课程章节
1
物理化学
友情提示:同学您好,此页面仅供预览,在此页面学习不会被统计哦! 请进入学习空间后选择课程学习。
1.11.12.3 三、熔盐电池的应用(Application of E.M.F of Molten Salt Cell...
三、熔盐电池的应用(Application of E.M.F of Molten Salt Cell)

测定熔盐电池的电动势是研究熔盐性质的主要方法之一。与水溶液中相似,熔盐电池的电动势也等于两个半电池的电极电势的差值。现举例说明如下:

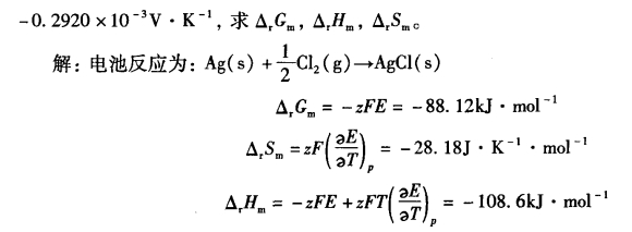
1.测量成盐型电池的电动势及其温度系数,计算有关的热力学函数

2.测定熔盐、合金及熔渣中某组元的活度

解:电极反应