1.21 第十八章 激素类药物

第十八章 激素类药物

学习目标

1.认识甾类激素的分类,区别各类激素的结构特点,说出各类激素的构效关系,知道激素的发展过程。

2.理解醋酸氢化可的松、醋酸地塞米松、甲睾酮、丙酸睾酮、苯丙酸诺龙、雌二醇、炔雌醇、黄体酮、醋酸甲羟孕酮、炔诺酮、左炔诺孕酮的化学结构特点。

3.识别醋酸泼尼松龙、醋酸氟轻松、醋酸曲安奈德、非那雄胺、己烯雌酚、雷洛昔芬、醋酸甲地孕酮、米非司酮的结构特点。

4.认识口服降血糖药的分类及作用机制,识别甲苯磺丁脲、格列本脲、盐酸二甲双胍等常见药物的化学结构和结构特点。

5.应用药物的理化性质解决该药物的调配、制剂、分析、检测、储存、保管等问题。

学习内容

注:上述各类药物的学习内容包括此类药物的发展、分类、结构改造和构效关系及化学结构、结构特点、理化性质和临床应用等知识点。

目标检测

一、填空题

1.甾类激素药物都具有__________的母核结构,基本母核共有3种:__________、__________、__________。

2.雌激素类药物属__________的衍生物,在结构上,A环为__________ ,C3位有__________,C17位上有羟基或酮基,羟基常与酸形成酯。

3.雌二醇的化学名为__________。加三氯化铁试液呈草绿色,再加水稀释,则变为红色。

4.炔雌醇的乙醇溶液加__________生成白色__________。

5.醋酸氢化可的松加乙醇可制成氢氧化钾试液,再加硫酸溶液,缓缓煮沸,即产生__________的香气;加乙醇溶解后,加新制的硫酸苯肼试液,生成__________位的腙。

6.黄体酮分子中的C3和C20位上的__________都能与盐酸羟胺反应,生成黄体酮二肟,但与分子量较大的异烟肼反应时,只有位阻较小的__________形成浅黄色异烟腙。

7.1965年,我国首次人工合成了具有生物活性的__________胰岛素结晶。

8.第一代磺酰脲类口服降糖药,如__________ ,疗效较好;第二代,如__________等,降糖作用更好、副作用更少、用量更少。20世纪80年代出现了第三代,如__________ ,特别适用于其他磺脲类对其无效的糖尿病患者。

9.甲苯磺丁脲具有__________结构,显__________性,可溶于氢氧化钠溶液。

10.格列本脲又名__________ ,其__________结构在潮湿环境中,可以发生水解反应。

二、单项选择题

1.甾类激素按化学结构分为3类,其共同特点是在环戊烷并多氢菲母核的C13位上都有1个什么基因

A.羰基 B.羟基 C.醇酮基

D.甲酮基 E.角甲基

2.Δ4表示甾体母核的C4位上有什么基团

A.叁键 B.羟基 C.氢原子

D.甲基 E.双键

3.处于甾环平面下方的原子或基团称α-构型,用下列哪项表示

A.实线 B.孤线 C.波级线

D.虚线 E.箭头

4.睾酮在17a位增加1个甲基,其设计的主要考虑是什么因素

A.可以口服 B.蛋白同化作用增强 C.雄激素作用增强

D.雄激素作用降低 E.增强脂溶性,有利吸收

5.下列哪个药物为睾酮的长效衍生物

A.苯丙酸诺龙 B.替勃龙 C.丙酸睾酮

D.达那唑 E.羟甲烯龙

6.关于甲睾酮,错误的是哪一项

A.为雄激素类 B.1%乙醇液具有右旋性

C.微吸湿性,对光稳定需密封保存 D.又名甲睾酮

E.遇硫酸-乙醇液显黄色并带黄绿色荧光

7.下列药物中为同化激素类药物的是哪个

A.甲睾酮 B.黄体酮 C.己烯雌酚

D.尼尔雌醇 E.苯丙酸诺龙

8.的化学名为什么

A.17β-甲基-17α-羟基雄甾-4-烯-3-酮

B.17α-甲基-17β-羟基雄甾-4-烯-3-酮

C.17β-甲基-17α-羟基雌甾-4-烯-3-酮

D.17α-甲基-17β-羟基雌甾-4-烯-3-酮

E.17α-甲基-17β-羟基孕甾-4-烯-3-酮

9.下列激素类药物中不能口服的是哪个

A.炔诺酮 B.雌二醇 C.己烯雌酚

D.炔雌醇 E.左炔诺孕酮

10.黄体酮属于哪一类甾体药物

A.孕激素 B.盐皮质激素 C.雌激素

D.雄激素 E.糖皮质激素

11.下列药物结构中20位具有甲基酮结构的是哪个

A.黄体酮 B.甲睾酮 C.炔诺酮

D.雌二醇 E.苯丙酸诺龙

12.下列哪项是黄体酮的化学名

A.17β-羟基-雄甾-4-烯-3-酮丙酸酯

B.17β-羟基-19-去甲-17α-孕甾-4-烯-20-炔-3-酮

C.d-(-)-17α-乙炔基-17β-羟基-18-甲基雌甾-4-烯-3-酮

D.孕甾-4-烯-3,20-二酮

E.11β-(4-二甲氨基苯基)-17β-羟基-17α-丙炔基-雌甾-4,9-二烯-3-酮

13.关于黄体酮的性质,错误的是哪一项

A.1%乙醇溶液具右旋性

B.可与盐酸羟胺反应生成黄体酮二肟

C.可与异烟肼反应生成浅黄色的二异烟腙

D.对光和碱敏感,应遮光、密封保存

E.与硝普钠(亚硝基铁氰化钠)反应生成蓝紫色阴离子复合物

14.甾类激素药物能与硝普钠反应生成蓝色复合物,是因为分子中含有什么基团

A.乙炔基 B.α-醇酮基 C.羟基

D.羰基 E.甲基酮

15.能与C3和C20酮基的甾类激素药物生成有色的腙类衍生物的试剂是哪一个

A.三氯化铁 B.2,4-二硝基苯肼 C.硝酸银

D.碱性酒石酸铜 E.硝普钠

16.的用途是哪个

A.同甲睾酮 B.同苯丙酸诺龙 C.同雌二醇

D.同黄体酮 E.同泼尼松龙

17.下列药物中其反式异构体有效,顺式异构体无效的是哪个

A.米非司酮 B.左炔诺孕酮 C.替勃龙

D.双炔失碳酯 E.己烯雌酚

18.下列甾类药物中不具有甾体母核基本结构,为合成代用品的药物是哪个

A.醋酸地塞米松 B.己烯雌酚 C.炔雌醇

D.尼尔雌醇 E.黄体酮

19.下列药物中可与硝酸银试液生成白色银盐沉淀的药物是哪个

A.炔诺酮 B.黄体酮 C.甲睾酮

D.醋酸地塞米松 E.己烯雌酚

20.分子中含有酚羟基的药物是哪个

A.炔诺酮 B.尼尔雌醇 C.黄体酮

D.炔诺孕酮 E.炔雌醇

21.氢化可的松的几位增加双键可使抗炎作用增加,不良反应减少

A.1位 B.15位 C.7位

D.11位 E.5位

22.肾上腺皮质激素类药物能与裴林试液反应显色,是因为分子结构中C17位上的α-醇酮基具有什么性质

A.氧化性 B.水解性 C.还原性

D.潮解性 E.风化性

23.分子中含有F原子的药物是哪个

A.甲睾酮 B.雌二醇 C.己烯雌酚

D.黄体酮 E.醋酸地塞米松

24.关于醋酸地塞米松,错误的是哪个

A.又名醋酸氟美松

B.用氧瓶燃烧法显氟化物的反应

C.应遮光、密封保存

D.与碱性酒石酸铜试液作用生成铜盐沉淀

E.与醇制氢氧化钾试液和硫酸共热即产生乙酸乙酯香味

25.下列药物中因分子中含有α-醇酮基,可与碱性酒石酸铜试液作用生成红色沉淀的药物是哪个

A.甲睾酮 B.己烯雌酚 C.尼尔雌醇

D.黄体酮 E.醋酸地塞米松

三、配伍选择题

1~5题选项

A.硫酸铁铵溶液 B.硝酸银试液 C.碱性酒石酸铜试液

D.硝普钠(亚硝基铁氰化钠) E.三氯化铁溶液

1.可与己烯雌酚反应的试剂是

2.可与甲睾酮作用显色的试剂是

3.可与黄体酮作用显色的试剂为

4.可与炔诺酮作用的试剂为

5.可与醋酸地塞米松作用显色的试剂为

6~10题选项

A.乙醇溶液遇硝酸银试液产生白色沉淀

B.加硫酸溶解后,即显黄至棕黄色,并带绿色荧光

C.与亚硝基铁氰化钠反应生成深蓝紫色阴离子复合物

D.与硫酸作用显绿色,有黄绿色荧光

E.加硫酸显橙红色,在反射光照射下出现黄绿色荧光,加水稀释后呈现玫瑰红色絮状沉淀

6.雌二醇的性质

7.炔诺酮的性质

8.醋酸可的松的性质

9.炔雌醇的性质

10.黄体酮的性质

11~15题选项

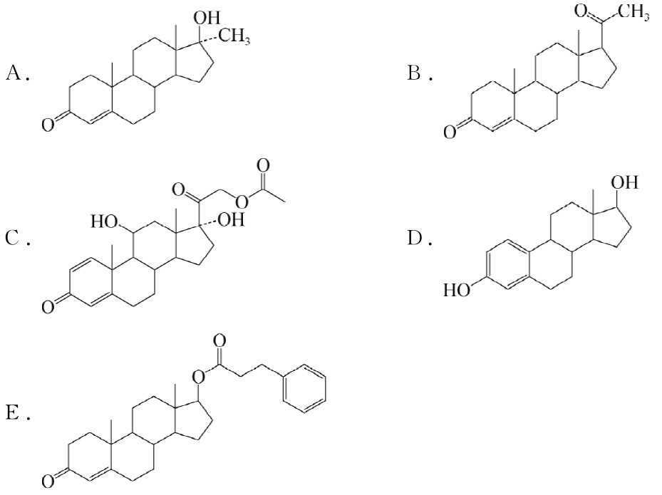
A. B. C. D. E.

11.17a-甲基-17β-雄甾-4-烯-3-酮的结构是

12.11β,17a,21-三羟基孕甾-1,4-二烯-3,20-二酮-21-醋酸酯的结构是

13.17β-羟基雌甾-4-烯-3-酮-17-苯丙酸酯的结构是

14.雌甾-1,3,5(10)-三烯-3,17β-二醇的结构是

15.孕甾-4-烯-3,20-二酮的结构是

四、多项选择题

1.甾类药物按其结构特点可分为哪些类型

A.雌甾烷类 B.孕甾烷类 C.雄甾烷类

D.性激素 E.肾上腺皮质激素

2.具有孕甾烷母核的药物是哪些

A.甲睾酮 B.雌二醇 C.醋酸地塞米松

D.黄体酮 E.己烯雌酚

3.关于甾体化合物命名的规定,正确的是哪些

A.“Δ”表示双键

B.α-构型表示原子或基团处于甾环平面的上方

C.“降”表示环缩小1个碳原子

D.“高”表示环扩大1个碳原子

E.“β-构型”表示原子或基团处于甾环平面的下方

4.下列药物中哪些属于雄甾烷类

A.黄体酮 B.醋酸甲地孕酮 C.甲睾酮

D.醋酸泼尼松 E.苯丙酸诺龙

5.下列哪些描述与黄体酮相符

A.属雌激素

B.可以口服

C.属孕激素

D.C3位的羰基可与异烟肼缩合生成浅黄色的异烟腙化合物

E.C20位有甲基酮结构,可与硝普钠(亚硝基铁氰化钠)反应生成蓝紫色复合物

6.下列哪些药物能与硝酸银反应生成白色沉淀

A.苯丙酸诺龙 B.炔诺酮 C.醋酸地塞米松

D.炔雌醇 E.米非司酮

7.可与甾类激素药物的羰基发生反应的试剂为哪些

A.异烟肼 B.硝普钠 C.硝酸银

D.盐酸羟胺 E.酒石酸铜

8.关于己烯雌酚,错误的是哪些

A.遇光易氧化变质

B.不溶于稀氢氧化钠溶液中

C.遇三氯化铁溶液生成绿色配合物

D.与吡啶和醋酐一起加热生成二乙酰己烯雌酚

E.具雌甾烷母核,其药理作用与雌二醇相似

9.关于醋酸地塞米松的结构,正确的是哪些

A.9位上有α-氟 B.11位上有羰基 C.16位上有α-甲基

D.17位上有α-羟基 E.17位上有α-醇酮基并与醋酸成酯

10.下列叙述中哪些与醋酸氢化可的松不符

A.为天然短效糖皮质激素

B.属孕甾烷类化合物

C.11位含β-羟基

D.加乙醇溶解后,加新制的硫酸苯肼试液,显黄色

E.加硫酸溶液后,显黄色或微带橙色,并带有绿色荧光

五、简答题

1.甾体药物按结构特征可分为哪几类?肾上腺皮质激素按结构特点应属于哪一类?

2.比较糖皮质激素、雄激素、雌激素和孕激素的结构特征。

3.为何将地塞米松制成醋酸地塞米松?

4.为什么说丙酸睾酮是睾酮的长效衍生物?

5.为什么说反式己烯雌酚具有雌激素样作用?

6.口服降血糖药可分为哪几类?它们的降血糖作用机制各是什么?