1.13 第十章 拟肾上腺素药和抗肾上腺素药

第十章 拟肾上腺素药和抗肾上腺素药

学习目标

1.描述肾上腺素、沙丁胺醇、麻黄碱等典型药物的化学结构、化学名和理化性质。

2.识别异丙肾上腺素、去甲肾上腺素、普萘洛尔等常用药物的化学结构和结构特点。

3.知道拟肾上腺素药的构效关系。

4.应用药物的理化性质,解决该药物的调配、制剂、分析、检测、储存、保管等问题。

学习内容

注:上述各类药物的学习内容包括此类药物的发展、分类、结构改造和构效关系及化学结构、结构特点、理化性质和临床应用等知识点。

目标检测

一、填空题

1.去甲肾上腺素为__________构型,具有__________旋性。它遇光和空气被__________ ,故应避光保存及避免与空气接触。

2.肾上腺素含有__________结构,弱氧化剂或空气中的氧气均能使其氧化变质,生成醌型化合物__________ ,呈红色,并可进一步聚合成棕色多聚物,故常在其制剂中加入__________防止氧化。

3.重酒石酸去甲肾上腺素可与__________反应生成酒石酸氢钾结晶性沉淀。

4.盐酸异丙肾上腺素遇__________试液显橙黄色,遇__________显血红色,遇__________显黄色,遇__________为无色。

5.沙丁胺醇又名__________,具有__________结构,其水溶液加三氯化铁试液显紫色。

6.麻黄碱的分子中有__________手性碳原子,具有__________光学异物构体。其中一对(1R,2S)和(1S,2R)为赤糖型,称为__________。另一对(1S,2S)和(1R,2R)为苏阿糖型,称为__________。

7.麻黄碱的β碳原子上的羟基易被__________ ,与碱性高锰酸钾或铁氰化钾反应时,生成__________与__________。前者可使红色石蕊试纸变蓝,后者具有苦杏仁的特殊气味。

8.盐酸多巴胺具有__________结构,在空气中易氧化变色。

9.拟肾上腺素药的基本结构是__________ ,具有β-苯乙胺骨架结构,苯环与侧链氨基之间隔__________碳原子时作用最强。

10.盐酸普萘洛尔的化学名为__________ ,药用品为__________。

二、单项选择题

1.肾上腺素的化学名为什么

A.(R)-4-[2-(异丙氨基)-1-羟基乙基]-1,2-苯二酚

B.(R)-4-(2-氨基-1-羟基乙基)-1,2苯二酚

C.4-[(2-异丙氨基-1-羟基)乙基]-1,2-苯二酚

D.(1R,2S)-2-甲氨基-苯丙烷

E.(R)-4-[2-(甲氨基)-1-羟基乙基]-1,2-苯二酚

2.配制盐酸肾上腺素注射液时通常控制其p H在4以下,主要是防止其发生什么反应

A.分解 B.消旋化 C.还原

D.聚合 E.水解

3.《中华人民共和国药典》中用紫外分光光度法检查肾上腺素中的杂质,是指什么

A.酮体 B.消旋肾上腺素 C.儿茶酚

D.肾上腺素红 E.右旋肾上腺素

4.肾上腺素与下列哪项叙述不符

A.具有旋光性 B.具酸碱两性 C.易氧化变质

D.易被消旋化使活性增加E.可与三氯化铁试液显色

5.以下拟肾上腺素药物中不含手性碳原子的是哪个

A.重酒石酸去甲肾上腺素 B.盐酸异丙肾上腺素

C.多巴胺 D.盐酸克仑特罗

E.沙丁胺醇

6.以下拟肾上腺素药物中,以其左旋体供药用的是什么

A.盐酸克仑特罗 B.盐酸异丙肾上腺素

C.盐酸甲氧明 D.盐酸氯丙那林

E.重酒石酸去甲肾上腺素

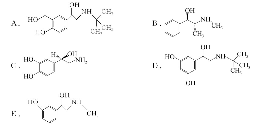
7.化学结构如下的药物,名称是什么

A.克仑特罗 B.氯丙那林 C.特布他林

D.沙丁胺醇 E.甲氧明

8.异丙肾上腺素易被氧化变色,化学结构中不稳定的部分为哪一个

A.儿茶酚胺结构 B.侧链上的氨基 C.烃氨基侧链

D.侧链上的羟基 E.苯乙胺结构

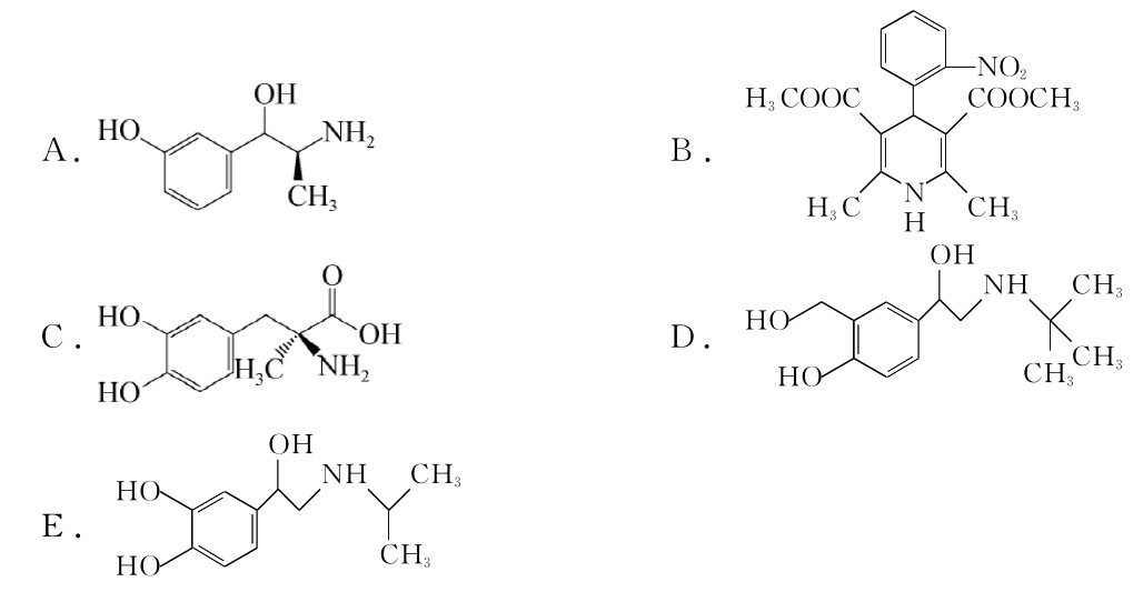
9.异丙肾上腺素的结构为哪一个

■N 2O—|■■H3COOC | COOCH3 A. B. ■ ■H3C C.D.HO N HCH3|OH NH CH3■|■3CHHO|■|■E.■OH NH CH3|HO HO|■3CH CH3|

10.又名喘息定的药物是哪个

A.多巴胺 B.肾上腺素

C.盐酸异丙肾上腺素 D.重酒石酸去甲肾上腺素

E.盐酸麻黄碱

11.下列何种酶不参与去甲肾上腺素体内代谢转化

A.单胺氧化酶 B.醛脱氢酶

C.醛还原酶 D.儿茶酚-O-甲基转移酶

E.谷胱甘肽-S-转移酶

12.下列何种药物可与10%氯化钾反应生成沉淀

A.盐酸麻黄碱 B.盐酸多巴胺 C.沙丁胺醇

D.盐酸异丙肾上腺素 E.重酒石酸去甲肾上腺素

13.具有如下结构的药物,名称是什么

|OH NH CH3 HO|■ |■■|CH3 HO3CH

A.去甲肾上腺素 B.多巴胺 C.麻黄碱

D.异丙肾上腺素 E.沙丁胺醇

14.下列何种药物可与碱性硫酸铜试液反应,生成物的二水合物溶于乙醚,呈紫红色A.去甲肾上腺素 B.多巴胺 C.沙丁胺醇

D.异丙肾上腺素 E.麻黄碱

15.下列何种药物通常不易被氧化

A.去甲肾上腺素 B.多巴胺 C.沙丁胺醇

D.异丙肾上腺素 E.麻黄碱

16.关于拟肾上腺素药构效关系,错误的是哪一项

A.酚羟基的存在作用减弱

B.有1个苯环和氨基侧链的基本结构

C.氨基侧链上α-碳引入甲基时中枢兴奋作用增强

D.酚羟基的存在作用时间缩短

E.氨基上的取代基增大时α受体效应减弱β受体效应增强

17.拟肾上腺素药的基本结构中苯环与氨基相隔的碳原子数为多少

A.1 B.2 C.3

D.4 E.5

18.麻黄碱有4个光学异构体,其中活性最强的是哪一个

A.(1R,2S)-(±) B.(1S,2R)-(+) C.(1R,2R)-(+)

D.(1S,2S)-(+) E.(1R,2S)-(-)

19.与氢氧化钠及高锰酸钾试液共热可生成苯甲醛特殊气味的药物是哪一个

A.盐酸麻黄碱 B.盐酸异丙肾上腺素

C.多巴胺 D.肾上腺素

E.重酒石酸去甲肾上腺素

20.下列何种药物的甲醇溶液与二硫化碳作用生成荒酸衍生物

A.去甲肾上腺素 B.多巴胺 C.沙丁胺醇

D.异丙肾上腺素 E.麻黄碱

三、配伍选择题

1~5题选项

A.4-[(2-异丙胺基-1-羟基)乙基]-1,2-苯二酚盐酸盐

B.(1R,2S)-2-甲氨基-苯丙烷-1-醇盐酸盐

C.1-异丙胺基-3-(1-萘氧基)-2-丙醇盐酸盐

D.(R)-4-[2-(甲氨基)-1-羟基乙基]-l,2-苯二酚

E.2-[(2,6-二氯苯基)亚氨基]咪唑烷盐酸盐

1.盐酸麻黄碱的化学名为

2.盐酸普萘洛尔的化学名为

3.盐酸异丙肾上腺素的化学名为

4.盐酸可乐定的化学名为

5.肾上腺素的化学名为

6~10题选项

|OH NH CH3 A. HO HO|■ |■■|CH3  B. CH3 C. D. HO |E. ■OH NH■| CH3■

6.伪麻黄碱的结构为

7.特布他林的结构为

8.间羟胺的结构为

9.去甲肾上腺素的结构为

10.沙丁胺醇的结构为

11~15题选项

A.能与10%氯化钾反应生成结晶性沉淀

B.能与磷钨酸试液发生反应生成有色沉淀

C.能与三氯化铁试液反应呈墨绿色;滴加1%氨溶液即转呈紫红色

D.与二硫化碳反应后的产物再遇Cu2+可生成黄色的荒酸衍生物

E.能发生维他立反应

11.重酒石酸去甲肾上腺素

12.阿托品

13.沙丁胺醇

14.盐酸异丙肾上腺素

15.盐酸麻黄碱

四、多项选择题

1.以下哪些与异丙肾上腺素相符

A.为α受体激动剂,有较强血管收缩作用,用于抗休克

B.为β受体激动剂,作为支气管扩张剂,用于呼吸道疾患

C.具儿茶酚胺结构,易被氧化,制备注射剂应加抗氧剂

D.含有异丙氨基和邻苯二酚结构

E.结构中含有1个手性碳原子,左旋体作用强于右旋体

2.属于苯乙胺类的拟肾上腺素药物有哪些

A.重酒石酸去甲肾上腺素 B.盐酸麻黄碱

C.肾上腺素 D.盐酸异丙肾上腺素

E.甲氧明

3.配制盐酸肾上腺素注射液时为防止其被氧化和消旋化,应采取的措施有哪些

A.充惰性气体 B.加抗氧剂

C.加金属络合物 D.控制p H在2.5~5.0

E.流通蒸汽灭菌15min

4.结构中含有酚羟基可与三氯化铁试液作用显色的药物有哪些

A.重酒石酸去甲肾上腺素 B.盐酸异丙肾上腺素

C.肾上腺素 D.盐酸麻黄碱

E.甲氧明

5.下列哪些药物具有儿茶酚结构

A.多巴胺 B.异丙肾上腺素 C.特布他林

D.肾上腺素 E.去甲肾上腺素

6.与肾上腺素相符的理化性质有哪些

A.左旋性 B.酸碱两性 C.易被氧化

D.可被消旋化 E.易被水解失效

7.关于盐酸麻黄碱,正确的是哪些

A.具有右旋性

B.具有氨基醇官能团药物的鉴别反应

C.与碱性高锰酸钾或铁氰化钾反应,生成苯甲醛和甲胺

D.分子中含有1个手性碳原子

E.分子中含有酚羟基遇光易变质

8.下列药物结构中含手性碳原子而具有光学活性的是哪几个

A.去甲肾上腺素 B.多巴胺 C.麻黄碱

D.左旋咪唑 E.肾上腺素

9.下列药物中易发生自动氧化而使药物变质的有哪几个

A.肾上腺素 B.去甲肾上腺素 C.异丙肾上腺素

D.多巴胺 E.去氧肾上腺素

10.以下哪些与盐酸多巴胺相符

A.受热易发生消旋化反应,效价降低

B.为α及β受体激动剂,还激动多巴胺受体

C.分子结构中含有1个手性碳原子,以其R构型供药用

D.具有儿茶酚胺结构,在空气中易被氧化变色

E.临床用于各种类型休克

11.对拟肾上腺素药一般构效关系的叙述正确的有哪些

A.苯环与侧链胺基相隔2个碳原子时作用较强

B.苯环上引入羟基作用强度增加

C.α碳原子上引入甲基毒性降低

D.通常左旋体的活性强于右旋体

E.侧链胺基上随着烃基的增大而β受体效应逐渐增强

12.以下哪些与盐酸普萘洛尔相符

A.分子结构中含萘氧基、异丙氨基,又名心得安

B.含有1个手性碳原子,药用为外消旋体

C.含有2个手性碳原子,药用为外消旋体

D.非选择性β受体阻滞剂,用于心绞痛

E.含有儿茶酚胺结构,易被氧化变色

五、简答题

1.配制盐酸肾上腺素注射液时需采取哪些措施?为什么?

2.为什么麻黄碱的药效维持时间较长,可以口服?

3.盐酸多巴胺为何要避光、密闭保存?

4.简述具有侧链氨基醇结构的药物的特征反应。

5.用反应式表达有关氨荒酸衍生物的反应?

6.简述拟肾上腺素药的构效关系。