课程章节
1
物理化学
友情提示:同学您好,此页面仅供预览,在此页面学习不会被统计哦! 请进入学习空间后选择课程学习。
1.10.8.2 二、转动配分函数(Rotational Partition Function)
二、转动配分函数(Rotational Partition Function)

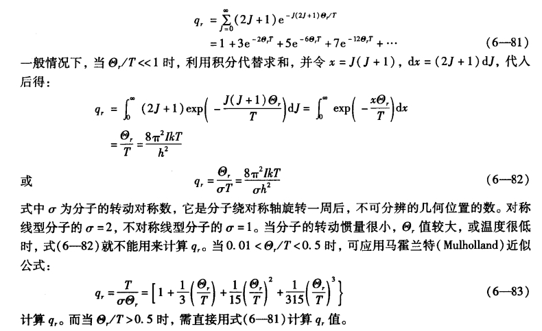
1.线型分子的转动配分函数

表6—2 一些线型双原子分子的转动特征温度

双原子分子和线型多原子分子有两个转动自由度,可将其视为线型刚性转子。将式(6—6)代入转动配分函数的表示式,得

2.非线型多原子分子的转动配分函数

对于非线型多原子,它有3个转动自由度,即分子绕x,y,z三个坐标轴的旋转。在计算非线型分子的转动配分函数时,可将分子看作是三维刚性转子,又多原子分子的体积较大,转动能级一般都很密集,所以可用经典统计力学方法进行处理,其结果为