1.8 第五章 麻醉药

第五章 麻醉药

学习目标

1.描述氟烷、盐酸氯胺酮、盐酸普鲁卡因、盐酸利多卡因等典型药物的化学结构、化学名和化学性质。

2.识别麻醉乙醚、恩氟烷、依托咪酯、丁哌卡因(布比卡因)等常用药物的化学结构和结构特点。

3.阐述局部麻醉药的结构改造的过程和构效关系。

4.应用药物的理化性质,解决该类药物的调配、制剂、分析检测、储存保管等问题。

5.知道国家对麻醉药物在使用方面的管理办法。

学习内容

注:上述各类药物的学习内容包括此类药物的发展、分类、结构改造和构效关系及化学结构、结构特点、理化性质和临床应用等知识点。

目标检测

一、填空题

1.麻醉药可分为__________和__________两类。

2.根据作用部位和给药方式的不同,将全身麻醉药分为__________和__________。

3.麻醉乙醚在光照和空气中可发生自动氧化,生成__________等杂质,可用__________试剂检查这些杂质是否存在。

4.氟烷性质稳定,__________易燃,但遇光、热和湿空气能缓缓分解,因此常加入__________作稳定剂。

5.盐酸氯胺酮分子中有__________个手性碳原子,因此具有__________个光学异构体。其右旋体的止痛和安眠作用强于左旋体,副作用也比左旋体少,但药用品为__________。

6.盐酸普鲁卡因水溶液加氢氧化钠溶液则析出__________白色沉淀。加热,__________水解,产生__________和__________。

7.普鲁卡因不稳定是由于结构中含有__________和__________ ,具有__________性和__________性。

8.普鲁卡因属于__________类局麻药,利多卡因属于__________类局麻药,达克罗宁属于__________类局麻药。

9.局部麻醉药的结构分为__________、__________和__________ 3部分。

10.利多卡因比普鲁卡因稳定,不易水解,是由于__________和 。

二、单项选择题

1.化学结构为的药物是哪个

A.氟烷 B.氯氟烷 C.甲氧氟烷

D.恩氟烷 E.乙醚

2.无色、易流动、重质液体的麻醉药是哪个

A.丙泊酚 B.盐酸氯胺酮 C.盐酸普鲁卡因

D.盐酸利多卡因 E.氟烷

3.经氧瓶燃烧法进行有机破坏,用氢氧化钠溶液吸收,吸收液加茜素蓝试液、醋酸-醋酸钠缓冲液,再加硝酸亚铈试液即显蓝紫色的药物是哪个

A.盐酸丁卡因 B.恩氟烷 C.麻醉乙醚

D.盐酸普鲁卡因 E.盐酸利多卡因

4.检查麻醉乙醚中杂质过氧化物所用的试剂为哪个

A.氯化钡试液 B.碘化钾-淀粉试液 C.草酸铵

D.硝酸和硝酸银试液 E.硫酸铜试液

5.硫喷妥钠严禁与某些药物配伍使用,该药物是哪一类

A.酸性药物 B.碱性药物 C.盐类药物

D.脂溶性药物 E.以上都错

6.以下为静脉麻醉药的是哪一个

A.盐酸普鲁卡因 B.盐酸布比卡因 C.恩氟烷

D.硫喷妥钠 E.麻醉乙醚

7.盐酸氯胺酮与下列哪项叙述不符

A.分子中含有硫原子

B.在水中易溶

C.右旋体的止痛和催眠作用比左旋体强

D.麻醉作用迅速,并具有镇痛作用

E.分子中含有邻氯苯基

8.盐酸氯胺酮的化学名为什么

A.6-(2-氯苯基)-2-(甲氨基)-环己酮盐酸盐

B.3-(2-氯苯基)-2-(甲氨基)-环己酮盐酸盐

C.4-(2-氯苯基)-2-(甲氨基)-环己酮盐酸盐

D.5-(2-氯苯基)-2-(甲氨基)-环己酮盐酸盐

E.2-(2-氯苯基)-2-(甲氨基)-环己酮盐酸盐

9.依托咪酯结构中有什么环

A.哌啶环 B.喹啉环 C.噻唑环

D.吡啶环 E.咪唑环

10.盐酸普鲁卡因是通过对下面哪个天然药物的结构进行简化而得到的

A.可卡因 B.阿托品 C.青蒿素

D.吗啡 E.水杨酸

11.水溶液不稳定,易被水解或氧化的是什么药

A.盐酸布比卡因 B.盐酸氯胺酮 C.丙泊酚

D.恩氟烷 E.盐酸普鲁卡因

12.化学名为N-(2,6-二甲苯基)-2-二乙氨基乙酰胺的是哪一个

A.氟烷 B.利多卡因 C.依托咪酯

D.氯胺酮 E.丁卡因

13.与盐酸普鲁卡因不符的叙述是哪一条

A.可用于全身麻醉

B.易被水解生成对氨基苯甲酸和二乙氨基乙醇

C.p H 3~3.5时本品水溶液最稳定

D.对可卡因的结构进行改造而得到的

E.对光敏感,需避光保存

14.化学结构为的药物是哪个

A.盐酸氯普鲁卡因 B.盐酸布比卡因 C.盐酸丁卡因

D.盐酸普鲁卡因 E.盐酸利多卡因

15.盐酸普鲁卡因最易溶于哪种试剂

A.丙酮 B.甲醚 C.氯仿

D.乙醇(酒精) E.水

16.盐酸普鲁卡因具有哪个结构,重氮化后与碱性β-萘酚偶合后生成猩红色偶氮染料

A.苯环 B.伯氨基 C.芳伯氨基 D.酯基 E.叔氨基

17.盐酸普鲁卡因注射液加热变黄的主要原因是什么

A.酯键水解 B.芳伯氨基被氧化 C.形成聚合物

D.盐水解 E.发生重氮化偶合反应

18.配制盐酸普鲁卡因注射液时一般需调节酸碱性,p H须调到多少

A.3.0~3.5 B.8 C.9 D.10 E.11

19.盐酸利多卡因的乙醇溶液加氯化钴试液显绿色,放置后生成什么沉淀

A.黑色沉淀 B.黄色沉淀 C.蓝绿色沉淀

D.白色沉淀 E.结晶性沉淀

20.下列哪项叙述与利多卡因不符

A.还可抗心律失常 B.对酸或碱较稳定,不易被水解

C.为白色结晶性粉末 D.作用时间比普鲁卡因延长1倍

E.局麻作用是普鲁卡因的1/2

21.利多卡因又名什么

A.可卡因 B.布比卡因 C.普鲁卡因

D.布比卡因 E.赛洛卡因

22.具有抗心律失常作用的是什么药物

A.氟烷 B.盐酸普鲁卡因 C.盐酸丁卡因

D.盐酸利多卡因 E.盐酸氯胺酮

23.下列哪个为长效的局部麻醉药

A.盐酸利多卡因 B.依托咪酯 C.盐酸普鲁卡因

D.盐酸丁卡因 E.盐酸布比卡因

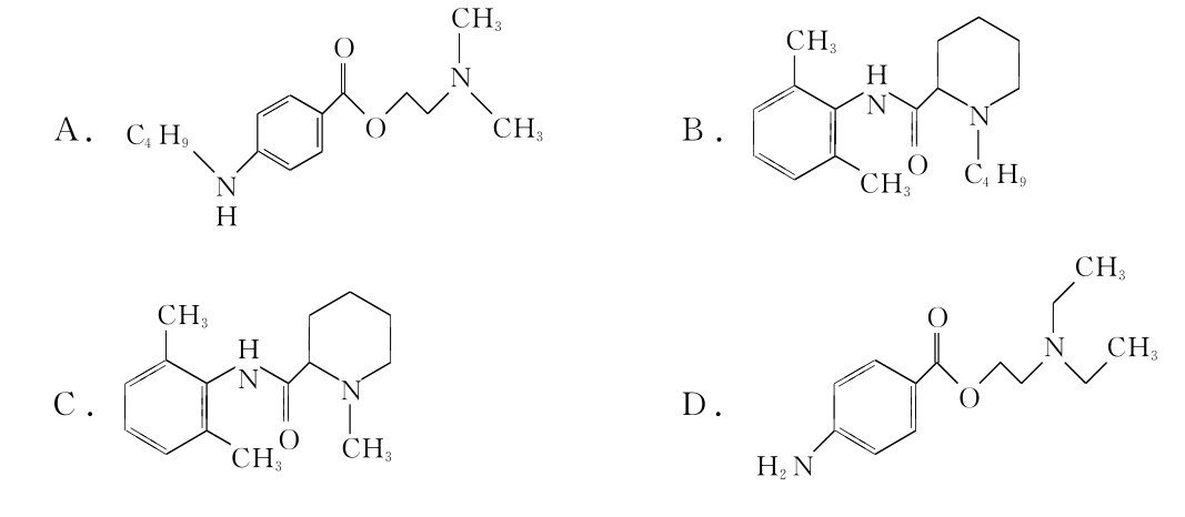
24.下列哪个为布比卡因的结构式

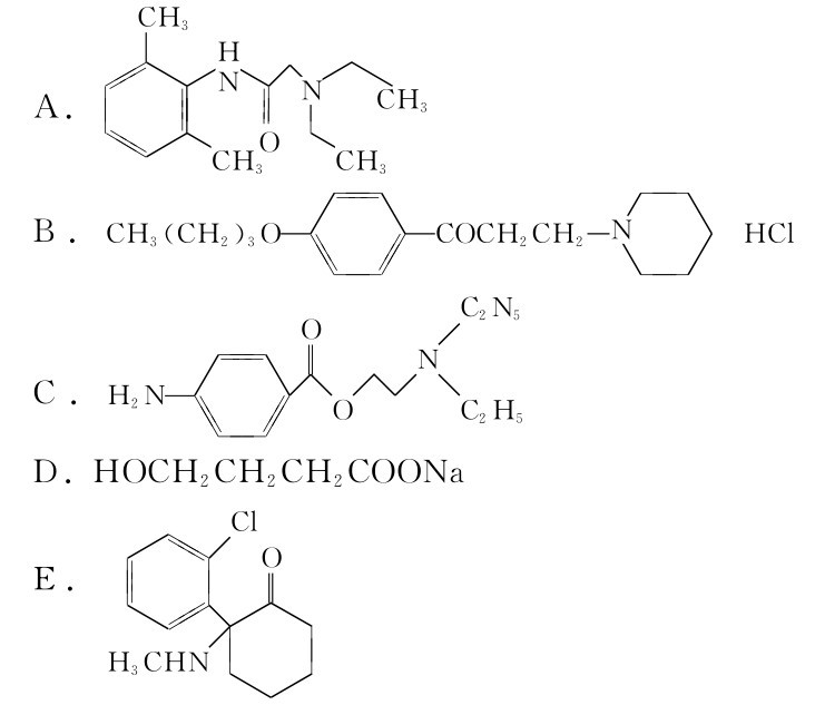
3CH CH3 O|N■■■|||■■■■■■|||C.||||||H N■■■3CH|N H O■|■C4H9A.■═O CH3 N 3CH|H2N■■■■O■■|||D.■■■═O 9C4H CH3 O|N■■■|||■■■■■■|||B.||||||H N■■■3CH|CH3|N CH3
|||■■■■■■|||E.■■■3CH| CH3 O■■■H N|||N CH3  CH3

25.酯类局部麻醉药,如盐酸普鲁卡因,中间连接链中n的合适数字为哪项

A.1 B.2~3 C.4~6

D.7~9 E.10以上

三、配伍选择题

1~5题选项

A.盐酸氯胺酮 B.盐酸布比卡因 C.氟烷

D.依托咪酯 E.盐酸普鲁卡因

1.长效的局麻药

2.易流动的重质液体

3.结构中含咪唑环的静脉麻醉药

4.制造“K粉”的原料

5.又名奴佛卡因的药物

6~10题选项

CH|3■■■A.|||■■■■■■|||H N■■■O  CH3 B.CH3(CH2)3■■■ CH3|||N CH3———O — COCH2CH N═O■■■——■■■———2 N HCl C2N5■■■C.H2—N■■■——■■■OC2H5 D.HOCH2CH2CH2COONa E.|||H3CHN═|■■■||■■■■■■O Cl|||

6.盐酸氯胺酮的化学结构为

7.羟丁酸钠的化学结构为

8.盐酸普鲁卡因的化学结构为

9.盐酸利多卡因的化学结构为

10.盐酸达克罗宁的化学结构为

四、多项选择题

1.下列药物中哪些是静脉麻醉药

A.依托咪酯 B.丙泊酚 C.盐酸利多卡因

D.盐酸氯胺酮 E.恩氟烷

2.下列药物属于全身麻醉药中的吸入麻醉药的有哪些

A.盐酸普鲁卡因 B.羟丁酸钠 C.麻醉乙醚

D.盐酸丁卡因 E.氟烷

3.常温、常压下为液体的麻醉药有哪些

A.氟烷 B.盐酸利多卡因 C.盐酸丁卡因

D.恩氟烷 E.盐酸氯胺酮

4.以下叙述中哪些与依托咪酯相符

A.临床用其左旋体 B.结构中有酯键

C.为静脉麻醉药 D.含有2个手性碳原子

E.分子中含有咪唑基

5.关于对氨基苯甲酸酯类局麻药的叙述,以下哪些是正确的

A.苯甲酸酯苯环邻位上增加取代基,因空间位阻作用,使酯水解速率减慢

B.苯环氨基上的氢以烃基取代,局麻作用增强,毒性也增大

C.侧链上胺基大部分药物为仲胺

D.侧链上胺基大部分药物为叔胺

E.酯键中的氧原子以硫原子取代,局麻作用增强,毒性也增大

6.以下哪些性质与盐酸普鲁卡因相符

A.本品显芳伯氨基的特征反应 B.本品水溶液不易被氧化变

C.体内迅速被酯酶水解而失活色 D.本品对酸碱较稳定

E.对光敏感,宜避光保存

7.关于化学结构为·HCl的药物的描述,正确的有哪些

A.对酸或碱不稳定,酰胺键易被水解 B.属于酯类局麻

C.盐酸布比卡因 D.药盐酸利多卡因

E.局麻作用强于盐酸普鲁卡因

8.盐酸利多卡因对酸、碱均较稳定而不易水解的原因有哪些

A.含有盐酸分子 B.N上有2个乙基

C.有叔胺结构 D.分子中酰氨基的邻位上有2个甲基

E.含有酰胺基

9.下列哪些是普鲁卡因的水解产物

A.二乙氨基丙醇 B.对丁氨基苯甲酸 C.二甲氨基乙醇

D.二乙氨基乙醇 E.对氨基苯甲酸

10.局麻药的基本骨架包括以下哪些部分

A.亲水部分 B.芳环部分 C.中间连接部分

D.亲脂部分 E.氨基部分

11.关于局部麻醉药的构效关系,正确的有哪些

A.苯环的对位有供电子基团取代时,可增强局麻作用

B.麻醉作用与药物的脂溶性关系不大

C.苯环可被其他杂环取代,但作用强度降低

D.局麻作用越强,越容易引起惊厥

E.当碳链上有支链时,立体位阻增加,作用时间延长,局麻作用也增强

12.能区别盐酸普鲁卡因和盐酸利多卡因的试液有哪些

A.硫酸铜及碳酸钠试液 B.硝酸银试液 C.酚酞

D.三硝基苯酚 E.亚硝酸钠、盐酸、碱性β-萘酚

五、简答题

1.局部麻醉药普鲁卡因是怎样被发现的?它给我们什么启示?

2.局部麻醉药的构效关系是怎样的?

3.从普鲁卡因的结构分析其化学稳定性,说明配制注射液时注意事项及《中华人民共和国药典》规定检查对氨基苯甲酸的原因。

4.为什么利多卡因的稳定性强于普鲁卡因?

5.用反应式表示避光密闭保存普鲁卡因的原因。

6.用化学方法鉴别下列各组药物:

(1)普鲁卡因和布比卡因;

(2)普鲁卡因和利多卡因。