课程章节
1
物理化学
友情提示:同学您好,此页面仅供预览,在此页面学习不会被统计哦! 请进入学习空间后选择课程学习。
1.8.6.2 二、理想溶液的通性(Mixing Property of Ideal Solution)
二、理想溶液的通性(Mixing Property of Ideal Solution)

1.无体积效应

由式(4—47)得

等温等压由纯组分混合形成理想溶液,总焓值不变,此谓无热效应。混合焓为零,即

3.混合吉布斯自由能:

由式(4—47),理想溶液总的吉布斯自由能:

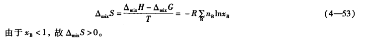
4.混合熵

从式(4—51)和式(4—52)得混合熵

5.对理想溶液,亨利定律与拉乌尔定律没有区别