课程章节
1
物理化学
友情提示:同学您好,此页面仅供预览,在此页面学习不会被统计哦! 请进入学习空间后选择课程学习。
1.11.12.1 一、熔盐原电池(Molten Salt Cell)
一、熔盐原电池(Molten Salt Cell)

从热力学的观点来看,熔盐电池可分为化学电池和浓差电池两大类:

1.化学电池

这类电池又可分为以下两种:

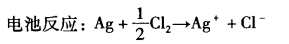
(1)成盐型化学电池。它是单液电池,如在一个装有熔融AgCl的坩埚或玻璃管内,插入一根银丝和一根被氯饱和了的石墨棒,即构成这类电池:

其电池图式如图7—27所示。电极反应为:

因为总反应是由金属与非金属作用生成盐,故叫做成盐型电池。

2.浓差电池

熔盐浓差电池又可分为电极浓差电池和电解质浓差电池,例如:

该值与实验值相差不大。

由上述讨论可看到,在这个浓差电池中溶剂KCl不参加反应,理论和实验都证明,当溶剂的含量很大时,液体接界电势可以忽略不计。