课程章节
1
物理化学
友情提示:同学您好,此页面仅供预览,在此页面学习不会被统计哦! 请进入学习空间后选择课程学习。
1.10.9.1 一、平动熵(Translational Entropy)
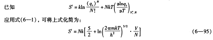
一、平动熵(Translational Entropy)

上式称为Sackur-Tetrode方程,表示平动运动对熵的贡献。