1.15 第十二章 解热镇痛药及非甾体抗炎药

第十二章 解热镇痛药及非甾体抗炎药

学习目标

1.描述阿司匹林(乙酰水杨酸)、对乙酰氨基酚、双氯芬酸钠、布洛芬等典型药物的化学结构和化学名。

2.识别萘普生、酮洛芬、吲哚美辛、羟布宗、吡罗昔康等常用药物的化学结构和结构特点。

3.描述阿司匹林(乙酰水杨酸)、对乙酰氨基酚的合成过程。

4.应用药物的理化性质,解决该药物的调配、制剂、分析检测、储存保管等问题。

学习内容

注:上述各类药物的学习内容包括此类药物的发展、分类、结构改造和构效关系及化学结构、结构特点、理化性质和临床应用等知识点。

目标检测

一、填空题

1.非甾体抗炎药的英文名缩写为__________ ,都具有解热、镇痛、抗炎作用,而__________甾体类药物的不良反应。

2.解热镇痛药从化学结构上主要分为__________、__________及__________。

3.阿司匹林与氢氧化铝成盐形成__________ ,在胃中几乎不分解,进入小肠才分解成2分子的乙酰水杨酸,故对__________的刺激性小。

4.阿司匹林的水溶性__________ ,与碱性赖氨酸成盐制得__________ ,其水溶性__________ ,可供注射用,避免了胃肠道反应。

5.贝诺酯是采用前药原理,将__________和__________成酯而得的前药,对胃肠道刺激性较小,特别适合于老人和儿童。

6.氟取代的水杨酸衍生物二氟尼柳和氟苯柳为可逆性的__________ ,其消炎镇痛作用比阿司匹林强,而且作用时间长,对__________的刺激性小。

7.阿司匹林的合成以__________为原料,在__________催化下,经醋酐乙酰化制得。主要杂质是__________、__________、醋酸苯酯、水杨酸苯酯和乙酰水杨酸苯酯等。

8.为了增加氨基比林的水溶性,引入水溶性基团__________ ,得到了安乃近,可制成__________剂型。

9.吡唑酮的显色反应是加稀盐酸溶解,加__________产生瞬间消失的蓝色,加热煮沸后变为黄色。

10.非甾体抗炎药,按照化学结构可分为__________、__________、__________、__________及__________。

11.舒林酸是利用__________原理,用—CH═置换吲哚环中的— ═N ,对__________进行结构改造得到的一个前药。

12.抗痛风药有镇痛消炎药__________、抑制尿酸合成药__________、促尿酸排泄药__________。

二、单项选择题

1.下列叙述与阿司匹林不符的是哪一项

A.易溶于水 B.其片剂常加枸橼酸作稳定剂

C.微带酸臭味 D.遇酸、碱、热均易水解失效

E.为解热镇痛药

2.阿司匹林部分水解后不宜供药用,是因其水解产物可导致什么

A.刺激性和毒性增加 B.完全吸收 C.排泄减慢

D.疗效降低 E.不易吸收

3.药典中采用下列哪种方法检查阿司匹林中游离的水杨酸

A.检查Na2CO3中不溶物 B.检查水溶液的酸性

C.与三氯化铁溶液反应呈紫堇色 D.是否有醋酸味

E.与乙醇在浓硫酸存在下反应生成具有香味的化合物

4.测定阿司匹林熔点(135~140℃)时,将传温液预热到130℃进行测定,其目的是什么

A.防止分解 B.防止挥发 C.防止升华

D.防止氧化 E.防止聚合

5.对乙酰氨基酚可采用重氮化偶合反应鉴别,是因其结构中具有哪种结构

A.酚羟基 B.甲氧基 C.酰胺基

D.苯环 E.潜在的芳香第一胺

6.区别阿司匹林和对乙酰氨基酚可用何种试液

A.Na OH试液 B.三氯化铁试液 C.碱性的β-萘酚

D.HCl E.加热后加三氯化铁试液

7.下列药物中哪个不溶于Na HCO3溶液

A.萘普生 B.酮洛芬 C.双氯芬酸

D.布洛芬 E.对乙酰氨基酚

8.具有解热和镇痛作用,但无抗炎作用的药物是哪一个

A.对乙酰氨基酚 B.贝诺酯 C.布洛芬

D.吡罗昔康 E.阿司匹林

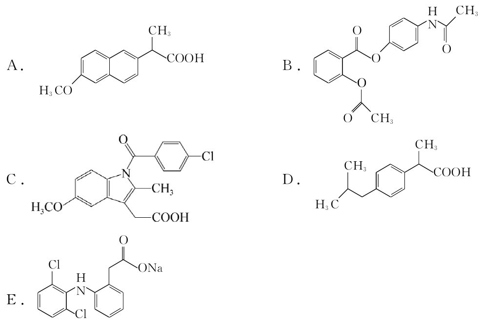
9.具有以下化学结构的药物是哪一个

■■■|■═O |■O  O|═OCH3 H N CH3■ ■O

A.丙磺舒 B.双氯芬酸钠 C.吲哚美辛

D.别嘌醇 E.贝诺酯

10.下列叙述与贝诺酯不相符的是哪一项

A.是阿司匹林与对乙酰氨基酚制成的酯

B.水解产物显芳香第一胺的鉴别反应

C.水解产物显酚羟基的鉴别反应

D.对胃黏膜的刺激性大

E.为解热、消炎镇痛药

11.属于前体药物的是哪一个

A.二氟尼柳 B.贝诺酯 C.吡罗昔康

D.依他尼酸 E.羟布宗

12.下列哪个药物的化学结构属于吡唑酮类

A.贝诺酯 B.萘普生 C.阿司匹林

D.芬布芬 E.安乃近

13.安乃近在下列哪种溶媒中溶解度最大

A.水 B.丙酮 C.乙醇

D.乙醚 E.苯和氯仿

14.非甾体抗炎药按化学结构类型可分为哪几种类型

A.水杨酸类、苯胺类、吡唑酮类

B.吡唑酮类、芳基烷酸类、吲哚乙酸类

C.吲哚乙酸类、芳基烷酸类、水杨酸类

D.3,5-吡唑烷二酮类、芳基烷酸类、芬那酸类、1,2-苯并噻嗪类

E.3,5-吡唑烷二酮类、水杨酸类、1,2-苯并噻嗪类

15.非甾体抗炎药的作用机制是什么

A.磷酸二酯酶抑制剂 B.花生四烯酸环氧化酶抑制剂

C.二氢叶酸还原酶抑制剂 D.β-内酰胺酶抑制剂

E.D-丙氨酸多肽转移酶抑制剂,阻止细胞壁形成

16.下列哪个药物属于3,5-吡唑烷二酮类

A.甲芬那酸 B.双氯芬酸钠 C.吡罗昔康

D.安乃近 E.羟布宗

17.与以下化学结构药理作用相符的是哪一个

A.吲哚美辛 B.吗啡 C.依他尼酸

D.茶碱 E.可的松

18.双氯芬酸的化学名为哪一个

A.2-(4-异丁基苯基)丙酸

B.2-[(2,6-二氯苯基)氨基]苯乙酸

C.N-(4-羟基苯基)-乙酰胺

D.1-(4-氯苯甲酰基)-2-甲基-5-甲氧基-1H-吲哚-3-乙酸

E.2-(乙酰氧基)苯甲酸

19.下列哪种药物可溶于水

A.吡罗昔康 B.吲哚美辛 C.萘普生

D.布洛芬 E.双氯芬酸钠

20.双氯芬酸钠的化学名为哪一个

A.2-[(2,6-二氯苯基)氨基]苯甲酸钠

B.2-[(2,4-二氯苯基)氨基]苯甲酸钠

C.2-[(2,3-二氯苯基)氨基]苯甲酸钠

D.2-[(2,4-二氯苯基)氨基]苯乙酸钠

E.2-[(2,6-二氯苯基)氨基]苯乙酸钠

21.下列哪种性质与布洛芬符合

A.易溶于水,几乎无味

B.在酸性或碱性条件下均易水解

C.在空气中放置可被氧化,颜色逐渐变黄至深棕色

D.可溶于氢氧化钠或碳酸钠溶液中

E.含有手性碳原子,具旋光性,药用为右旋体

22.布洛芬的化学名为哪一个

A.2-(4-异丁基苯基)丙酸

B.4-[(二正丙胺基)磺酰基]苯甲酸

C.2-[(2,6-二氯苯基)氨基]苯乙酸钠

D.4-丁基-1-(4-羟基苯基)-2-苯基-3,5-吡唑烷二酮

E.2-甲基-1-(4-氯苯甲酰基)-5-甲氧基-1H-吲哚-3-乙酸

23.下列哪种药物不具有水解性

A.布洛芬 B.贝诺酯 C.阿司匹林

D.对乙酰氨基酚 E.吲哚美辛

24.结构中含有1个手性碳原子的是哪一个

A.吡罗昔康 B.阿司匹林 C.舒林酸

D.萘普生 E.安乃近

25.布洛芬的化学结构为哪一个

■A. H3CO CH|3■■|■ COOH■|C. Cl|■H N E.■O═ONa|■| ■■|■═O |■■B. ■|O■ O|═OCH3 CH3 ■D. | |■■CH3H N■ ■O CH|3 COOH|H3C■Cl

26.下面哪个药物具有手性碳原子,临床上用S-(+)-异构体

A.安乃近 B.羟布宗 C.双氯芬酸钠

D.吡罗昔康 E.萘普生

27.为前体药物的是哪一个

A.别嘌醇 B.布洛芬 C.萘普生

D.萘丁美酮 E.阿司匹林

28.为1,2-苯并噻嗪类非甾体抗炎药的是哪一个

A.布洛芬 B.吡罗昔康 C.萘普生

D.吲哚美辛 E.贝诺酯

29.下列药物中哪个具有酸性,但化学结构中不含有羧基

A.吲哚美辛 B.双氯芬酸 C.布洛芬

D.吡罗昔康 E.阿司匹林

30.丙磺舒属于哪类药

A.平喘药 B.抗痛风药 C.解热镇痛药

D.镇痛药 E.抗高血压药

三、配伍选择题

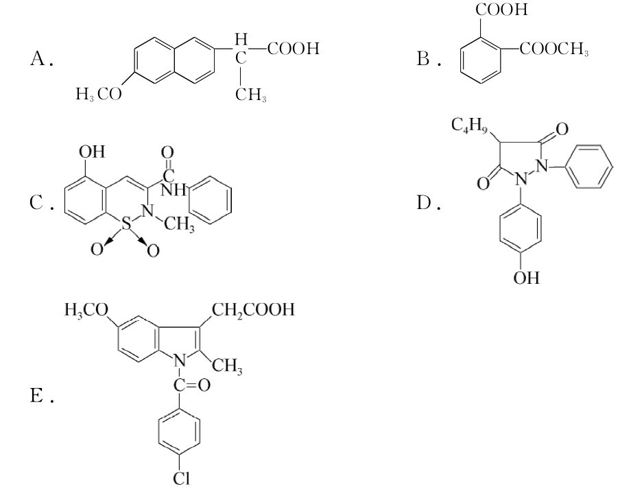
1~5题选项

A.2-(乙酰氧基)苯甲酸-4-(乙酰胺基)苯酯

B.(+)-α-甲基-6-甲氧基-萘乙酸

C.2-(4-异丁基苯基)-丙酸

D.N-(4-羟基苯基)-乙酰胺

E.2-[(2,6-二氯苯基)氨基]-1-苯乙酸钠

1.对乙酰氨基酚的化学名为

2.布洛芬的化学名为

3.贝诺酯的化学名为

4.双氯芬酸钠的化学名为

5.萘普生的化学名为

6~10题选项

A. | ■■■O■CH3|═OHO CH3■H N B. CH3|═O  O E.■O D. ■|O■■ ■═O |■H N■CH3  O H3C|■| ■|■CH3 HO O| ■■■COOH 3CH|C.

6.对乙酰氨基酚的化学结构为

7.贝诺酯的化学结构为

8.阿司匹林的化学结构为

9.安乃近的化学结构为

10.布洛芬的化学结构为

11~15题选项

A.属于选择性COX-2抑制剂 B.属于水杨酸类药物

C.属于芳基烷酸类药物 D.属于1,2-苯并噻嗪类药物

E.属于3,5-吡唑烷二酮类药物

11.赖氨酸阿司匹林

12.美洛昔康

13.双氯酚酸钠

14.塞利昔布

15.羟布宗

16~20题选项

■A. ■■■|—H■|H3CO C—COOH|CH3 B.■COOH|■COOCH— 3■|E. C. D.

16.属于3,5-吡唑烷二酮类

17.属于吲哚乙酸类

18.属于芳基烷酸类

19.属于1,2-苯并噻嗪类

20.属于水杨酸类

四、多项选择题

1.关于解热镇痛药,正确的是哪几项

A.水杨酸类药物的主要不良反应为胃肠道副反应

B.该类药物易产生耐药性及成瘾性

C.主要分为水杨酸类、酰苯胺类、吡唑酮类

D.作用机制主要是通过抑制花生四烯酸环氧化酶的作用

E.该类药物不仅对牙痛、头痛、神经痛等慢性钝痛有良好作用,对创伤性剧痛和内脏绞痛也有效

2.阿司匹林的性质与下列哪几项相符

A.在氢氧化钠或碳酸钠溶液中溶解,且同时分解

B.水溶液加热后与三氯化铁反应,显紫堇色

C.在干燥状态下稳定,遇湿可缓慢分解

D.作用机制为花生四烯酸环氧酶的不可逆抑制剂

E.本品为解热镇痛药,不具有抗炎作用

3.对水杨酸可进行哪些结构修饰

A.对羟基进行酯化 B.对羧基进行酯化 C.对羧基进行酰胺化

D.对羧基进行醚化 E.对羧基进行成盐反应

4.药典规定对阿司匹林在碳酸钠溶液中进行澄明度检查,其检测杂质是哪些

A.乙酰水杨酸苯酯 B.对氨基酚 C.水杨酸苯酯

D.水杨酸 E.醋酸苯酯

5.下列叙述与对乙酰氨基酚相符的是哪些

A.具有解热和镇痛作用 B.具有消炎作用

C.与阿司匹林生成的酯具有前药性质 D.遇三氯化铁试液显蓝紫色

E.为花生四烯酸环氧酶的不可逆抑制剂

6.可与三氯化铁试液作用生成有色配合物的药物有哪些

A.对乙酰氨基酚 B.萘普生 C.丙磺舒

D.布洛芬 E.水杨酸

7.属于水杨酸类的解热镇痛药为哪些

A.阿司匹林铝 B.二氟尼柳 C.甲芬那酸

D.乙氧苯酰胺 E.氟苯柳

8.具有酯键的药物有哪些

A.萘普生 B.对乙酰氨基酚 C.丙磺舒

D.阿司匹林 E.贝诺酯

9.下列哪些不是非甾体抗炎药

A.双氯芬酸钠 B.氟比洛芬 C.丙磺舒

D.别嘌醇 E.对乙酰氨基酚

10.下列化学结构类型哪些是非甾体抗炎药

A.1,2,4-苯并噻二嗪类 B.喹诺酮类 C.芳基烷酸类

D.3,5-吡唑烷二酮类 E.1,2-苯并噻嗪类

11.下列哪些药物是芳基烷酸类非甾体抗炎药

A.安乃近 B.布洛芬 C.芬布芬

D.酮洛芬 E.对乙酰氨基酚

12.下列含有羧基的解热镇痛及非甾体抗炎药有哪些

A.阿司匹林 B.布洛芬 C.对乙酰氨基酚

D.吲哚美辛 E.萘普生

13.属于前体药物的有哪些

A.安吡昔康 B.贝诺酯 C.舒林酸

D.双氯酚酸钠 E.吲哚美辛

14.具有手性碳原子的非甾体抗炎药有哪些

A.吲哚美辛 B.舒林酸 C.萘普生

D.布洛芬 E.氯胺酮

15.下列哪些为抗痛风药物

A.秋水仙碱 B.吲哚美辛 C.磺吡酮

D.巯嘌呤 E.别嘌醇

五、简答题

1.阿司匹林中可能含有哪些杂质?是如何引入的?用什么简单的化学方法可检测杂质的存在?

2.为什么测定阿司匹林熔点时,需将传温液预热至130℃后立即放入待测样品,迅速测定熔点?

3.阿司匹林为什么会变色?变色后能否服用?

4.简述水杨酸类解热镇痛药结构改造的过程。

5.用什么化学方法区别阿司匹林和对乙酰氨基酚(扑热息痛)?

6.用化学反应式表达对乙酰氨基酚的化学性质,并指出与哪些结构对应。