课程章节
1
物理化学
友情提示:同学您好,此页面仅供预览,在此页面学习不会被统计哦! 请进入学习空间后选择课程学习。
1.10.10.2 二、气体热容的计算(Calculation of Heat Capacity of Gas )
二、气体热容的计算(Calculation of Heat Capacity of Gas )

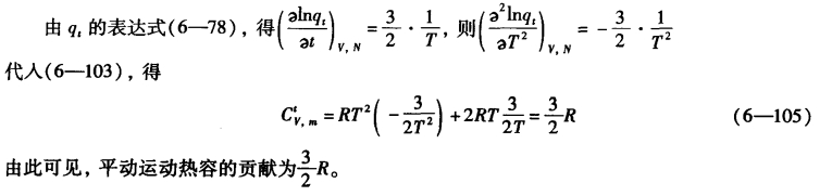
对于1 mol气体物质,恒容热容为

在一般温度条件下,分子的电子和核运动处于基态,若选定基态能量为零,则可得到

所以式(6—103)又可以写成

上式表明,物质的热容是平动、转动和振动这三种独立运动形式对热容的贡献之和。

1.平动热容

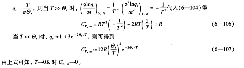
2.转动热容

(1)线型分子

(2)非线型多原子分子

在经典场合下,由式(6—86)可得到

3.振动热容

(1)双原子分子

(2)多原子分子

4.气体热容的计算实例

双原子分子除了有平动运动对热容作出贡献,转动和振动运动对热容也作出贡献,所以双原子分子理想气体的热容为