课程章节
1
物理化学
友情提示:同学您好,此页面仅供预览,在此页面学习不会被统计哦! 请进入学习空间后选择课程学习。
1.13.1.2 二、相律(Phase Rule)
二、相律(Phase Rule)

对于多相平衡系统,描述各相状态的独立变量应等于其变量总数减去限制条件数(即变量间的关系式数):自由度数=总变量数-变量间的关系式数。

设达平衡的多相系统(heterogeneous system)有S个物种,Φ个相,且S个物种分布在每一个相中,这样每一相中就有S个浓度变量,若采用摩尔分数表示浓度则有:

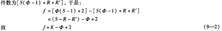
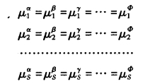
因此每一个相中有(S-1)个浓度变量,系统共有Φ个相,故系统的浓度变量数为Φ(S-1),再加上温度和压力两个变量,描述系统状态的总变量数为:Φ(S-1) +2。但是,这些变量并非都是独立的,因为在多相平衡时,每种物质在各相中的化学势必须相等,即:

可见,对于每一个物种都有(Φ-1)个关系式,S个物种共有S( Φ-1)个关系式,也就是说,有S( Φ-1)个限制条件。如果系统有化学反应,则每一个独立化学反应有一个平衡常数,浓度间有一个关系。设系统有R个独立化学反应,另外还有R′个浓度限制条件,则总的限制条

式(9—2)称为相律,也称吉布斯(Gibbs)相律。上式在推导过程中,曾假定每一个相内都含有S个物种,若在某一相中少某一个物种,则总变量数和限制条件数也都各少一个,所以f不变,式(9—2)仍然正确。

前面提及,对于凝聚系统压力的影响甚小,可以忽略不计,故对凝聚系统相律可写成:

有些平衡系统除温度和压力外,还可能考虑其他影响因素,如电场、磁场、重力场等共n个因素,此时相律可写成

相律是关于相平衡的规律,只适用于平衡系统。

此题与上题不同,独立变量数只有一个。

根据化学平衡中独立反应数的计算方法,则R=S-m=4-2=2