课程章节
1
物理化学
友情提示:同学您好,此页面仅供预览,在此页面学习不会被统计哦! 请进入学习空间后选择课程学习。
1.13.2.2 二、克劳修斯—克拉佩龙方程式(Clausius-Clapeyron Equation)
二、克劳修斯—克拉佩龙方程式(Clausius-Clapeyron Equation)

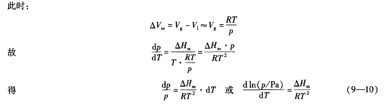
当纯物质处于两相平衡时,如果其中一相为气体,例如蒸发或升华,气体服从理想气体规律,而且液体或固体的摩尔体积和气体的摩尔体积比较可以忽略,则式(9—9)可进一步简化,

式(9—10)称为克劳修斯—克拉佩龙方程式,简称克—克方程,适用于纯物质的气—固或气—液两相平衡。

式(9—11)中A、 B可由实验求得,在有关手册中也可查得到。表9—1是一些物质的A、B值。

表9—1

当温度变化范围较大,需要精确的蒸气压与温度的关系时,应用ΔH=a+bT代入式(9—10)积分得到:

式中a、 b、c要通过实验确定。

解: (1)沸点是蒸气压等于外压的温度,查表9—1得液体锌的蒸气压与温度的关系式为:

(2)由式(9—11)得: