课程章节
1
物理化学
友情提示:同学您好,此页面仅供预览,在此页面学习不会被统计哦! 请进入学习空间后选择课程学习。
1.14.3.2 二、接触角与Young方程式(Contact Angle and Young Equation)
二、接触角与Young方程式(Contact Angle and Young Equation)

在一个水平放置的光滑固体表面上(例如平板玻璃表面)滴上一滴液体,实验发现,不同液体物质在固体表面上往往会形成如图10—10所示的两种常见形状的液滴剖面。其中(a)为润湿情况,而(b)为不润湿情况。

图10—10 接触与各界面张力的关系

图中,当气—液—固三相接触达平衡时,从三相接触点O沿液—气界面作切线与固—液界面间的夹角(含有液体),称为接触角(Contact angle),用符号θ表示。接触角的大小,与所接触各相的界面张力有关。

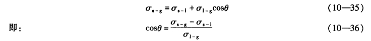
根据界面张力的概念,当气—液—固三相接触达平衡时,三个界面张力在三相交界点O上,力的矢量之和为零。于是,接触角θ与三个界面张力有如下关系:

上式称为Young接触角方程,又称为润湿方程式。它是1805年由Thomas Young首先提出的,由此,我们可以很直观地利用接触角θ来度量润湿的性质,即:

(i)当θ<90°, cosθ>0, ΔG<0,称为润湿,例如水可以润湿玻璃。

(ii)当θ>90°, cosθ<0, ΔG>0,称为不润湿,例如水银不润湿玻璃。

作为两种极端情况:当θ=0°时,cosθ=1,称为完全润湿;

而当θ=180°时,cosθ=-1,称为完全不润湿。

将Young方程式(10—35)代入式(10—33a), (10—33b)和(10—33c)三个式子中,可以得到判断三种不同程度润湿情况的相应的热力学判据条件如下:

测定接触角θ的实验方法很多,通常分为三大类: (1)角度测量法; (2)长度测量法; (3)重量测量法。

解:根据题意,水—乙醚—汞三相接触点O之合力为零,如图10—11所示,于是:

图10—11 水对汞的润湿