课程章节
1
物理化学
友情提示:同学您好,此页面仅供预览,在此页面学习不会被统计哦! 请进入学习空间后选择课程学习。
1.8.2.3 三、偏摩尔量的测定(Determination of Partial Molar Quantity)
三、偏摩尔量的测定(Determination of Partial Molar Quantity)

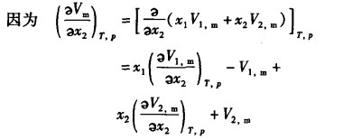
以二组分系统的偏摩尔体积为例,说明测定偏摩尔量的方法原理。

图4—1 偏摩尔体积的测定

式(4—10)表示的吉布斯—杜亥姆公式对偏摩尔体积可写成