3C.维生素B1

D.维生素C E.维生素E

3.下列维生素中哪些化学结构中含有手性碳原子

A.维生素E B.维生素K3C.维生素C

D.维生素A E.维生素B1

4.下列药物的立体异构体作用强度不同的有哪些

A.葡萄糖 B.萘普生 C.维生素A

D.维生素E E.维生素C

5.关于维生素B1的描述,正确的是哪些

A.具有核糖结构 B.属于脂溶性维生素

C.是和盐酸成盐的化合物 D.具有嘧啶环及噻唑环

E.是两性化合物

6.维生素B2具有哪些性质

A.旋光性 B.酸性 C.碱性

D.氧化性 E.水溶液显荧光性

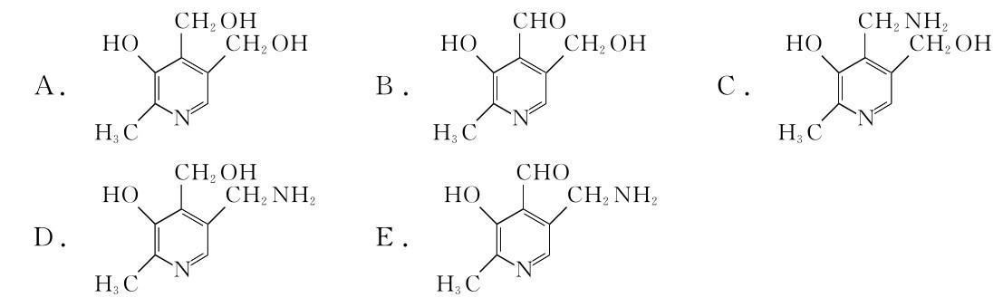
7.下列哪些化学结构具有维生素B6作用

D. A. H3C|■N■■CH2NH2|HO OHCH2 H3C|■N■■CH2OH|HO OHCH2 H3C|■N■E.■CH2NH2HO |CHO H3C|■N■B.■CH2OHHO |CHO C. H3C■HO|■N■CH2OH|2CH2NH

8.水溶液不稳定,易被空气中的氧氧化变色的维生素是哪些

A.烟酸 B.维生素B2C.维生素B6

D.维生素B1E.L-抗坏血酸

9.下列哪些描述与维生素B2相符

A.为脂溶性维生素

B.在碱性溶液中极易分解

C.在体内具有传递氢和电子的生理功能

D.又名核黄素

E.可用于治疗唇炎、舌炎和脂溢性皮炎等

10.已加抗氧剂的维生素C注射液在储存过程中变成黄色,可能发生了哪些反应

A.脱水 B.脱羧 C.水解

D.氧化 E.还原

五、简答题

1.为使维生素A不被破坏可以采取什么方法(至少举出3种)?

2.为什么要在维生素K3注射液中加入焦亚硫酸钠并且通入惰性气体?

3.为什么维生素B1注射剂不能与碱性药物,如磺胺类钠盐、苯巴比妥钠、氨茶碱等配伍使用。

4.为什么制备维生素B6时不能使用铁制容器?

5.为什么维生素C只表现出一元弱酸性?

6.维生素C的结构中哪一部分不稳定?应怎样配制和保存其注射液?

7.哪些维生素可作抗氧剂?为什么?

8.维生素C为什么在储存过程中会出现黄色斑点?